ORIGINAL RESEARCH article
Front. Vet. Sci.
Sec. Animal Reproduction - Theriogenology
This article is part of the Research TopicThe Water Buffalo: Advances in genetics, nutrition, and reproductive biotechnology for sustainable agricultural developmentView all 4 articles
Nanozyme conjugated chitosan nanoparticles improve Buffalo Bull Sperm Cryopreservation by Enhancing Antioxidant Defense and Mitochondrial Function
Provisionally accepted- 1Umm Al-Qura University College of Applied Medical Sciences, Makkah, Saudi Arabia
- 2Jazan University, Jazan, Saudi Arabia
- 3Agriculture Research Centre, Ministry of Agriculture, Giza, Egypt
- 4United Arab Emirates University College of Agriculture and Veterinary Medicine, Al Ain, United Arab Emirates
- 5Damanhour University Faculty of Veterinary Medicine, Damanhour, Egypt
- 6Faculty of Agriculture, Zagazig University, Zagazig, Egypt
Select one of your emails
You have multiple emails registered with Frontiers:
Notify me on publication
Please enter your email address:
If you already have an account, please login
You don't have a Frontiers account ? You can register here
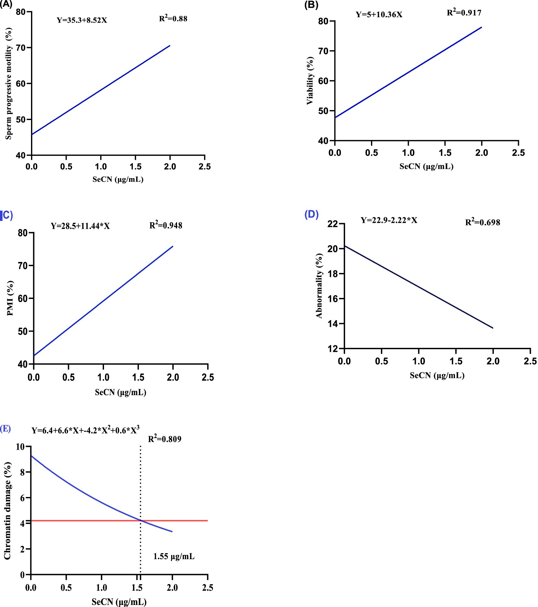
Introduction: Nanozymes, a cutting-edge development in nanotechnology, offer a versatile and promising tool for mitigating oxidative stress caused by cryo-injury. This study targeted to assess the protective effects of selenium conjugated chitosan nanoparticles (SeCN; as a nanozyme) when added to semen freezing extenders in buffalo bulls. Methods: Semen samples were extended with 0 (SeCN0), 0.5 (SeCN0.5), 1 (SeCN1), or 2 (SeCN2) μg/mL SeCN, frozen at −196 °C, and assessed post-thaw for sperm quality, antioxidant status, mitochondrial activity and ultrastructural changes. Results: The SeCN supplementation significantly improved all post-thawed sperm parameters in a dose-dependent manner (P < 0.001). A significant linear increase (P<0.01) was monitored in viability, sperm progressive motility, and plasma membrane integrity with increasing concentrations of SeCN supplementation. Sperm abnormalities decreased linearly with SeCN supplementation, reaching the lowest rate in the SeCN2 group (P<0.01 compared to other groups). Chromatin damage decreased significantly in a cubic manner in the SeCN1 and SeCN2 groups compared to the other groups (P<0.01). A clear linear increase in both SOD levels and TAC levels (P<0.01). The SeCN2 group exhibited the highest SOD activity, while the SeCN1 and SeCN2 groups showed the highest TAC values (P<0.01) compared to other groups. Additionally, GPx activity in all SeCN-supplemented groups demonstrated a cubic increase (P<0.01) compared to the control group. The SeCN2 group showed the most effective reduction in MDA levels, followed by the SeCN1 and SeCN0.5 groups (p <0.001). Nitric oxide was significantly decreased in a linear manner by the addition of SeCN (p < 0.001). A significant cubic increase in mitochondrial membrane potential (MMP) was observed, with the addition of 1 or 2 μg of SeCN/mL (p < 0.001). Ultrastructural analysis via transmission electron microscopy confirmed improved preservation of acrosomal, mitochondrial, and plasma membrane integrity of buffalo spermatozoa. Discussion: At a concentration of 1 or 2 μg/mL, SeCN demonstrates potent cryoprotective effects by enhancing sperm function, reducing oxidative stress, and preserving mitochondrial activity and ultrastructure changes of sperm. Incorporating SeCN into semen extenders may improve cryosurvival in buffalo and represents a promising strategy for optimizing artificial insemination outcomes in livestock breeding programs.
Keywords: Buffalo, Selenium conjugated chitosan nanoparticles, Cryopreservation, sperm quality, Oxidat ive stress
Received: 03 Oct 2025; Accepted: 04 Nov 2025.
Copyright: © 2025 Sindi, Alfattah, Hassan, El-Haroun, Noredlin and Abdelnour. This is an open-access article distributed under the terms of the Creative Commons Attribution License (CC BY). The use, distribution or reproduction in other forums is permitted, provided the original author(s) or licensor are credited and that the original publication in this journal is cited, in accordance with accepted academic practice. No use, distribution or reproduction is permitted which does not comply with these terms.
* Correspondence: Sameh A. Abdelnour, samehtimor86@gmail.com
Disclaimer: All claims expressed in this article are solely those of the authors and do not necessarily represent those of their affiliated organizations, or those of the publisher, the editors and the reviewers. Any product that may be evaluated in this article or claim that may be made by its manufacturer is not guaranteed or endorsed by the publisher.
