Abstract
In the last two decades, over 100 studies have investigated the structure of the coral microbiome. However, as yet there are no standardized methods applied to sample preservation and preparation, with different studies using distinct methods. There have also been several comparisons made of microbiome data generated across different studies, which have not addressed the influence of the methodology employed over each of the microbiome datasets. Here, we assess three different preservation methods; salt saturated dimethyl sulfoxide (DMSO) – EDTA, snap freezing with liquid nitrogen and 4% paraformaldehyde solution, and two different preparation methodologies; bead beating and crushing, that have been applied to study the coral microbiome. We compare the resultant bacterial assemblage data for two coral growth forms, the massive coral Goniastrea edwardsi and the branching coral Isopora palifera. We show that microbiome datasets generated from differing preservation and processing protocols are comparable in composition (presence/absence). Significant discrepancies between preservation and homogenization methods are observed in structure (relative abundance), and in the occurrence and dominance of taxa, with rare (low abundance and low occurrence) phylotypes being the most variable fraction of the microbial community. Finally, we provide evidence to support chemical preservation with DMSO as effective as snap freezing samples for generating reliable and robust microbiome datasets. In conclusion, we recommend where possible a standardized preservation and extraction method be taken up by the field to provide the best possible practices for detailed assessments of symbiotic and conserved bacterial associations.
Introduction
Sequencing of the gene 16S rRNA is now by far the most common technique used to study the microbiome (Shokralla et al., 2012; D’Amore et al., 2016; Lear et al., 2018). The reliability of this method is directly related to the accuracy and precision of capturing entire communities of highly diverse, abundant, and uncultivable microbes (Rajendhran and Gunasekaran, 2011; D’Amore et al., 2016; Thompson et al., 2017). A number of steps are required to undertake this process, starting with the initial sampling protocol, through to the analysis (Lear et al., 2018). Throughout the process of generating a microbiome dataset, the protocol that is used can impact many attributes of the microbial dataset, and consequently, our understanding of the microbial community. Methods that can influence the final dataset may be related to the initial preservation of samples (Vlčková et al., 2012; Gray et al., 2013; Rocha et al., 2014), DNA extraction and amplification (Pinto and Raskin, 2012; Soergel et al., 2012; Ghyselinck et al., 2013), as well as a number of metrics related to downstream sequence analysis (McMurdie and Holmes, 2014).
As preservation methods, three reagents are commonly employed in marine research efforts to identify and characterize the microbiome. Each of these preservation methods has been developed to overcome various limitations of working in remote field sites, where access to fully equipped laboratories is limited (Nagy, 2010). For example, salt saturated dimethyl sulfoxide (DMSO) – EDTA (Seutin et al., 1991) is one of the most widely used preservation methods in marine sampling protocols as it can be transported long distances and remains stable over long time periods (Dawson et al., 1998). Snap freezing has also become widely used as the sample is preserved immediately upon collection with minimal handling and exposure of the sample to preservation artifacts (Fouhy et al., 2015; Vandeputte et al., 2017). However, this method has been limited by the capacity to transport and store liquid nitrogen or dry ice in remote areas. Further, fragments preserved with DMSO or liquid nitrogen are not suitable for histology, a tool that can inform about host health status (as tissue condition, e.g., Ainsworth et al., 2016) and localization of bacteria (e.g., van de Water et al., 2015; Neave et al., 2017) and contributes to identifying the bacterial niche and functional role on coral’s well-being. Fixation with paraformaldehyde (PFA) based solutions (for example, 4% PFA) has recently become more widely used to evaluate the microbiome in plankton, humans, plants, sponges, and corals through flow cytometry and fluorescence in situ hybridization (FISH) (Dinsdale et al., 2008; Tang et al., 2011; Lundberg et al., 2012; Raina et al., 2013; Adam et al., 2016; Bruder et al., 2016; Guerrero-Feijóo et al., 2017; Neave et al., 2017). Like DMSO, sample preservation in PFA provides an easily transportable and widely applicable preservation system; but it has not yet been widely taken up in environmental microbiome studies, and the impact of histological preparation on coral microbiome has not been evaluated.
In generating a microbiome dataset, sample homogenization is an essential process within the DNA extraction (Elbrecht and Leese, 2015; Lear et al., 2018). To date, the homogenization processes used in studying the coral holobiont microbiome have varied between studies. In general, some form of crushing of the entire coral sample is employed. Crushing the hard coral skeleton and overlaying tissues involves either the use of a mortar and pestle or a French press whilst the sample is held in liquid nitrogen to prevent DNA degradation (Ng et al., 2015; Samodha et al., 2015; Shore-Maggio et al., 2015; Zhang et al., 2015). Sample lysis and DNA extraction are then applied to a sub-sample of the generated homogenate, for example, using approximately 20 mg of homogenate samples in cell lysis buffer before DNA extraction (e.g., Ainsworth et al., 2015). Homogenization through bead beating of a small sub-sample has also been applied to extraction protocols without the use of prior crushing (e.g., Weber et al., 2017). The bead beating method combines physical force applied on spheres with cell lysis prior to DNA extraction (Lear et al., 2018). This method utilizes a smaller sample (for example, in coral studies ∼1–2 cm of the entire coral branch) and uses the beads to strip the overlaying tissues from the coral skeleton during the chemical cell lysis. The bead beating method is also used to homogenize tissue-mucus slurry airbrushed from coral fragments. This approach provides a quicker and more cost-effective means of sample preparation. Compared to crushing, less of the coral skeleton is being broken down and therefore, may alter the resulting dataset due to less of the endolithic microbiome (microbes contained within the skeleton) being released. There are many advantages and disadvantages to different sample preservation and preparation methods that have been employed in coral, and marine microbiome studies including transport, handling time, handling effort, total cost, and applicability in remote field locations. Despite comparison of DNA extraction kits and homogenization methodologies (Weber et al., 2017), very few studies have directly compared preservation and processing methods to determine their impact on the resulting datasets (e.g., Gray et al., 2013). However, there are studies comparing the microbiome datasets generated from multiple studies (Mouchka et al., 2010; Miller and Richardson, 2011).
Assessing preservation and homogenization methods can provide insights into protocols best suited for use in remote locations and assist in standardizing approaches across different studies undertaken worldwide. Standardized protocols are particularly relevant for microbiome studies on coral reefs. The worldwide degradation of coral reef ecosystems is driving more and more studies to be undertaken on the coral microbiome. Studies are aiming to define the characteristics of microbial communities of healthy organisms and also dysbiotic and unhealthy coral reef ecosystems (Ainsworth and Gates, 2016; Bourne et al., 2016). Coral reef ecosystems are often remote and located offshore, and sampling undertaken in these areas often represents a compromise in the number of samples taken and the quality of the preservation method. These logistical constraints are acknowledged as potential influencing factors on the microbiome datasets that are generated and consequently, on our perception of the attributes of microbial communities. The current study aims to evaluate the influence of three sample preservation methods and two DNA extraction protocols on the microbiome datasets generated from two coral species.
