Abstract
Electric tastes can present various taste modulation effects using stimulation waveforms. Presenting and stopping cathodal stimulation or presenting anodal stimulation, for example, can enhance the saltiness of foods and drinks. If the taste of low-sodium foods improves because of these effects, it can provide low-sodium dieters with both mental satisfaction and nutritional health benefits. However, no studies on the effect of saltiness enhancement on electric taste in low-sodium dieters have been conducted. In this study, we first designed and investigated a stimulation waveform suitable for saltiness enhancement of low-sodium foods. This stimulation waveform combined the effects of presenting and stopping cathodal stimulation and presenting anodal stimulation and showed a saltier enhancement than the existing waveforms. Next, we conducted an experiment with individuals who were or had been on a low-sodium diet. In this experiment, the effect of saltiness enhancement on the proposed stimulation waveform was investigated using saltwater gel samples with the same saltiness as low-sodium and ordinary foods. The results suggest that presenting the proposed stimulation waveform when eating foods with a 30% reduction in salt content can present a saltiness equivalent to that of ordinary foods. Furthermore, the discomfort caused by electrical stimulation was not severe enough to be a problem for most participants. Finally, assuming the use of electric tastes in daily life, this study attempted to qualitatively analyze the changes in saltiness intensity and flavor of low-sodium miso soup.
1 Introduction
Electric tastes can present various taste modulation effects by developing stimulation waveforms or presentation methods. The use of electric tastes to control saltiness has been extensively studied. For example, Ranasinghe et al. showed that by placing both cathode and anode electrodes on the tongue and applying a square pulse wave, saltiness is presented (Ranasinghe et al., 2012). Furthermore, by incorporating the same stimulation presentation mechanism into cups, chopsticks, and bowls, they could enhance the saltiness of food and drinks (Ranasinghe et al., 2017; Ranasinghe et al., 2019). Nakamura and Miyashita proposed a method for enhancing saltiness using cathodal stimulation by placing the cathode near the tongue and anode on the human body, such as the hand or arm (Nakamura and Miyashita, 2013b). Cathodal stimulation suppresses saltiness during presentation and increases saltiness at the time of stopping (Nakamura and Miyashita, 2013a). Additionally, cathodal stimulation with continuous square waves can enhance saltiness (Sakurai et al., 2017). The mechanism of taste change induced by cathodal stimulation is thought to involve ion migration (Aoyama et al., 2017; Sakurai et al., 2017). In contrast, anodal stimulation, in which the anode is placed near the tongue whole the cathode is placed on the human body, can enhance saltiness (Nakamura et al., 2021). Furthermore, anodal stimulation has a significant effect on saltiness enhancement than continuous square waves cathodal stimulation. Aruga and Koike also showed that anodal stimulation during soup eating can enhance the saltiness (Aruga and Koike, 2015). Saltiness can be enhanced using various electrical taste methods.
If the taste of low-sodium foods is enhanced using the above-mentioned salty enhancement effect of electric taste, it can provide low-sodium dieters with both mental satisfaction and nutritional health benefits. However, no studies on the effect of saltiness enhancement on electric taste in low-sodium dieters have been conducted.
In this study, we designed and investigated a stimulation waveform suitable for saltiness enhancement of low-sodium foods and demonstrated it in low-sodium dieters. First, we designed a new stimulation waveform combining the effect of presenting and stopping cathodal stimulation with the effect of presenting anodal stimulation and tested it. The results showed that the proposed stimulation waveform had a higher saltiness enhancement effect than the conventional stimulation waveform. Following that, we conducted an experiment with 36 participants (43–65 years old, 2–300 months of salt reduction) who were currently or had previously followed a low-sodium diet. The participants were asked to use a visual analog scale (VAS) to rate the intensity of saltiness with and without electric taste using saltwater gel samples with the same saltiness as low-sodium and ordinary foods. On a 5-point scale, they were also asked to rate the discomfort caused by electrical stimulation. As a result, presenting electric taste to a saltwater gel sample simulating low-sodium food significantly increased the saltiness of the food. Additionally, the saltiness intensity was comparable to a saltwater gel sample with the same saltiness as ordinary foods. Furthermore, for more than 80% of the participants, the level of discomfort caused by the electrical stimulation was not at a level that would pose a practical problem. Moreover, this study attempted to qualitatively analyze the changes in saltiness intensity and flavor of low-sodium miso soup, assuming the use of electric tastes in daily life. As a result, not only did the saltiness increase, but the taste was also enhanced.
The contributions of this study are as follows.
1) Design and investigation of a new stimulation waveform suitable for enhancing the saltiness of low-sodium foods.
