ORIGINAL RESEARCH article
Front. Vet. Sci.
Sec. Animal Behavior and Welfare
This article is part of the Research TopicTransforming Veterinary Medicine: Digital Tools and AI as Path to Sustainable Animal CareView all 5 articles
Integrating Multi-Modal Data Fusion Approaches for Analysis of Dairy Cattle Vocalizations
Provisionally accepted- 1Faculty of Computer Science, 6050 University Avenue, Dalhousie University, Halifax, Canada
- 2Cattle Production Systems Laboratory, Research and Development Institute for Bovine, Balotesti, Romania
- 3Faculty of Agriculture, Agricultural Campus, PO Box 550, Dalhousie University, Truro, Canada
Select one of your emails
You have multiple emails registered with Frontiers:
Notify me on publication
Please enter your email address:
If you already have an account, please login
You don't have a Frontiers account ? You can register here
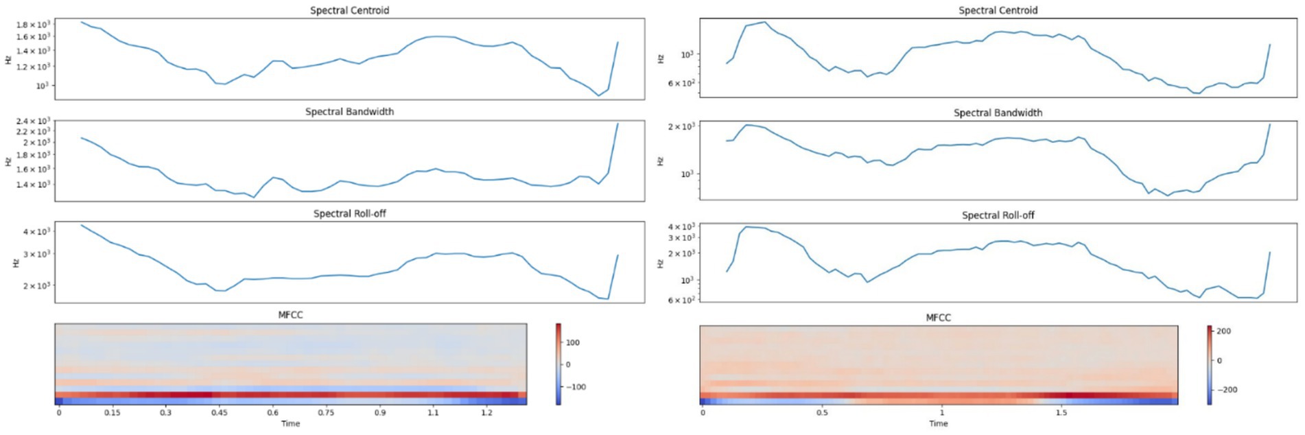
Non‑invasive analysis of dairy cattle vocalizations offers a practical route to continuous assessment of stress and timely health interventions in precision livestock systems. We present a multi-modal AI framework that fuses standard acoustic features (e.g., frequency, duration, amplitude) with non-linguistic, transformer-based representations of call structure for behavior classification. The classification analysis represents the core contribution of this work, while the integration of the Whisper model serves as a complementary exploratory tool, highlighting its potential for future motif-based behavioral studies. Using contact calls recorded from a cohort of lactating Romanian Holsteins during a standardized, brief social‑isolation paradigm, we developed an ontology distinguishing high‑frequency calls (HFCs) associated with arousal from low‑frequency calls (LFCs) associated with calmer states. Across cross‑validated models, support vector machine and random‑forest classifiers reliably separated call types, and fused acoustic + symbolic features consistently outperformed single‑modality inputs. Feature‑importance analyses highlighted frequency, loudness, and duration as dominant, interpretable predictors, aligning vocal patterns with established markers of arousal. From a clinical perspective, the system is designed to operate passively on barn audio to flag rising stress signatures in real time, enabling targeted checks, husbandry adjustments, and prioritization for veterinary examination. Integrated with existing sensor networks (e.g., milking robots, environmental monitors), these alerts can function as an early‑warning layer that complements conventional surveillance for conditions where vocal changes may accompany pain, respiratory compromise, or maladaptive stress. While the present work validates behaviorally anchored discrimination, ongoing efforts will pair vocal alerts with physiological measures (e.g., cortisol, infrared thermography) and multi‑site datasets to strengthen disease‑specific inference and generalizability. This framework supports scalable, on‑farm welfare surveillance and earlier intervention in emerging health and stress events.
Keywords: acoustic pattern analysis, Bioacoustics monitoring, cattle vocalizations, multi-modaldata fusion, precision livestock farming
Received: 12 Sep 2025; Accepted: 28 Oct 2025.
Copyright: © 2025 Jobarteh, MINCU-IORGA, Gavojdian and Neethirajan. This is an open-access article distributed under the terms of the Creative Commons Attribution License (CC BY). The use, distribution or reproduction in other forums is permitted, provided the original author(s) or licensor are credited and that the original publication in this journal is cited, in accordance with accepted academic practice. No use, distribution or reproduction is permitted which does not comply with these terms.
* Correspondence:
Madalina MINCU-IORGA, madalinamincu8@gmail.com
Suresh Neethirajan, sneethir@gmail.com
Disclaimer: All claims expressed in this article are solely those of the authors and do not necessarily represent those of their affiliated organizations, or those of the publisher, the editors and the reviewers. Any product that may be evaluated in this article or claim that may be made by its manufacturer is not guaranteed or endorsed by the publisher.