Materials and Methods
Coral Collection and Preservation
On January 2015, fragments of corals Goniastrea edwardsi (n = 25, <3 cm diameter) and Isopora palifera (n = 25, <5 cm long) were collected from the reef flat at Coral Gardens reef adjacent to Heron Island Research Station, Australia (23°26.5248′ S, 151°54.754′ E). For each species five coral fragments were collected from five colonies separated by >3 m, using a hammer and chisel (Figure 1). After collection, the samples were held in seawater and immediately preserved (within the first 2 h). For each colony, samples were preserved using three reagents: two samples were snap frozen in liquid nitrogen and stored at -80°C, two samples were preserved in salt-saturated 20% dimethyl sulfoxide (DMSO) – 0.5 M EDTA and stored at 4°C, and one sample was fixed in 4% PFA solution and stored at 4°C. After 14 h samples fixed in PFA were rinsed and stored in sterile 3x phosphate buffered saline at 4°C. 4% paraformaldehyde solution and 3x phosphate buffered saline were prepared using DNA/RNA-free water on the same day of coral collection. Fragments were shipped to James Cook University, Townsville, QLD, Australia. Until their processing, fragments preserved in PFA and DMSO were stored at 4°C, and snap frozen fragments at -80°C. Coral fragments were collected under permits supplied by the Great Barrier Reef Marine Park Authority (Townsville, QLD, Australia, G15/37488.1).
FIGURE 1

Flow diagram of experimental design. Five fragments were collected per colony; two were preserved in DMSO, two in LN and one in PFA. PFA-preserved fragment was decalcified before DNA extraction. One fragment per each preservation method was homogenized using either bead beading or crushing method. LN, liquid nitrogen; DMSO, salt saturated dimethyl sulfoxide (DMSO) – EDTA; PFA, paraformaldehyde. Photos by Ed Roberts.
Sample Homogenization and Decalcification
For a mixed combination preservation reagent × homogenization method, samples preserved in liquid nitrogen and DMSO were homogenized using two methods, bead beating and crushing (Figure 1). To standardize the sample size, a subsample of 0.173 ( ± 0.04) g of coral, including tissue and skeleton, were used for both methods. Homogenization under liquid nitrogen is necessary to ensure a uniform homogenization across the entire sample, thus colony samples preserved in DMSO were snap frozen before crushing. As such, one sample preserved in liquid nitrogen and one in DMSO (after being snap frozen) were crushed in liquid nitrogen applying up to 40 psi of pressure with a French press, followed by manual homogenization to a fine powder using mortar and pestle on dry ice (Figure 1). The resulting powder was used for subsequent steps in cell lysis and DNA extraction. All instruments were sterilized prior to use with each sample. The resulting homogenate was used in the DNA extraction outlined below (see section “DNA Extraction, Amplification, and Sequencing Protocol”). For homogenization using bead beating, the same amount of coral tissue/skeleton from each sample preserved in DMSO and liquid nitrogen were individually placed into 2 ml tubes with 1.0 mm silica spheres for immediate lysis and DNA extraction. 360 μl of lysis buffer (QIAmp® DNA Mini Extraction kit, Qiagen) and 40 μl of Proteinase K were added to each tube. A FastPrep-24TM 5G (MP) homogenizer was used to run three rounds of 20 s each at 4.0 m/s to homogenize the sample.
Samples preserved in PFA were decalcified before DNA extraction to evaluate the viability of the use of a preservation method that allows both taxonomic profiling and histological evaluation. For each sample preserved in PFA and stored in PBS, the entire coral sample was decalcified with repetitive washes of DNA/RNA-free 20% EDTA at 4°C over a 2-week period. After decalcification of the entire coral sample, 0.04 ( ± 0.004) g of the resulting coral tissue was used from each colony for successive steps in DNA extraction.
DNA Extraction, Amplification, and Sequencing Protocol
Tissue from the decalcified samples and the powder from crushed samples were individually placed in 1.5 ml tubes. 360 μl of lysis buffer (QIAmp® DNA Mini Extraction kit, QIAGEN) and 40 μl of Proteinase K were added to each tube.
Together with homogenized samples from the bead beating method, all samples were incubated overnight at 56°C and posteriorly purified using a silica-membrane-based nucleic acid technique as per the manufacturer’s protocol (QIAmp® DNA Mini Extraction kit, QIAGEN). Extracted DNA concentration and purity were quantified using Qubit Fluorometer and Qubit® dsDNA High-sensitivity Assay Kit (Life Technologies, Thornton, NSW, Australia). Extracted DNA was stored at -20°C before PCR amplification and sequencing. DNA extraction, amplification, and sequencing were performed on negative controls (no sample template) as well.
Genomic template primers 27F/519R (v1–v3 region) and barcode on the forward primer were used in a 30-cycle PCR using HotStarTaq plus master mix kit (QIAGEN, United States) to amplify bacterial 16S rRNA gene amplicons. PCRs were run under following conditions: 94°C for 3 min, followed by 28 cycles of 94°C for 30 s, 53°C for 40 s, and 72°C for 1 min, a final elongation at 72°C for 5 min. Based on molecular weight and DNA concentration, amplicon products from different samples were pooled and purified using calibrated Ampured XP beads. DNA libraries were prepared with purified and pooled samples following the Illumina TruSeq DNA library preparation protocol. Sequencing was performed at MR DNA (Shallowater, TX, United States) on a MiSeq platform following manufacturer’s protocol. 16S rRNA raw sequences are available in the National Center for Biotechnology Information (NCBI) Short Read Archive (SRA) under the Project No. PRJNA432131, Accession Nos. SAMN08442327 to SAMN08442375.
Sequence Analysis
Sequence data were processed using the open-source software Quantitative Insights Into Microbial Ecology (QIIME, version 1.9) (Caporaso et al., 2010). Barcodes, ambiguous base calls, and homopolymer runs exceeding 6 bp were removed from raw sequence data. Only sequences with a minimum quality score of 25 and length 200–1000 bp were used in the analysis (278,089 sequences discarded). Chimeras sequences were removed using Usearch61 (Edgar et al., 2011). Sequences were clustered with cd-hit (Li and Godzik, 2006) at 97% similarity to define operational taxonomic units (OTUs). RDP classifier (Wang et al., 2007) was used against a curated Greengenes database (version 13_8) (DeSantis et al., 2006) to assign taxonomy to OTUs. Chloroplast, mitochondria, unidentified, and unassigned OTUs were removed from resulting OTU tables.
Statistical Analyses
Differences between preservation and homogenization methods were analyzed using PRIMER v7 and PERMANOVA+ (Anderson et al., 2008). The overall performance of each methodology was assessed through the comparison of the number of OTUs, richness (Margalef’s index, d), diversity (Shannon–Wiener, H′), evenness (Pielou’s evenness, J′), taxonomic breadth [Average (Δ+) and Variation (Λ+) of taxonomic distinctness], and bacterial assemblage composition and structure. As part of a comprehensive evaluation of the different preservation and homogenization methods, singletons, and low read OTUs were kept in the data analysis. For the analysis of relative abundance, a fourth root transformation and standardization by sample by total was applied to the OTU table (McMurdie and Holmes, 2014). The OTU table was also converted to presence/absence to evaluate bacterial composition. Differences between methodologies were evaluated with a design considering both Preservation and Homogenization as fixed factors with two levels each (DMSO and liquid nitrogen; and bead beating and crushing, respectively). Individual comparisons between decalcified PFA fixed samples and other samples under preservation-homogenization combinations were assessed with a design considering the combination preservation-homogenization as Treatments, a fixed factor with five levels (DMSO-BB, DMSO-Cr, LN-BB, LN-Cr, and PFA-decalcified).