2) An experiment on the saltiness enhancement effect of electric tastes on saltiness in low-sodium dieters. Demonstration that electric taste can reduce salt by 30%, and that discomfort from electric stimulation is not a practical problem for more than 80% of participants.
3) Qualitative evaluation of the saltiness enhancement effect of electric taste using a low-sodium miso soup.
2 Materials and Methods
In this section, we describe the design of an electrical stimulation waveform that enhances the saltiness of low-sodium foods, a preliminary study, and a demonstration of low-sodium dieters.
2.1 Design of Electrical Stimulation Waveform
In this study, we designed an electrical stimulation waveform that switches from cathodal to anodal stimulation to enhance the saltiness of low-sodium foods. The waveforms are shown in Figure 1. Two types of stimulation waveforms were prepared with a maximum current of 0.5 and 0.3 mA. Participants in Experiments 1 and 2 used the stimulation waveform with a maximum current of 0.3 mA if they felt that a discomfort caused by the stimulation waveform with a maximum current of 0.5 mA was strong.
FIGURE 1

Proposed stimulation waveform. 0.3 s ease-in was followed by a 0.5 mA (0.3 mA) cathodal stimulation for 0.5 s. Then, 0.5 mA (0.3 mA) anodal stimulation was presented.
The intent of the stimulation waveform design and possible taste modulation effects are described in the order of the time scales. First, cathodal stimulation was presented at 0.3 s of ease-in. This is done to avoid pain stimulus from sudden changes in current by gradually presenting electrical stimulation. Next, a cathodal stimulation was presented for 0.5 s, followed by 0.4 s reversal to anodal stimulation. At this point, the saltiness enhancement effect caused by presenting and stopping cathodal stimulation and presenting anodal stimulation occurred sequentially. This resulted in a stronger saltiness enhancement effect at the reversal time of 1.2 s. We also designed a gradual current change of 0.4 s during the reversal stimulation from cathodal to anodal. This was to prevent pain stimulus caused by a sudden change in the current value by presenting the electrical stimulation gradually as well as the ease-in.
2.2 Preliminary Experiments
In this section, we describe the preliminary experiments on the electrical stimulation waveform proposed in Section 2.1 (proposed waveform). The goal of the preliminary experiment is to confirm the proposed waveform’s effectiveness. As a result, we compared the saltiness enhancement effect and discomfort caused by electric stimulation between the proposed and conventional waveforms. Two preliminary experiments were conducted with the three authors of this study, who were familiar with the principles and effects of electric tastes. In preliminary Experiments 1 and 2, only the experimental conditions differed among the designs described in Section 2.2.3.
2.2.1 Equipment
We used the TasteSynth system (Kaji and Miyashita, 2021). The configuration of the system is shown in Figure 2. The system is composed of PC software and a current output device that can output and stop the electrical stimulation waveform using the PC software. The current output unit is a constant current circuit with noise-reduction circuit.
FIGURE 2

Current output device configuration (Kaji and Miyashita, 2021).
A chopstick-shaped device was used to present the electrical stimulation waveforms. The device and its structure are shown in Figure 3. The chopstick device had a copper electrode on the hand side and a titanium electrode on the mouth side, and each electrode was connected to the current output device independently. When food is ingested, a circuit is formed in the human body, and electrical stimulation can be applied to the tongue.
FIGURE 3

Chopstick device and its structure. (A) Chopstick device. (B) Structure of a chopstick device (Kaji and Miyashita, 2021).
2.2.2 Task
Participants placed a saltwater gel sample on their tongue using a chopstick device and evaluated the saltiness intensity and discomfort caused by the electrical stimulation at the time cued by the experimenter. A 100 mm VAS was used to evaluate the saltiness intensity (Figure 4). The VAS was set as follows: water gel sample at the left end, 0.56% saltwater gel sample at the center, and 1.12% saltwater gel sample at the right end. Participants were asked to check the saltiness of the samples in advance. The participants were instructed to draw a line on the VAS sheet by hand, where the salty taste was closest to the one they perceived at the time the experimenter signaled. Additionally, the participants were asked to rate the discomfort on a 5-point scale as follows: 1: none, 2: low (not bothersome), 3: mild (bothersome in daily life, but not unbearable), 4: moderate (bearable in tests, but unbearable in daily life), 5: severe (unbearable). During the evaluation, it was possible to check the taste as many times as was desired. However, the gel sample that was used once for taste check was not used again, and a new gel sample was used each time.
FIGURE 4

Visual analog scale (VAS) used in the experiment.
2.2.3 Design
The following eight conditions were used in the preliminary Experiment 1.
