ORIGINAL RESEARCH article
Front. Vet. Sci.
Sec. Animal Nutrition and Metabolism
This article is part of the Research TopicBioactive Feed Additives in Animal Nutrition: Innovations to Improve Health, Performance, and SustainabilityView all 3 articles
Effects of nano-zinc oxide supplementation on milk yield, rumen fermentation, nutrient digestibility, and blood indices of high-yielding dairy cows
Provisionally accepted- 1University of Tehran, Tehran, Iran
- 2yakın doğu üniversitesi, International Research Center for AI and IOT, Near East University, Nicosia, Cyprus
Select one of your emails
You have multiple emails registered with Frontiers:
Notify me on publication
Please enter your email address:
If you already have an account, please login
You don't have a Frontiers account ? You can register here
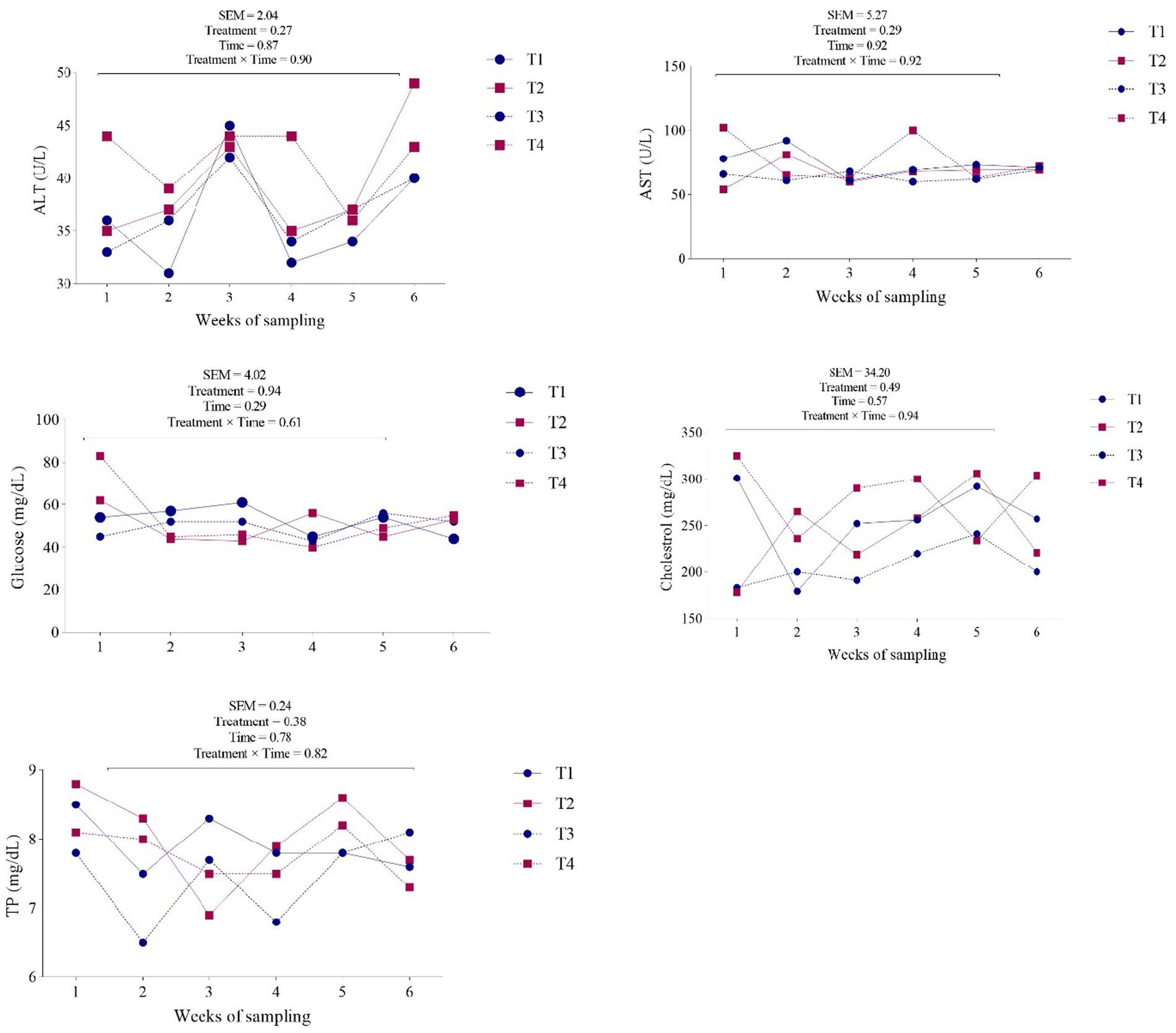
Nanoparticles of zinc oxide (NP-ZnOs) are the most extensively utilized nanoparticles due to the higher surface area, improved bioactivities, and, most importantly, unique chemical stability and simplicity of production. The study aimed to evaluate the effects of NP-ZnOs on the rumen parameters, total-tract nutrient digestibility, and milk performance of Holstein dairy cows. In a completely randomized design, twenty-four dairy cows (650 ± 20 kg of BW; mean ± SD) were allocated to one of four experimental diets, which were as follows: 1) CON + 30 ppm zinc oxide, (2) CON + 30 ppm ZnO-NPs, (3) CON + 60 ppm ZnO-NPs, and (4) CON + 90 ppm ZnO-NPs. Throughout the experiment period, milk yield and milk composition were recorded automatically at each milking time. Body weight (BW) and body condition score (BCS) were assessed throughout the experiment. The components of milk production were unaffected by the supplemental zinc (all p > 0.05). Administration of NP-Zn at 90 ppm caused a numerical decrease in somatic cell count (SCC) as compared to the other experimental treatments (p = 0.93). The zinc content of milk increased significantly with NP-ZnO supplementation regardless of the dose (p < 0.01). Dairy cows receiving diets supplemented with 30 ppm NP-Zn had higher dry matter intake (DMI), crude fat, and NDF digestibility in comparison the other groups. Compared to the other treatments, Group feeding with NP-ZnO at 90 ppm showed the highest concentrations of glucose (p = 0.94) and TG (p = 0.43), and group receiving 30 ppm resulted in higher cholesterol (p = 0.49). The indicator of inflammation, albumin, showed a similar trend (p = 0.41). Total volatile fatty acids (TVFAs) concentration increased with adding NP-Zn at 60 ppm dose (p = 0.48), although the ruminal content of NH3-N showed a lower value compared to the other doses (p = 0.329). In conclusion, these results suggested that supplementing diets of high-yielding dairy cows with NP-ZnOs at 90 mg/kg dose could be a profitable substitute for high dietary ZnO inclusion in diets to improve the productivity of dairy cows.
Keywords: Nanoparticles of zinc oxide, Milk yield, Holstein dairy cows, Enzymes, performance
Received: 07 Oct 2025; Accepted: 03 Nov 2025.
Copyright: © 2025 Zarghami, Ganjkhanlou, Zali, Fekri and Palangi. This is an open-access article distributed under the terms of the Creative Commons Attribution License (CC BY). The use, distribution or reproduction in other forums is permitted, provided the original author(s) or licensor are credited and that the original publication in this journal is cited, in accordance with accepted academic practice. No use, distribution or reproduction is permitted which does not comply with these terms.
* Correspondence: Valiollah Palangi, valiollah.palangi@neu.edu.tr
Disclaimer: All claims expressed in this article are solely those of the authors and do not necessarily represent those of their affiliated organizations, or those of the publisher, the editors and the reviewers. Any product that may be evaluated in this article or claim that may be made by its manufacturer is not guaranteed or endorsed by the publisher.