Differences between preservation and homogenization methods and treatments were identified by permutational multivariate analysis of variance (PERMANOVA) on Euclidian distances (diversity metrics), Bray–Curtis (BC) and Sorensen dissimilarity matrices (relative abundance and presence/absence data, respectively). PERMANOVA analyses were run under the following parameters: type III (partial) sums of squares, fixed effects sum to zero for mixed terms, number of permutations 9,999 and as permutation method, permutation of residuals under a reduced model for the assessment of differences between preservation and homogenization methods, and unrestricted permutation of raw data for analysis of differences between treatments. Adjusted Bonferroni p-value was used to determine significant differences between PFA fixed samples and other samples under preservation-homogenization combinations. Coral species data were analyzed separately since differences between them were detected (Supplementary Figure 1 and Supplementary Tables 3, 4). Two-dimensional non-metric dimensional scaling (nMDS) plots (Clarke, 1993) are presented to illustrate PERMANOVA results.
The OTUs present across samples of a treatment (core 100% per treatment) were determined using the command compute_core_microbiome.py in QIIME. Venn diagrams were generated using the Venn diagram software (Bioinformatics and Evolutionary Genomics1). Graphs were produced using ‘ggplot2’ package in R Core Team (2013) and Wickham (2016).
Results
Number of Sequences, Operational Taxonomic Units (OTUs), and Diversity Metrics
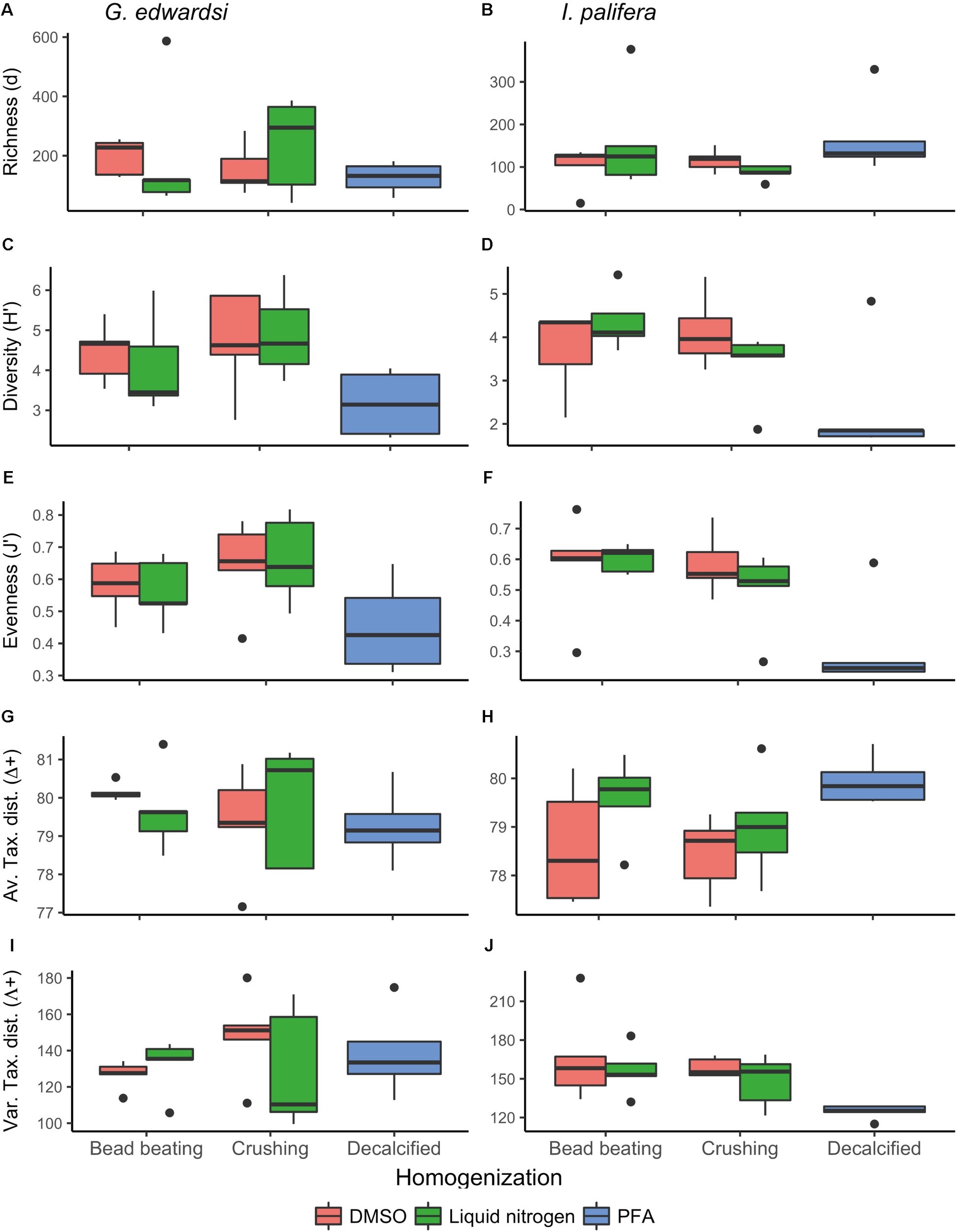
The number of sequences and the number of OTUs generated was highly variable within all the replicates and between the treatments (Table 1), and negative controls did not amplify and did not generate sequences. For the G. edwardsi microbiome, on average all of the preservation methods resulted in between 42 and 47 thousand sequences, notably the combination of DMSO-crushing resulted in on average only 22 thousand sequences (Table 1). On average, the number of OTUs generated was between 1,350 and 2,527. Notably, the PFA-decalcification method retrieved comparable results to the other methods for both the number of sequences and the number of generated OTUs. Richness (d), diversity (H′), and evenness (J′) of the G. edwardsi microbiome were similar for the combination preservation (DMSO and liquid nitrogen) and homogenization method (bead beating and crushing) (Figures 2A,C,E). Microbial assemblages from PFA-preserved G. edwardsi showed similar richness, but lower diversity and evenness. Taxonomic breadth expressed as average and variation of taxonomic distinctness (Δ+ and Λ+, respectively), were comparable among all preservation and homogenization methods; however, it was more variable for the treatment liquid nitrogen-crushing (Figures 2G,I). As such, there was no significant difference detected between preservation or homogenization methods in the diversity metrics evaluated in the G. edwardsi microbiome (Supplementary Table 1).