1) 0.56% saltwater gel sample [proposed waveform (0.5 mA)]
2) 0.56% saltwater gel sample [proposed waveform (0.3 mA)]
3) 0.56% saltwater gel sample [reversed from cathode to anode (0.5 mA)]
4) 0.56% saltwater gel sample [presenting and stopping cathodal stimulation (0.5 mA)]
5) 0.56% saltwater gel sample [presenting anodal stimulation (0.5 mA)]
6) 0.56% saltwater gel sample [cathodal stimulation with continuous square wave (0.5 mA, 10 Hz)]
7) 0.56% saltwater gel sample (no stimulation)
8) 0.80% saltwater gel sample (no stimulation)
Three sets (18 trials) of eight conditions were conducted. In each set, the above conditions were performed in order from top to bottom, because the participants had an understanding of electric taste and could perceive the conditions.
Additionally, the following two conditions were used in the preliminary Experiment 2.
1) 0.56% saltwater gel sample [proposed waveform (0.8 mA)]
2) 0.56% saltwater gel sample [reversed from cathode to anode (0.8 mA)]
Three sets (six trials) of two conditions were conducted. As in preliminary Experiment 1, the above conditions were performed from top to bottom.
The saltwater gel samples were cubes of approximately 1.5 cm per side at room temperature and were provided on white paper plates. The concentrations of the saltwater gel samples were determined by referring to the literature (Makino, 1998; Matsuda, 2017), 0.56% saltwater gel sample was set as the salt concentration of low-sodium food, and 0.80% saltwater gel sample was set as the salt concentration of ordinary food. The saltwater gel samples were prepared by boiling and dissolving a solution of 0.80 wt% or 0.56 wt% sodium chloride and 0.80 wt% agar (“powdered agar S-7” manufactured by Ina Food Industries), and then cutting into 1.5 cm squares.
The waveform, as shown in Figure 1, Figure 5, was used for the electrical stimulation. In preliminary Experiment 1, we presented the proposed waveform, the waveform that reverses from the cathode to the anode (without the ease-in process and gradual stimulation process of the proposed waveform), and the conventional waveform that was used in related studies. In preliminary Experiment 2, the proposed waveform with the maximum current set to 0.8 mA and the waveform that reverses from the cathode to the anode (without the ease-in process and gradual stimulation process of the proposed waveform) are presented.
FIGURE 5

Waveform used in the preliminary Experiments. (A) and (B) Preliminary Experiment 1, (C) Preliminary Experiment 2.
In the electrical stimulation conditions, the stimulation was presented in the following order. First, the experimenter confirmed that the participant placed the saltwater gel sample on the tongue correctly and then began the output of the electrical stimulation. Second, the experimenter signaled the participants at approximately 1.2 s after the start of the stimulation waveform presentation to evaluate the taste. In the no stimulation condition, the experimenter cued the participants when approximately 1.2 s had elapsed after confirming that they had placed the gel sample correctly on their tongue and asked them to evaluate the taste of the timing.
2.2.4 Procedure
First, the participants checked the saltiness of the three VAS reference points. Subsequently, the task was initiated. When evaluating saltiness, participants were instructed to stick chopsticks into the gel, keep the food on their tongue, and lick it without chewing. The 0.56% saltwater gel sample, which was the center of the VAS, could be tasted at any time during the experiment. Participants were instructed to drink water between each task to prevent confusion.
2.3 Results of Preliminary Experiments
2.3.1 Results of Preliminary Experiment 1
The results of the evaluation of the saltiness intensity for each condition are shown in Figure 6. The bar graph shows each participant’s average value of the evaluation for each condition. The results of the discomfort caused by electrical stimulation are shown in Figure 7.