Table 1
| Coral species | Method | N. samples | N. sequences (total) | N. sequences (av. by samples) | N. OTUs (total) | N. OTUs (av. by samples) | |
|---|---|---|---|---|---|---|---|
| Preservation | Homogenization | ||||||
| G. edwardsi | DMSO | Bead beating | 5 | 235,005 | 47,001 | 9,522 | 2,134 |
| DMSO | Crushing | 5 | 110,634 | 22,127 | 6,823 | 1,530 | |
| Liquid nitrogen | Bead beating | 5 | 212,459 | 42,492 | 9,658 | 2,117 | |
| Liquid nitrogen | Crushing | 5 | 211,469 | 42,294 | 10,790 | 2,527 | |
| PFA | Decalcified | 4 | 190,768 | 47,692 | 4,824 | 1,350 | |
| I. palifera | DMSO | Bead beating | 5 | 186,429 | 37,286 | 4,612 | 1,071 |
| DMSO | Crushing | 5 | 140,986 | 28,197 | 4,979 | 1,182 | |
| Liquid nitrogen | Bead beating | 5 | 211,050 | 42,210 | 7,787 | 1,740 | |
| Liquid nitrogen | Crushing | 5 | 146,383 | 29,277 | 3,647 | 890 | |
| PFA | Decalcified | 5 | 476,036 | 95,207 | 7,769 | 1,936 | |
Number of sequences and OTUs per treatment.
Counts are estimated on raw data after filtering out chloroplast, mitochondria, unidentified, and unassigned OTUs.
FIGURE 2

Diversity metrics for Goniastrea edwardsi(A,C,E,G,I) and Isopora palifera(B,D,F,H,J) microbiome. No significant differences were detected in the diversity metrics of G. edwardsi microbiome (Supplementary Table 1). I. palifera microbiome showed differences between fragments preserved with PFA and DMSOCr in evenness, average, and variation of taxonomic distinctness, and LNBB in evenness and variation of taxonomic distinctness (PERMANOVA, Supplementary Table 2). Richness (d): Margalef’s index, Diversity (H′): Shannon diversity, Evenness (J′): Pielou’s evenness, Av. Tax. dist. (Δ+): Average of taxonomic distinctness, Var. Tax. dist. (Λ+): Variation of taxonomic distinctness. Boxplots are based on raw data after excluding chloroplast, mitochondria, unidentified, and unassigned OTUs.
In I. palifera, on average the lowest number of sequences were retrieved from the crushing protocol (28–29 thousand of sequences), followed by for both preservation methods when bead beading (37–42 thousand of sequences), and PFA with the highest value, doubling and tripling the value observed with other methods (95 thousand of sequences, Table 1). All preservation and homogenization methods retrieved similar richness (Figure 2B and Supplementary Table 2). Microbial assemblages from PFA-preserved I. palifera showed lower diversity and evenness, although significant differences were only detected in evenness between DMSO-crushing and LN-bead beating, and PFA (Figures 2D,F and Supplementary Table 2). DMSO-preserved individuals presented a lower average of taxonomic distinctness (Δ+) than in liquid nitrogen-preserved and PFA-preserved individuals (Figure 2H). PFA-decalcified individuals showed a lower variation of taxonomic distinctness (Λ+) than all the other combinations of preservation and homogenization methods (Figure 2J). However, significant differences were only detected in the average of taxonomic distinctness (Δ+) between DMSO-crushing and PFA, and in the variation of taxonomic distinctness (Λ+) between DMSO-bead beating, DMSO-crushing and LN-bead beating, and PFA.
Community Composition and Structure
An analysis of the community structure indicated differences in composition and structure between both coral species (Supplementary Figure 1 and Supplementary Tables 3, 4). Exploring the coral species separately, we found there were no significant differences for either composition or structure of the community retrieved from preservation with DMSO and liquid nitrogen and homogenization using bead beating and crushing methods. In the massive coral G. edwardsi bacterial community only 7% of the variation resulted from preservation methods (Figure 3A and Supplementary Figure 2A, Supplementary Tables 5, 6). We also found there were no evident differences between PFA-decalcification bacterial community composition and structure and the community structure of other methods (Supplementary Tables 7, 8). Similarly, for I. palifera, no differences were detected between DMSO and liquid nitrogen preservation and bead beating and crushing homogenization. 13 and 9% of variation were assigned to preservation and homogenization methods, respectively (Figure 3B, Supplementary Figure 2B, and Supplementary Tables 9, 10). Contrary to the observed in G. edwardsi, bacterial community composition and structure of PFA-decalcified individuals in I. palifera were different to the community in individuals preserved with DMSO, regardless the homogenization method (DMSO – Bead beating and crushing in Figure 3B and Supplementary Figure 2B, Supplementary Tables 11, 12).
FIGURE 3

nMDS ordination of bacterial assemblages’ relative abundance in G. edwardsi(A) and I. palifera(B). Bacterial communities are similar regardless of the preservation and homogenization method used in G. edwardsi bacterial assemblages (A). I. palifera(B) bacterial assemblages treated with PFA-decalcified differ from the other methods. nMDS based on Bray–Curtis dissimilarity of relative abundance data (fourth root transformed). Colonies indicated with numbers. For presence/absence equivalent results see Supplementary Figure 2 and Supplementary Tables 6, 8, 10, 12.
Rare, Common, and Core Microbiome
We found that bacterial phylotypes with high occurrence and high abundance were captured by all the preparation protocols used in the current study (black dots in Figure 4). Interestingly in each methodology, a specific group of bacteria only occurred in between one to three individuals and in low abundance (bright colored dots in Figure 4). Differences between the preservation and homogenization methods occured in a fraction of the community that is rare, e.g., bacteria showing low abundance and low occurrence.
FIGURE 4

Common/shared and specific phylotypes in bacterial assemblages sampled by different preservation and homogenization methods in G. edwardsi(A,C,E,G,I) and I. palifera(B,D,F,H,J). Graphs of the average relative abundance vs. percentage of occurrence across methodologies revealed that specific bacterial phylotypes for each method are rare, low occurrence and low abundance (red, green, and blue dots across figures). Phylotypes with high occurrence and dominance, are common/shared OTUs across methodologies (gray and black dots). Red, green, and blue dots: OTUs present uniquely in the assemblage sampled by the referred combination method; gray dots: OTUs present in between 2 and 4 of the methods used; black dots: OTUs present in all the methods used. Left side: G. edwardsi, right side: I. palifera. Green: liquid nitrogen, red: DMSO, blue: PFA. LN, liquid nitrogen; BB, bead beating; Cr, crushing.
Dissecting the number of OTUs by their percentage of occurrence demonstrated similar performance between the methods assessed (Supplementary Figures 3, 4 and Supplementary Table 13). Across the methodologies, singletons represented 60% of the total of phylotypes, and while increasing the occurrence, the number of OTUs decrease within the same order of magnitude. Each methodology captured different bacterial communities (Figure 5); in the sense that phylotypes showing high occurrence (core 100%) and abundance (dominant OTUs based on the cut-off, and top 10 dominant phylotypes) differed between methodologies (Supplementary Tables 14, 15). However, some taxa were consistently detected in all the methodologies with the same dominance or occurrence. For example, for both G. edwardsi and I. palifera core 100%, OTUs from the family Endozoicimonaceae (except DSMO-BB in I. palifera) and genera, Diaphorobacter and Propionibacterium were detected in all the methodologies employed. OTUs from the Order Kiloniellales, Families Aerococcaceae, Endozoicimonaceae, Flammeovirgaceae, Phyllobacteriaceae, Rhodobacteraceae, and genera Corynebacterium, Diaphorobacter, SGUS912, Propionibacterium, and Pseudomonas were dominant across methodologies for G. edwardsi bacterial community. In I. palifera, OTUs from the Family Aerococcaceae were consistently found as dominant in the bacterial community (Supplementary Tables 14, 15).