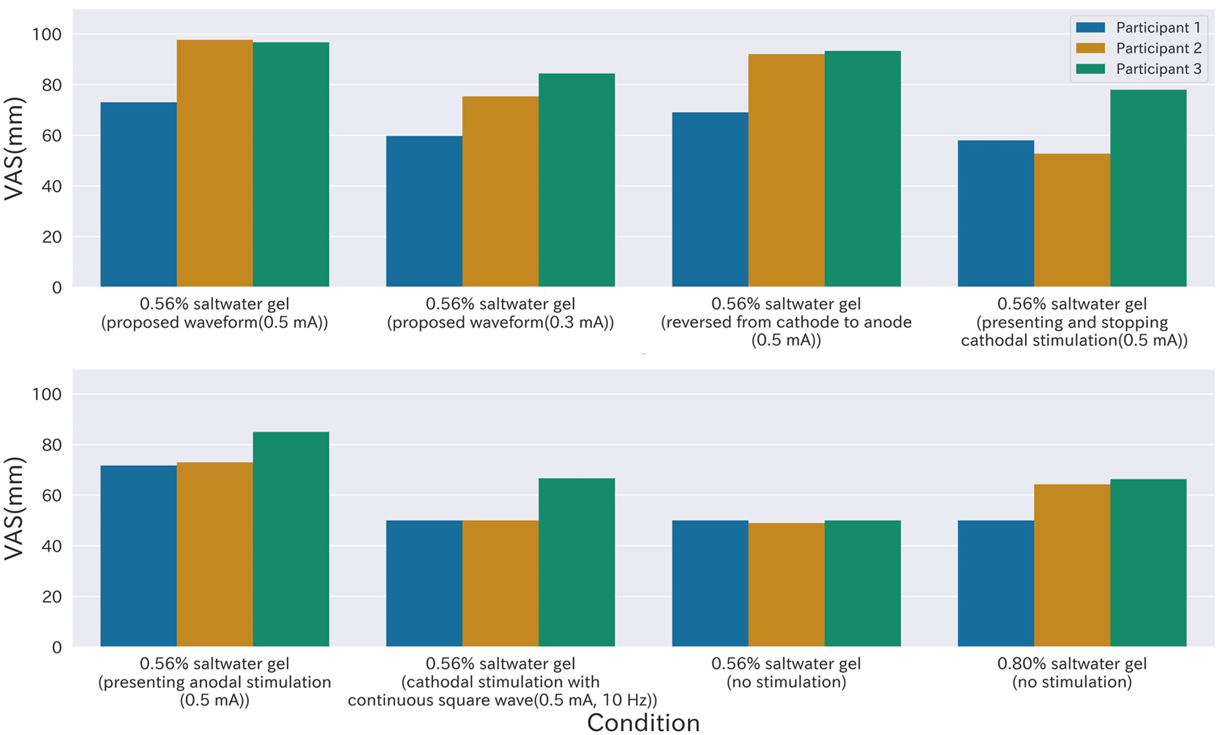
FIGURE 6

Evaluation results of saltiness intensity in preliminary study 1. The bar graph shows the average value of the evaluation of each condition for each participant.
FIGURE 7

Evaluation results of discomfort for each condition in the preliminary experiment 1. The numerical values indicate 1: none, 2: low (not bothersome), 3: mild (bothersome in daily life, but not unbearable), 4: moderate (bearable in testing, but unbearable in daily life), and 5: severe (unbearable).
2.3.2 Results of Preliminary Experiment 2
The results of the evaluation of the saltiness intensity for each condition are shown in Figure 8. The bar graph shows each participant’s average value of the evaluation for each condition. The results of the discomfort caused by electrical stimulation are shown in Figure 9.
FIGURE 8

Evaluation results of saltiness intensity in preliminary study 1. The bar graph shows the average value of the evaluation of each condition for each participant.
FIGURE 9

Evaluation results of discomfort for each condition in the preliminary experiment 1. The numerical values indicate 1: none, 2: low (not bothersome), 3: mild (bothersome in daily life, but not unbearable), 4: moderate (bearable in testing, but unbearable in daily life), and 5: severe (unbearable).
2.4 Discussion of Preliminary Experiments
In preliminary Experiment 1 (Figure 6), the saltiness intensity of the 0.56% saltwater gel sample [proposed waveform (0.5 mA)] condition had the highest among all conditions for all three participants. Furthermore, in all trials, the evaluation of electrical stimulation discomfort (Figure 7) was less than three: mild (bothering in daily life, but not unbearable). Therefore, we believe that the proposed waveform (0.5 mA) is best for enhancing the saltiness of low-sodium foods.
According to preliminary Experiment 1 (Figure 6), all three participants preferred the salty taste of the 0.56% saltwater gel sample [proposed waveform (0.3 mA)] condition to the 0.56% saltwater gel sample (no stimulation) condition. Additionally, the 0.56% saltwater gel sample [proposed waveform (0.3 mA)] had a higher saltiness evaluation than that of the 0.80% saltwater gel sample (no stimulation). Therefore, the proposed waveform (0.3 mA) is suitable for enhancing the saltiness of low-sodium foods.
Additionally, for evaluating the discomfort caused by electrical stimulation in preliminary Experiment 2 (Figure 9), the proposed waveform (0.8 mA) condition was evaluated to be lower than the waveform reversed from the cathode to the anode (0.8 mA) in seven out of nine sets. The evaluations were equal in the remaining two sets. From these results, we believe that the ease-in or gradual current change in the proposed waveform could alleviate the discomfort caused by electric stimulation.
Based on these results, we decided to conduct this experiment using the proposed waveform (0.5 mA) and proposed waveform (0.3 mA). In this experiment, the proposed waveform (0.3 mA) was used for participants whose discomfort from electric stimulation was high in the proposed waveform (0.5 mA).
2.5 Experiment 1
This experiment aimed to investigate the effect of salt reduction on people who follow a low-sodium diet using the salt enhancement effect of the electric taste. In this study, we quantitatively investigated the saltiness enhancement effect of electric taste using salt-water gel samples with the same saltiness as low-sodium and ordinary foods. The equipment and task are the same as in Section 2.2.1, Section 2.2.2, respectively.
2.5.1 Participants
This study was conducted with the approval of the Research Ethics Committee for Research Involving Human Subjects of Meiji University Educational Corporation and the Research Ethical Review Committee of Kirin Holdings Company, Ltd. Before the experiment, the participants were fully informed about the purpose of the study, and written consent was obtained. Participants were allowed to withdraw their consent at any time during the experiment and discontinue the study.
Participants self-reported that they were currently or had been following a low-sodium diet in their daily lives. The experimental lasted from the middle of August to the beginning of October. Participants were recruited from the registered monitors of a research company. The total number of participants in the experiment was 36 (age range 43–65 years, mean age 58.3 years, 23 males and 13 females, duration of salt reduction 2–300 months). One participant had missing data, and four had problems in performing the experiment, such as not being able to eat with chopsticks or licking gel samples; therefore, the experiment was stopped before the start of Experiment 1. Thus, 31 participants were included in Experiments 1 and 2. Participants were paid 5,000 yen as an honorarium.
2.5.2 Design
The following three conditions were used.
1) 0.80% saltwater gel sample (no stimulation)
2) 0.56% saltwater gel sample (no stimulation)
3) 0.56% saltwater gel sample (electrical stimulation)
The participants performed six sets (18 trials), each with three conditions. To account for order effects, each condition was evaluated an equal number of times for all possible orders. These conditions were not disclosed to participants during the experiment. The salt water gel samples were subjected to the same conditions as described in Section 2.2.3.
For electrical stimulation, we used the stimulation waveform described in Section 2.1. Participants experienced the proposed waveform (0.5 mA) before performing the task. If the participants did not experience any severe discomfort, they performed the experiment using the proposed waveform (0.5 mA). However, when the participants stated that the electric stimulation caused them severe discomfort, the experiment was conducted using the proposed waveform (0.3 mA). The presentation method of the electric stimulation was the same as that described in Section 2.2.3.
2.5.3Procedure
The participants were trained on the timing of the evaluation and how to describe their taste. First, the participants experienced three salty taste points, which were the criteria for the VAS. Next, the participants experienced a 0.56% saltwater gel sample (with electrical stimulation) under the same conditions as in this test and then performed the task. When evaluating saltiness, participants were instructed to stick chopsticks into the gel, keep the food on their tongue, and lick it without chewing. After a 3-min break, the task of this experiment was started. In this experiment, a 3-min break was provided for every two sets. The 0.56% saltwater gel sample, which was the center of the VAS, could be tasted at any time during the experiment. Participants were instructed to drink water between each task to prevent confusion.
2.6 Experiment 2
The purpose of Experiment 2 was to qualitatively evaluate the saltiness enhancement effect and the change in flavor that can be obtained by presenting an electric taste sensation when eating or drinking low-sodium food. Therefore, we conducted an experiment using low-sodium miso soup. The equipment and participants were identical to those in Section 2.2.1 and Section 2.5.1, respectively.
2.6.1 Task
Participants dipped the tip of the chopstick device into a cup of low-sodium miso soup and sipped it, evaluating the discomfort caused by electrical stimulation at the time the experimenter signaled. Additionally, they freely described the overall taste and deliciousness of food at that time. The evaluation method for discomfort was the same as that described in Section 2.2.2.
2.6.2 Design
The following two conditions were used.
1) no stimulation
2) electrical stimulation
The electrical stimulation and presentation methods were the same as those described in Section 2.5.2. Participants evaluated each condition once. The experiment was conducted in the following order: no stimulation followed by electrical stimulation. These conditions were not disclosed to participants during the experiment.
For the low-sodium miso soup, we used commercially available miso soup diluted to 1.5 × the prescribed amount (using seasoned miso from “low-salt miso soup supervised by Tanita Shokudo” manufactured by Marukome). The salt concentration of the miso soup was measured using a salt meter (“SO-304 Electronic Salt Meter” manufactured by TANITA), and the salt concentration was 0.30%. Miso soup was served at room temperature in a white-paper cup.
2.6.3 Procedure
Participants were given instructions, then asked to perform the task before writing a comment about their experience. The instructions were as follows. First, the participants placed the tip of the chopstick device on the miso soup in the cup. The miso soup was then sipped from the cup. The participants were then instructed to taste the miso soup while maintaining the miso soup in the cup connected to their mouths. The participants were asked to comment on the experience by answering two questions: 1) whether there was any change in taste or deliciousness between two conditions and 2) how they felt after tasting the miso soup. The total duration of Experiments 1 and 2 approximately 1 h.