FIGURE 5

Venn diagrams for the whole bacterial community, core 100%, dominant phylotypes and top 10 dominant phylotypes. Venn diagrams reflect that approximately 39 and 45% of OTUs of the whole bacterial assemblages in G. edwardsi and I. palifera are shared among methodologies. However, shared bacterial phylotypes are not consistently present as core microbiome, dominant or among the top 10 dominant OTUs across methodologies. Conversely, the ‘importance’ of bacterial phylotype, expressed as occurrence or relative abundance, varies among preservation and homogenization methods (Supplementary Figures 3, 4 and Supplementary Table 13). For OTUs taxonomic identification in core 100%, dominant phylotypes and top 10 dominant phylotypes see Supplementary Tables 14, 15.
Taxonomic Composition and Structure
The taxonomic composition and structure were similar across methodologies for both species (Figure 6 and Supplementary Tables 1, 2); however, for I. palifera some of the classes were overrepresented. Consistently high numbers of bacterial phylotypes belonging to classes Alphaproteobacteria, Cytophagia, Flavobacteriia, and Gammaproteobacteria, were evident in G. edwardsi. However, small differences occurred in low occurrence classes as Actinobacteria, Sphingobacteriia, and Synechococcophycideae. For I. palifera, bacterial classes with the higher number of OTUs were less evident across methodologies. For colonies preserved in DMSO, classes with the higher number of bacterial phylotypes were Gammaproteobacteria and Bacilli, but differences were raised between homogenization methods for classes Alpha-, Beta-proteobacteria, and Actinobacteria. High similarity was evident between liquid nitrogen-crushing, and PFA treated colonies, where Gammaproteobacteria and Alphaproteobacteria were the groups with the higher number of OTUs, whereas LN-BB had an overall distinct taxonomic representation with Clostridia as the class with the higher percentage in composition. As expected, variability between colonies was evident. However, representation of taxonomic composition per colony was similar across methodologies (Top Supplementary Figure 5).
FIGURE 6

Bacterial assemblage composition (top) and structure (bottom) among preservation and homogenization methods in G. edwardsi (left) and I. palifera (right). The taxonomic composition is consistent among methodologies for G. edwardsi (top left); however, the taxonomic structure is distorted when evaluated using relative abundance (bottom left). For I. palifera, the taxonomic composition is not consistent across methodologies, with major discrepancies in classes Gammaproteobacteria, Clostridia, Betaproteobacteria, Bacilli, Alphaproteobacteria, and Actinobacteria (top right). Discrepancies are enhanced when relative abundance is considered (bottom right). For results by colony see Supplementary Figure 5. Major taxonomic classes are presented in the legend, for complete legend see Supplementary Figure 6.
The taxonomic structure observed in G. edwardsi was less evident in most of the treatments when evaluating relative abundance of the same classes (Figure 6 and Supplementary Figure 5 bottom), and differences between methods observed in I. palifera were enhanced. In relative abundance, the dominance of the classes Alphaproteobacteria, Cytophagia, and Gammaproteobacteria were still evident in G. edwardsi individuals homogenized using bead beating, regardless of the preserving method. Increases in the dominance of Bacilli and Cytophagia were evident when homogenizing with the crushing method, regardless of the preserving method. Alphaproteobacteria, Bacilli, and Cytophagia dominated PFA taxonomic structure; the representation of Gammaproteobacteria was smaller. For I. palifera, dominant groups in taxonomic composition had the higher percentages of relative abundance. Alpha-, Betaproteobacteria, Bacilli, and Clostridia dominated DMSO-BB, DMSO-Cr, and LN-BB, however, Gammaproteobacteria still appeared as the second most dominant class. LN-Cr and PFA showed a similar community but were very different from the other methodologies, with the dominance of Gammaproteobacteria, and other groups with lower relative abundance. The contrast between the taxonomic structure and the relative abundance evidenced incongruences observed when comparing 10% and the 10 top most abundant OTUs between different methodologies (Figure 5).
Discussion
Here, we show that sample preservation and processing methodologies generate coral microbiome databases similar in composition, but with structural discrepancies. We find that there is substantial variability in the microbiome between colonies, regardless of the preparation method utilized and this within individual variability is greater than variability resulting from the preparation method employed. No statistical differences are detected in the diversity metrics or community composition and structure of the G. edwardsi microbiome. I. palifera microbiome is similar and comparable in richness but showed differences in diversity, evenness and taxonomic breadth. Similarly, across methodologies, the same taxonomic classes were retrieved, and there are groups of high occurrences and dominant phylotypes consistently detected. However, there are some evident differences in the percentages of representation of the phylotypes across methodologies. Rare – low abundance bacterial phylotypes represent a high percentage of the assemblage and are specific per preservation-homogenization method. As a result, groups of phylotypes identified as rare – low abundance, dominant and with high occurrence vary between methodologies. Taken together these results indicate that each methodology is sensitive to specific groups of bacteria. Variations in relative abundance and occurrence of shared bacterial phylotypes across methods indicate that both parameters should be considered in conjunction where studies aim to determine the complexity of bacterial communities and to select core phylotypes of interest (i.e., ubiquitous bacterial phylotypes).
If the objective is to evaluate the microbiome composition, the two most widely utilized preservation protocols, DMSO, and liquid nitrogen, coupled with homogenization through either bead beating and crushing methods are directly comparable. The microbiome dataset generated through PFA preservation methods is similar to that of other methods depending on the coral growth form or species. We show that preservation with PFA is directly comparable with the other preservation-homogenization methods for G. edwardsi bacterial assemblages. For example, in G. edwardsi PFA fixation generates a bacterial assemblage with attributes similar to the assemblages retrieved from other methodologies. The number of sequences and OTUs are in the same order of magnitude, diversity metrics are similar, and the community structure is comparable. For I. palifera bacterial assemblages, PFA treated colonies are comparable to those preserved with liquid nitrogen. However, bacterial assemblage retrieved from individuals of I. palifera preserved with PFA is different from that of those preserved in DMSO. Diversity, and evenness are in fact lower in PFA preserved samples than the other methodologies. Also, the community structure of PFA preserved individuals seems to be more similar across the coral colonies, with less variation between individuals. In I. palifera, we also show that the taxonomic structure of individuals preserved with PFA is similar to those preserved in liquid nitrogen and crushed, and PFA shows similar results in relative abundance vs. percentage of occurrence. Thus, bacterial phylotypes with high occurrence and abundance (see top 10 dominant phylotypes, Supplementary Table 15C) are also present in PFA detected bacterial assemblage, and as observed in assemblages treated with other methods, OTUs specific for this method of preservation are present as rare members of the assemblage.