3 Results
In this section, we describe the results of Experiments 1 and 2.
3.1 Results of Experiment 1
Figure 10 shows the results of the saltiness intensity evaluation for each condition. The results were analyzed using the average value for each condition for each participant. IBM SPSS was used for the analysis. Repeated measures analysis of variance showed a main effect (F1.37,41.0 = 21.1, p < 0.001, η2 = 0.413). Because Mauchly’s sphericity test did not hold, the degrees of freedom and p-values were corrected using the Greenhouse-Geisser method. Multiple comparisons for each condition were performed using the Bonferroni method. The results showed that there was a significant difference (p < 0.05) between the 0.80% saltwater gel samples (no stimulation) and 0.56% saltwater gel samples (no stimulation) conditions, and between the 0.56% saltwater gel samples (with electrical stimulation) and 0.56% saltwater gel samples (no stimulation) conditions. Additionally, the ratings of discomfort caused by electrical stimulation for each condition in all trials are shown in Figure 11. In the 0.56% saltwater gel samples (with electrical stimulation) condition, 14.5% of all participants scored four or higher, and 85.5% scored three or lower. In the 0.80% saltwater gel samples (no stimulation) and 0.56% saltwater gel samples (no stimulation) conditions, 24.7 and 19.4% of all participants scored two or more points, respectively.
FIGURE 10

Evaluation results of saltiness intensity in Experiment 1 (* indicates p < 0.05). The one-dimensional scatterplot shows the mean value for each participant.
FIGURE 11

Evaluation results of discomfort for each condition in the experiment 1. The numerical values indicate 1: none, 2: low (not bothersome), 3: mild (bothersome in daily life, but not unbearable), 4: moderate (bearable in testing, but unbearable in daily life), and 5: severe (unbearable).
3.2 Results of Experiment 2
The results of the evaluation of discomfort caused by electrical stimulation for each condition in all trials are shown in Figure 12. In the electrical stimulation condition, 19.4% of the participants scored four points or higher, while 80.6% scored three points or less. Even in the no stimulation condition, 19.4% of the participants scored two or higher. The qualitative evaluation results of Experiment 2 are presented in Table 1. In this section, the evaluation of the change in taste and deliciousness in the condition with electrical stimulation and comments about the experience are classified based on the evaluation of the saltiness of miso soup (no stimulation).
FIGURE 12

Evaluation results of discomfort for each condition in the experiment 2. The numerical values indicate 1: none, 2: low (not bothersome), 3: mild (bothersome in daily life, but not unbearable), 4: moderate (bearable in testing, but unbearable in daily life), and 5: severe (unbearable).
TABLE 1
| – | |
|---|---|
| Participants who do not feel that the presented miso soup (no stimulation) is too thin | • It was not a change in the saltiness, but a change in the taste itself, and the soup stock seemed to have become stronger |
| • I felt that it became tastier. I felt that the depth and breadth of the flavor had increased | |
| • I could taste not only saltiness but also sweetness. I felt that the soup stock was effective | |
| • It was too salty | |
| • I felt something like a bitter taste | |
| • It felt mineral and uncomfortable | |
| Participants who feel that the presented miso soup (no stimulation) is thin | • The taste became stronger and richer |
| • I could feel the broth and umami | |
| • I felt like it tasted better because it was thicker | |
| • I felt it was well-balanced as a miso soup | |
| • The saltiness increased, but the taste remained the same because it was thinner than the miso soup I usually drink | |
| • I felt some stimulation |
Evaluation of the change in taste and flavor and experience in the condition with electrical stimulation in Experiment 2.
4 Discussion
The results of Experiment 1 showed that saltiness was significantly enhanced using the proposed waveform. Additionally, the saltiness intensity of the 0.56% saltwater gel samples (with electrical stimulation) condition was comparable to that of the 0.80% saltwater gel samples (no stimulation) condition. The results suggest that when the proposed waveform is presented at the time of consumption of a food with 30% less salt, we can perceive saltiness equivalent to that of a normal meal.
In Experiment 2, in which the proposed waveform was presented during the consumption of low-sodium miso soup, the effect of saltiness enhancement was also observed in the qualitative evaluation. Additionally, many participants commented on how better the food tasted and felt. The results indicate that electrical stimulation may have affected the umami taste as well, and that saltiness may have been enhanced, resulting in a better taste balance. However, there were evaluations that the saltiness of the miso soup became too strong by the electric stimulation. According to the pre-experiment questionnaire, this result was probably because many participants eat a less salty diet daily. There were also negative comments such as bitterness, minerality, and irritation. These responses are thought to be caused by the high intensity of electrical stimulation. In this experiment, the intensity of the electrical stimulation was set to two levels. However, in the future, it will be necessary to adjust the intensity of the electrical stimulation according to individual preferences and foodstuffs.
In Experiment 1, 14.5% of the cases rated the electrical stimulation as “bearable in tests, but unbearable in daily life” or higher (four points or higher). In Experiment 2, this percentage was 19.4% of the total. These results suggest that for more than 80% of the participants, the intensity of the electrical stimulation was at least acceptable for daily use. However, approximately 10–20% of participants reported experiencing discomfort that was “unbearable in daily life,” suggesting that there were significant individual differences in how they felt discomfort. These uncomfortable sensations may be caused by unstable contact areas between the tongue and food or electrodes, contact of the electrodes with the teeth, or tingling stimulation because of the high intensity of the electric current. In the future, it will be necessary to search for stimulation waveforms, design devices, and calibrate currents for each individual to suppress the discomfort caused by electric stimulation while maintaining the taste-enhancing effect of the electric taste.
5 Conclusion
In this study, we designed and evaluated a stimulation waveform that enhances the saltiness of low-sodium foods and demonstrated its effects on low-sodium dieters. The proposed waveform, which combined the effects of presenting and stopping cathodal stimulation and presenting anodal stimulation, had a higher saltiness enhancement effect than the conventional stimulation waveform. Furthermore, in an experiment with low-sodium dieters, it was suggested that presenting a proposed waveform when consuming foods with a 30% reduction in salt could provide a salty taste equivalent to that of ordinary foods. The level of discomfort caused by the electrical stimulation was not a problem for most participants. Additionally, the results of the experiment using low-sodium miso soup showed that the saltiness effect was enhanced as well as the overall taste of the miso soup.
Statements
Data availability statement
The raw data supporting the conclusions of this article will be made available by the authors, without undue reservation.
Ethics statement
The studies involving human participants were reviewed and approved by the Research Ethics Committee for Research Involving Human Subjects of Meiji University Educational Corporation and Research Ethical Review Committee of Kirin Holdings Company, Ltd. The patients/participants provided their written informed consent to participate in this study.
Author contributions
All authors listed have made a substantial, direct, and intellectual contribution to the work and approved it for publication.
Funding
This study received funding from Kirin Holdings Company, Limited.
Acknowledgments
Figure 2 and Figure 3 were taken from a study previously published by the authors (Kaji and Miyashita, 2021). Some parts of this research also include the contents of studies previously published by the authors (Kaji et al., 2022).
Conflict of interest
AS is employed by Kirin Holdings Company, Limited. This study received funding from Kirin Holdings Company, Limited. The funder holds patents on the proposed stimulation waveform and related products.
The author declares that the research was conducted in the absence of any commercial or financial relationships that could be construed as a potential conflict of interest.
Publisher’s note
All claims expressed in this article are solely those of the authors and do not necessarily represent those of their affiliated organizations, or those of the publisher, the editors and the reviewers. Any product that may be evaluated in this article, or claim that may be made by its manufacturer, is not guaranteed or endorsed by the publisher.
References
1
Aoyama K. Sakurai K. Sakurai S. Mizukami M. Maeda T. Ando H. (2017). Galvanic Tongue Stimulation Inhibits Five Basic Tastes Induced by Aqueous Electrolyte Solutions. Front. Psychol.8, 2112. 10.3389/fpsyg.2017.02112
2
Aruga Y. Koike T. (2015). “Taste Change of Soup by the Recreating of Sourness and Saltiness Using the Electrical Stimulation,” in Proceedings of the 6th augmented human international conference, Singapore, March 9–11,2015 (New York, NY, USA: Association for Computing Machinery, AH ’15), 191–192. 10.1145/2735711.2735811
3
Kaji Y. Anzo K. Sato A. Miyashita H. (2022). “Gen’en Seikatsusha o Taisho to Shita Denki Mikaku ni Yoru Enmi Zokyo Koka no Chosa (A Study on the Effect of Saltiness Enhancement by Electric Taste in Low-Sodium Dieter),” in Proceedings of Interaction 2022, Online, February 28–March 2, 2022 (Japan: Information Processing Society of Japan Symposium).
4
Kaji Y. Miyashita H. (2021). “Tastesynth: Denki Mikaku no Tame no Shigeki Hakei Dezain Shisutemu (Tastesynth: Stimulation Waveform Design System for Electric Tastes),” in Proceedings of the symposium on entertainment computing, Online, August 30–September 1, 2021 (Japan: IPSJ Special Interest Group on Entertainment Computing, EC2021), 266–275.