Selecting preservation and homogenization methodology can be influenced by the logistics of the sampling effort without greatly impacting the composition of the microbiome dataset generated. The methods explored in the current study present diverse advantages regarding safety, practicality, reproducibility, and risk of cross-contamination that must be considered when selecting preservation and homogenization methods (Nagy, 2010). For example, DMSO requires handling of dangerous chemicals and training in the preparation of the reagents, which can be a limiting factor for monitoring programs using sampling protocols conducted in association with volunteer groups, but it is a stable preservative in the long term, and no refilling or handling is required after sample collection. Preservation with DMSO can be done in the field at room temperature, and once in the final destination, samples can be stored at -20°C to avoid DMSO evaporation. Therefore, sample refrigeration is not necessary for the short-term when preserving with DMSO. Preservation in PFA is a similarly fast and easy method in the field but requires further handling after sample collection for storage of the sample in phosphate buffered saline (non-hazardous) to avoid over-fixation of the sample. PFA is also hazardous, and handling requires training and safety equipment, with similar limitation for untrained personnel. The advantage of PFA over the other methods is that it is ideal to preserve tissue structure and allows a more detailed assessment of the health and condition of the samples collected, allowing for histological analysis to be conducted, and the identification of bacteria niches through FISH (e.g., Bythell et al., 2002; Ainsworth et al., 2006, 2015; Apprill et al., 2009, 2012). Liquid nitrogen, however, is currently the most common method of preservation for analysis of both DNA and RNA. However, access to liquid nitrogen and -80°C freezers are limited in remote areas, and the transport of liquid nitrogen is prohibited in planes and boats. Preservation with liquid nitrogen also presents a disadvantage for the shipment of samples in specialist dewars, which is time sensitive and expensive (Nagy, 2010). Logistical considerations such as these are likely to impact the preferred method of preservation for any given study of the microbiome in coral and other marine organism samples.
In selecting appropriate methodologies for generating microbiome datasets, it is essential to consider that there are steps in the DNA extraction process that can potentially produce cross-contamination and the homogenization protocol used is one critical consideration. In this study, negative controls (no template) were used in the DNA extraction, amplification, and sequencing, under the same conditions as other samples. These controls did not produce sequences; herein it is not possible to estimate which method is more susceptible to cross-contamination. However, based on the characteristics of the methodologies, we argue that the bead beating is less susceptible. Bead beating is highly reproducible and practical as the homogenization is carried out by a programmed machine and 24 samples can be homogenized at a time. Therefore, the risk of cross-contamination between samples is low because there is little overlap in the handling of the samples (Lear et al., 2018). Crushing samples with a French press or mortar/pestle is a widely employed homogenization method in the study of the coral holobiont microbiome (Ng et al., 2015; Samodha et al., 2015; Shore-Maggio et al., 2015; Zhang et al., 2015). However, reproducibility is questionable since the homogenization with mortar and pestle is manual, variable between samples and the number of samples to homogenize is dependent on the capacity to clean and sterilize the instruments and keep them frozen during the process to prevent the sample becoming mucus bound at room temperature. As such, the risk of cross-contamination is high, because the material is in contact with laboratory instruments and open to the environment while homogenization with mortar and pestle is carried out. Thus, we recommend that future studies apply a bead beating approach to sample preparation rather than sample crushing. Further, genera Propionibacterium, Corynebacterium, Staphylococcus, and Pseudomonas were found as members of core microbiome or as dominant phylotypes. These genera have been detected as contaminants from reagents and the laboratory environment (Salter et al., 2014). The lack of results in negative controls, and previous evidence of other genus identified as contaminants (Ralstonia, Salter et al., 2014) within coral and zooxanthellae cells (Ainsworth et al., 2015), suggest that the relevance of these genera (as contaminants or consistent member of the community) should be tested in corals.
Conclusion
Our results indicate that comparisons of 16S rRNA databases across different preservation and homogenization methods should be restricted to overall microbiome composition. Important variations were observed in criteria based on the occurrence and relative abundance of phylotypes, herein comparisons relying in these attributes should be avoided across different preservation and preparation methodologies. Regardless of the methodology employed, the variability among coral colonies, as shown in the current study, raises the importance of adequate colony replication (Gray et al., 2013 and this study). Our results demonstrate the importance of replication when assessing the relative abundance and persistence of dominant or key bacteria. As has been explored in the literature 16S rRNA amplicon sequencing has, as any sampling method, caveats, and bias (Hamady and Knight, 2009), and focusing on one attribute of the community limits the overall picture of the bacterial community. The literature offers many alternatives that vary in the degree of importance to the abundance and occurrence of bacterial phylotypes; e.g., Abundance-Ubiquity test (Hester et al., 2015), core microbiome (Ainsworth et al., 2015; Hernandez-Agreda et al., 2017) and indicator species (De Cáceres and Legendre, 2009). If the purpose of the study is to identify key bacterial species, the use of 16S rRNA amplicon and the exploration of relative abundance as well as the occurrence of individual bacteria will contribute to select small groups of bacterial phylotypes over which hypotheses can be raised (e.g., out of 100,000s bacterial phylotypes, select a group 20–100 bacterial OTUs for further exploration). The determination of the importance of those bacteria and the characteristics of the potential symbiosis with the host will depend on further analysis of the niche occupation, metabolic, and physiological characteristics and the determination of a real symbiosis.
Statements
Author contributions
AH-A, WL, and TA: conceptual approach, design and manuscript writing. AH-A: collection, identification of coral individuals, data analysis, and interpretation.
Funding
This work was made possible by financial support from the Australian Research Council Centre of Excellence for Coral Reef Studies, the Australian Research Council Discovery Program, and the Higher Degree Research Enhancement Scheme (JCU-ARC CoECRS). AH-A was also supported by Australia Awards Scholarships (AusAID).
Acknowledgments
We are grateful to Jordan M. Casey and the staff of Heron Island Research Station for field assistance, Paul Muir for support on coral identification and Marie Voisine and Christine Bligh for assistance in the laboratory. We also thank Cesar Herrera for field support and comments on data analysis and Katie Sambrook for editorial assistance.
Conflict of interest
The authors declare that the research was conducted in the absence of any commercial or financial relationships that could be construed as a potential conflict of interest.
Supplementary material
The Supplementary Material for this article can be found online at: https://www.frontiersin.org/articles/10.3389/fmicb.2018.02146/full#supplementary-material
References
1
AdamB.KlawonnI.SvedenJ. B.BergkvistJ.NaharN.WalveJ.et al (2016). N2-fixation, ammonium release and N-transfer to the microbial and classical food web within a plankton community.ISME J.10450–459. 10.1038/ismej.2015.126
2
AinsworthT. D.FineM.BlackallL. L.Hoegh-GuldbergO. (2006). Fluorescence in situ hybridization and spectral imaging of coral-associated bacterial communities.Appl. Environ. Microbiol.723016–3020. 10.1128/AEM.72.4.3016-3020.2006
3
AinsworthT. D.GatesR. D. (2016). Corals’ microbial sentinels.Science3521518–1519. 10.1126/science.aad9957
4
AinsworthT. D.HeronS. F.OrtizJ. C.MumbyP. J.GrechA.OgawaD.et al (2016). Climate change disables coral bleaching protection on the Great Barrier Reef.Science352338–342. 10.1126/science.aac7125
5
AinsworthT. D.KrauseL.BridgeT.TordaG.RainaJ. B.ZakrzewskiM.et al (2015). The coral core microbiome identifies rare bacterial taxa as ubiquitous endosymbionts.ISME J.92261–2274. 10.1038/ismej.2015.39
6
AndersonM.GorleyR. N.ClarkeR. K. (2008). Permanova+ for Primer: Guide to Software and Statistical Methods.Plymouth: Primer-E Limited.
7
ApprillA.MarlowH. Q.MartindaleM. Q.RappeM. S. (2009). The onset of microbial associations in the coral Pocillopora meandrina.ISME J.3685–699. 10.1038/ismej.2009.3
8
ApprillA.MarlowH. Q.MartindaleM. Q.RappeM. S. (2012). Specificity of associations between bacteria and the coral Pocillopora meandrina during early development.Appl. Environ. Microbiol.787467–7475. 10.1128/AEM.01232-12
9
BourneD. G.MorrowK. M.WebsterN. S. (2016). Insights into the coral microbiome: underpinning the health and resilience of reef ecosystems.Annu. Rev. Microbiol.70317–340. 10.1146/annurev-micro-102215-095440
10
BruderL. M.DorkesM.FuchsB. M.LudwigW.LieblW. (2016). Flow cytometric sorting of fecal bacteria after in situ hybridization with polynucleotide probes.Syst. Appl. Microbiol.39464–475. 10.1016/j.syapm.2016.08.005
11
BythellJ. C.BarerM. R.CooneyR. P.GuestJ. R.O’donnellA. G.PantosO.et al (2002). Histopathological methods for the investigation of microbial communities associated with disease lesions in reef corals.Lett. Appl. Microbiol.34359–364. 10.1046/j.1472-765X.2002.01097.x
12
CaporasoJ. G.KuczynskiJ.StombaughJ.BittingerK.BushmanF. D.CostelloE. K.et al (2010). QIIME allows analysis of high-throughput community sequencing data.Nat. Methods7335–336. 10.1038/nmeth.f.303
13
ClarkeK. R. (1993). Non-parametric multivariate analyses of changes in community structure.Austral Ecol.18117–143. 10.1111/j.1442-9993.1993.tb00438.x
14
R Core Team (2013). R v. 3.0. 2: A Language and Environment for Statistical Computing.Vienna: R Foundation for Statistical Computing.
15
D’AmoreR.IjazU. Z.SchirmerM.KennyJ. G.GregoryR.DarbyA. C.et al (2016). A comprehensive benchmarking study of protocols and sequencing platforms for 16S rRNA community profiling.BMC Genomics17:55. 10.1186/s12864-015-2194-9
16
DawsonM. N.RaskoffK. A.JacobsD. K. (1998). Field preservation of marine invertebrate tissue for DNA analyses.Mol. Mar. Biol. Biotechnol.7145–152.
17
De CáceresM.LegendreP. (2009). Associations between species and groups of sites: indices and statistical inference.Ecology903566–3574. 10.1890/08-1823.1
18
DeSantisT. Z.HugenholtzP.LarsenN.RojasM.BrodieE. L.KellerK.et al (2006). Greengenes, a chimera-checked 16S rRNA gene database and workbench compatible with ARB.Appl. Environ. Microbiol.725069–5072. 10.1128/AEM.03006-05
19
DinsdaleE. A.PantosO.SmrigaS.EdwardsR. A.AnglyF.WegleyL.et al (2008). Microbial ecology of four coral atolls in the Northern Line Islands.PLoS One3:e1584. 10.1371/journal.pone.0001584
20
EdgarR. C.HaasB. J.ClementeJ. C.QuinceC.KnightR. (2011). UCHIME improves sensitivity and speed of chimera detection.Bioinformatics272194–2200. 10.1093/bioinformatics/btr381
21
ElbrechtV.LeeseF. (2015). Can DNA-based ecosystem assessments quantify species abundance? Testing primer bias and biomass—sequence relationships with an innovative metabarcoding protocol.PLoS One10:e0130324. 10.1371/journal.pone.0130324
22
FouhyF.DeaneJ.ReaM. C.O’sullivanÓRossR. P.O’callaghanG.et al (2015). The effects of freezing on faecal microbiota as determined using MiSeq sequencing and culture-based investigations.PLoS One10:e0119355. 10.1371/journal.pone.0119355
23
GhyselinckJ.PfeifferS.HeylenK.SessitschA.De VosP. (2013). The effect of primer choice and short read sequences on the outcome of 16S rRNA gene based diversity studies.PLoS One8:e71360. 10.1371/journal.pone.0071360
24
GrayM. A.PratteZ. A.KelloggC. A. (2013). Comparison of DNA preservation methods for environmental bacterial community samples.FEMS Microbiol. Ecol.83468–477. 10.1111/1574-6941.12008
25
Guerrero-FeijóoE.SintesE.HerndlG. J.VarelaM. M. (2017). High dark inorganic carbon fixation rates by specific microbial groups in the Atlantic off the Galician coast (NW Iberian margin).Environ. Microbiol.20602–611. 10.1111/1462-2920.13984
26
HamadyM.KnightR. (2009). Microbial community profiling for human microbiome projects: tools, techniques, and challenges.Genome Res.191141–1152. 10.1101/gr.085464.108
27
Hernandez-AgredaA.GatesR. D.AinsworthT. D. (2017). Defining the core microbiome in corals’ microbial soup.Trends Microbiol.25125–140. 10.1016/j.tim.2016.11.003
28
HesterE. R.BarottK. L.NultonJ.VermeijM. J. A.RohwerF. L. (2015). Stable and sporadic symbiotic communities of coral and algal holobionts.ISME J.101157–1169. 10.1038/ismej.2015.190
29
LearG.DickieI.BanksJ.BoyerS.BuckleyH. L.BuckleyT. R.et al (2018). Methods for the extraction, storage, amplification and sequencing of DNA from environmental samples.N. Z. J. Ecol.4210A–50A. 10.20417/nzjecol.42.9
30
LiW.GodzikA. (2006). Cd-hit: a fast program for clustering and comparing large sets of protein or nucleotide sequences.Bioinformatics221658–1659. 10.1093/bioinformatics/btl158
31
LundbergD. S.LebeisS. L.ParedesS. H.YourstoneS.GehringJ.MalfattiS.et al (2012). Defining the core Arabidopsis thaliana root microbiome.Nature48886–90. 10.1038/nature11237
32
McMurdieP. J.HolmesS. (2014). Waste not, want not: why rarefying microbiome data is inadmissible.PLoS Comput. Biol.10:e1003531. 10.1371/journal.pcbi.1003531
33
MillerA. W.RichardsonL. L. (2011). A meta-analysis of 16S rRNA gene clone libraries from the polymicrobial black band disease of corals.FEMS Microbiol. Ecol.75231–241. 10.1111/j.1574-6941.2010.00991.x
34
MouchkaM. E.HewsonI.HarvellC. D. (2010). Coral-associated bacterial assemblages: current knowledge and the potential for climate-driven impacts.Integr. Comp. Biol.50662–674. 10.1093/icb/icq061
35
NagyZ. T. (2010). A hands-on overview of tissue preservation methods for molecular genetic analyses.Org Divers. Evol.1091–105. 10.1007/s13127-010-0012-4
36
NeaveM. J.RachmawatiR.XunL.MichellC. T.BourneD. G.ApprillA.et al (2017). Differential specificity between closely related corals and abundant Endozoicomonas endosymbionts across global scales.ISME J.11186–200. 10.1038/ismej.2016.95