5
Makino N. (1998). Enbun Hayawakari: Itsumo Taberu Ryo no Enbun ga Hitome de Wakaru (Salinity Overview: A Quick Overview of the Amount of Salt in Your Diet). Tokyo: Joshi Eiyo Daigaku Shuppanbu.
6
Matsuda Y. (2017). E de Mite Wakaru Teiban Okazu o Oishiku Gen’en (A Picture Guide to Reducing Salt in Standard Dishes). Tokyo: Joshi Eiyo Daigaku Shuppanbu.
7
Nakamura H. Amemiya T. Rekimoto J. Ando H. Aoyama K. (2021). Anodal Galvanic Taste Stimulation to the Chin Enhances Salty Taste of Nacl Water Solution. J. Robot. Mechatron.33, 1128–1134. 10.20965/jrm.2021.p1128
8
Nakamura H. Miyashita H. (2013a). “Controlling Saltiness without Salt: Evaluation of Taste Change by Applying and Releasing Cathodal Current,” in Proceedings of the 5th international workshop on Multimedia for Cooking Eating Activities, Barcelona, Catalunya, Spain, October 21, 2013 (New York, NY, USA: Association for Computing Machinery, CEA’13), 9–14. 10.1145/2506023.2506026
9
Nakamura H. Miyashita H. (2013b). “Enhancing Saltiness with Cathodal Current,” in CHI ’13 Extended Abstracts on Human Factors in Computing Systems (New York, NY, USA: Association for Computing Machinery, CHI EA ’13), 3111–3114. 10.1145/2468356.2479623
10
Ranasinghe N. Nakatsu R. Nii H. Gopalakrishnakone P. (2012). “Tongue Mounted Interface for Digitally Actuating the Sense of Taste,” in 16th International Symposium on Wearable Computers, 80–87. 10.1109/ISWC.2012.16
11
Ranasinghe N. Nguyen T. N. T. Liangkun Y. Lin L.-Y. Tolley D. Do E. Y.-L. (2017). “Vocktail: A Virtual Cocktail for Pairing Digital Taste, Smell, and Color Sensations,” in Proceedings of the 25th ACM International Conference on Multimedia, Mountain View, CA, October 23–27, 2017 (New York, NY, USA: Association for Computing Machinery, MM ’17), 1139–1147. 10.1145/3123266.3123440
12
Ranasinghe N. Tolley D. Nguyen T. N. T. Yan L. Chew B. Do E. Y.-L. (2019). Augmented Flavours: Modulation of Flavour Experiences through Electric Taste Augmentation. Food Res. Int.117, 60–68. Special issue on “Virtual reality and food: Applications in sensory and consumer science”. 10.1016/j.foodres.2018.05.030
13
Sakurai K. Aoyama K. Furukawa M. Maeda T. Ando H. (2017). Successive Taste Enhancement with Saltiness and Umami Using Continuance Square Wave Cathodal Current Stimulation. Trans. Virtual Real. Soc. Jpn.22, 149–156. 10.18974/tvrsj.22.2_149
Summary
Keywords
electric taste, galvanic tongue stimulation, electrical stimulation, taste enhancement, salt reduction
Citation
Kaji Y, Sato A and Miyashita H (2022) Design of Electrical Stimulation Waveform for Enhancing Saltiness and Experiment on Low-Sodium Dieters. Front. Virtual Real. 3:879784. doi: 10.3389/frvir.2022.879784
Received
20 February 2022
Accepted
13 June 2022
Published
05 July 2022
Volume
3 - 2022
Edited by
Robert W. Lindeman, Human Interface Technology Lab New Zealand (HIT Lab NZ), New Zealand
Reviewed by
Pedro Lopes, The University of Chicago, United States
Haipeng Mi, Tsinghua University, China
Updates
Copyright
© 2022 Kaji, Sato and Miyashita.
This is an open-access article distributed under the terms of the Creative Commons Attribution License (CC BY). The use, distribution or reproduction in other forums is permitted, provided the original author(s) and the copyright owner(s) are credited and that the original publication in this journal is cited, in accordance with accepted academic practice. No use, distribution or reproduction is permitted which does not comply with these terms.
*Correspondence: Yoshinobu Kaji, cs212004@meiji.ac.jp; Homei Miyashita, homei@homei.com
This article was submitted to Technologies for VR, a section of the journal Frontiers in Virtual Reality
Disclaimer
All claims expressed in this article are solely those of the authors and do not necessarily represent those of their affiliated organizations, or those of the publisher, the editors and the reviewers. Any product that may be evaluated in this article or claim that may be made by its manufacturer is not guaranteed or endorsed by the publisher.