37
NgJ. C. Y.ChanY.TunH. M.LeungF. C. C.ShinP. K. S.ChiuJ. M. Y. (2015). Pyrosequencing of the bacteria associated with Platygyra camosus corals with skeletal growth anomalies reveals differences in bacterial community composition in apparently healthy and diseased tissues.Front. Microbiol.6:1142. 10.3389/fmicb.2015.01142
38
PintoA. J.RaskinL. (2012). PCR biases distort bacterial and archaeal community structure in pyrosequencing datasets.PLoS One7:e43093. 10.1371/journal.pone.0043093
39
RainaJ. B.TapiolasD. M.ForêtS.LutzA.AbregoD.CehJ.et al (2013). DMSP biosynthesis by an animal and its role in coral thermal stress response.Nature502677–680. 10.1038/nature12677
40
RajendhranJ.GunasekaranP. (2011). Microbial phylogeny and diversity: small subunit ribosomal RNA sequence analysis and beyond.Microbiol. Res.16699–110. 10.1016/j.micres.2010.02.003
41
RochaJ.CoelhoF. J.PeixeL.GomesN. C. M.CaladoR. (2014). Optimization of preservation and processing of sea anemones for microbial community analysis using molecular tools.Sci. Rep.4:6986. 10.1038/srep06986
42
SalterS. J.CoxM. J.TurekE. M.CalusS. T.CooksonW. O.MoffattM. F.et al (2014). Reagent and laboratory contamination can critically impact sequence-based microbiome analyses.BMC Biol.12:87. 10.1186/s12915-014-0087-z
43
SamodhaF.WangJ.SparlingK.GarciaG. D.FranciniR. B.De MouraR. L.et al (2015). Microbiota of the major south Atlantic reef building coral Mussismilia.Microb. Ecol.69267–280. 10.1007/s00248-014-0474-6
44
SeutinG.WhiteB. N.BoagP. T. (1991). Preservation of avian blood and tissue samples for DNA analyses.Can. J. Zool.6982–90. 10.1139/z91-013
45
ShokrallaS.SpallJ. L.GibsonJ. F.HajibabaeiM. (2012). Next-generation sequencing technologies for environmental DNA research.Mol. Ecol.211794–1805. 10.1111/j.1365-294X.2012.05538.x
46
Shore-MaggioA.RunyonC. M.UshijimaB.AebyG. S.CallahanS. M. (2015). Differences in bacterial community structure in two color morphs of the Hawaiian reef coral Montipora capitata.Appl. Environ. Microbiol.817312–7318. 10.1128/AEM.01935-15
47
SoergelD. A.DeyN.KnightR.BrennerS. E. (2012). Selection of primers for optimal taxonomic classification of environmental 16S rRNA gene sequences.ISME J.61440–1444. 10.1038/ismej.2011.208
48
TangS. L.HongM. J.LiaoM. H.JaneW. N.ChiangP. W.ChenC. B.et al (2011). Bacteria associated with an encrusting sponge (Terpios hoshinota) and the corals partially covered by the sponge.Environ. Microbiol.131179–1191. 10.1111/j.1462-2920.2010.02418.x
49
ThompsonL. R.SandersJ. G.McdonaldD.AmirA.LadauJ.LoceyK. J.et al (2017). A communal catalogue reveals Earth’s multiscale microbial diversity.Nature551457–463.
50
van de WaterJ.AinsworthT. D.LeggatW.BourneD. G.WillisB. L.Van OppenM. J. H. (2015). The coral immune response facilitates protection against microbes during tissue regeneration.Mol. Ecol.243390–3404. 10.1111/mec.13257
51
VandeputteD.TitoR. Y.VanleeuwenR.FalonyG.RaesJ. (2017). Practical considerations for large-scale gut microbiome studies.FEMS Microbiol. Rev.41S154–S167. 10.1093/femsre/fux027
52
VlčkováK.MrázekJ.KopečnýJ.PetrželkováK. J. (2012). Evaluation of different storage methods to characterize the fecal bacterial communities of captive western lowland gorillas (Gorilla gorilla gorilla).J. Microbiol. Methods9145–51. 10.1016/j.mimet.2012.07.015
53
WangQ.GarrityG. M.TiedjeJ. M.ColeJ. R. (2007). Naive bayesian classifier for rapid assignment of rRNA sequences into the new bacterial taxonomy.Appl. Environ. Microbiol.735261–5267. 10.1128/AEM.00062-07
54
WeberL.DeforceE.ApprillA. (2017). Optimization of DNA extraction for advancing coral microbiota investigations.Microbiome5:18. 10.1186/s40168-017-0229-y
55
WickhamH. (2016). ggplot2: Elegant Graphics for Data Analysis.New York, NY: Springer. 10.1007/978-3-319-24277-4
56
ZhangY. Y.LingJ.YangQ. S.WenC. Q.YanQ. Y.SunH. Y.et al (2015). The functional gene composition and metabolic potential of coral-associated microbial communities.Sci. Rep.51–11. 10.1038/srep16191
Summary
Keywords
coral microbiome, bacteria, microbial ecology, DESS, paraformaldehyde, snap frozen, bead beating, crushing
Citation
Hernandez-Agreda A, Leggat W and Ainsworth TD (2018) A Comparative Analysis of Microbial DNA Preparation Methods for Use With Massive and Branching Coral Growth Forms. Front. Microbiol. 9:2146. doi: 10.3389/fmicb.2018.02146
Received
01 February 2018
Accepted
21 August 2018
Published
07 September 2018
Volume
9 - 2018
Edited by
Iliana B. Baums, Pennsylvania State University, United States
Reviewed by
Raquel Peixoto, Universidade Federal do Rio de Janeiro, Brazil; Kathleen M. Morrow, George Mason University, United States
Updates
Copyright
© 2018 Hernandez-Agreda, Leggat and Ainsworth.
This is an open-access article distributed under the terms of the Creative Commons Attribution License (CC BY). The use, distribution or reproduction in other forums is permitted, provided the original author(s) and the copyright owner(s) are credited and that the original publication in this journal is cited, in accordance with accepted academic practice. No use, distribution or reproduction is permitted which does not comply with these terms.
*Correspondence: Alejandra Hernandez-Agreda, alejandra.hernandezagreda@my.jcu.edu.au
†Present address: Alejandra Hernandez-Agreda, California Academy of Sciences, San Francisco, CA, United States
This article was submitted to Microbial Symbioses, a section of the journal Frontiers in Microbiology
Disclaimer
All claims expressed in this article are solely those of the authors and do not necessarily represent those of their affiliated organizations, or those of the publisher, the editors and the reviewers. Any product that may be evaluated in this article or claim that may be made by its manufacturer is not guaranteed or endorsed by the publisher.