- 1Department of Physics, Washington University, St. Louis, MO, United States
- 2Byurakan Astrophysical Observatory, Byurakan, Armenia
- 3Institute of Physics, Yerevan State University, Yerevan, Armenia
- 4Frankfurt Institute for Advanced Studies, Frankfurt am Main, Germany
- 5Institute of Theoretical Physics, University of Wrocław, Wrocław, Poland
This work investigates the bulk viscosity of warm, dense, neutrino-transparent, color-superconducting quark matter, where damping of density oscillations in the kHz frequency range arises from weak-interaction-driven direct Urca processes involving quarks. We study the two-flavor red-green paired color-superconducting (2SC) phase, while allowing for the presence of unpaired strange quarks and blue color light quarks of all flavors. Our calculations are based on the SU(3) Nambu–Jona–Lasinio model, extended to include both vector interactions and the ‘t Hooft determinant term. The primary focus is on how variations in the NJL Lagrangian parameters—specifically, the diquark and vector coupling strengths—affect both the static properties of quark matter, such as its equation of state and composition, and its dynamical behavior, including bulk viscosity and associated damping timescales. We find that the bulk viscosity and corresponding damping timescale can change by more than an order of magnitude upon varying the vector coupling by a factor of two at high densities and by a lesser degree at lower densities. This sensitivity primarily arises from the susceptibility of 2SC matter, with a smaller contribution from modifications to the weak interaction rates. In comparison, changes in the diquark coupling have a more limited impact. The damping of density oscillations in 2SC matter is similar quantitatively to nucleonic matter and can be a leading mechanism of dissipation in merging hybrid stars containing color superconducting cores.
1 Introduction
The exploration of matter within the extreme environments of neutron star mergers presents a fascinating way to understand the fundamental properties of nuclear and quark matter at densities substantially exceeding the nuclear saturation density. Although recent gravitational wave observations, such as the GW170817 event (The LIGO Scientific Collaboration et al., 2017), which was accompanied by electromagnetic counterparts, have only captured the inspiral phase of the merger, it is anticipated that the post-merger phase could become observable with the next-generation of gravitational wave detectors. Nevertheless, numerical simulations of mergers offer clues into the dynamics of the merger process and the spectrum of gravitational waves that are emitted (Faber and Rasio, 2012; Baiotti and Rezzolla, 2017; Baiotti, 2019; Bauswein et al., 2019; Radice and Bernuzzi, 2023; Radice and Hawke, 2024). The gravitational waves, emitted within the first tens to hundreds of milliseconds after the merger, carry unique information about the state of matter under extreme conditions. In particular, the post-merger matter is extremely hot, produces a large number of neutrinos, and, unlike a supernova, is highly neutron-rich.
The accuracy of the predictions of simulations of binary neutron star (BNS) mergers depends on a number of factors, among which we would like to address the need for including dissipation in the typically nondissipative general-relativistic hydrodynamics. Dissipation may control the oscillations that source the gravitational waves. The possible influence of various transport phenomena has been addressed in recent years, including the electrical and thermal conductivities (Alford et al., 2018; Harutyunyan and Sedrakian, 2016; Schmitt and Shternin, 2018; Harutyunyan et al., 2018; Harutyunyan and Sedrakian, 2024; Harutyunyan et al., 2024), bulk and shear viscosities (Alford et al., 2018), etc. In recent years, much of the attention has been focused on the bulk viscosity-driven weak
The explicit inclusion of bulk viscosity in numerical simulations is still an area under active development (Most et al., 2022; Celora et al., 2022; Chabanov and Rezzolla, 2025a; Chabanov and Rezzolla, 2025b). See also Hammond et al. (2021), Radice et al. (2022), Camelio et al. (2023a), Camelio et al. (2023b) for related studies that provide a more qualitative assessment of bulk viscous effects based on simulations. Some works, such as (Most et al., 2022; Celora et al., 2022), account for the bulk viscosity within frameworks that evolve the system using ideal hydrodynamics, thus neglecting the back-reaction of the bulk viscosity on the fluid motion. Other studies incorporate bulk viscosity dynamically, but assume it to be constant throughout the evolution (Chabanov and Rezzolla, 2025a; Chabanov and Rezzolla, 2025b). Although many details, such as the dependence of bulk viscosity on temperature, density, and the composition of matter at supranuclear densities, remain uncertain, it is generally expected that bulk viscosity can significantly affect the gravitational wave emission during inspiral (Ripley et al., 2023; Ghosh et al., 2025) and merger. In particular, it may damp the oscillations of the remnant stellar core more rapidly, potentially leading to a faster decay of the gravitational wave signal.
Within this context, the potential presence and behavior of quark matter remains largely unexplored. Studies of cold quark matter in hybrid and strange stars, particularly concerning the damping of
The investigation of bulk viscosity in quark matter within the context of BNS mergers remains in its early stages (Cruz Rojas et al., 2024; Hernández et al., 2024; Alford et al., 2024). Cruz Rojas et al. (2024), Hernández et al. (2024) focused on bulk viscosity in unpaired quark matter arising from non-leptonic and semi-leptonic weak processes. Cruz Rojas et al. (2024) employed both perturbative QCD and holographic methods to obtain improved weak- and strong-coupling estimates of the bulk viscosity. Hernández et al. (2024) computed the bulk viscosity using the MIT bag model and perturbative QCD. Our previous work (Alford et al., 2024) presented the first calculation of bulk viscosity that incorporates the effects of color superconductivity at intermediate densities and finite temperatures in the BNS context. In doing so, the conditions specific to BNS mergers, such as the charge and color neutrality, the density and temperature dependence of pairing gaps and chemical potentials, were treated self-consistently within the vector-interaction-enhanced NJL model. We assume that, in the temperature range
Cruz Rojas et al. (2024), Hernández et al. (2024) found a peak in the bulk viscosity at temperatures
This work aims to build upon our previous study (Alford et al., 2024), preserving the essential modeling framework while focusing on variations of the Lagrangian parameters within the vector-interaction-enhanced NJL model (Bonanno and Sedrakian, 2012). First, we investigate how the static composition and EoS of 2SC quark matter with strange quarks depend on the strengths of the vector and diquark couplings. Second, we examine dynamical properties, such as the bulk viscosity and corresponding damping time scales. In this context, we also analyze how Urca process rates are modified by variations in pairing strength and the repulsive vector interaction.
Before proceeding, we point out that the 2SC phase studied in this work competes with alternatives, which we briefly mention here. One example is the quarkyonic phase which features elements of the baryon spectrum for large momenta and quark spectrum at small momenta (McLerran and Reddy, 2019; Han et al., 2019; Kovensky and Schmitt, 2020; Kojo, 2024; Fujimoto et al., 2024; Bluhm et al., 2025). The quarkyonic phase is expected to occupy the finite-temperature, moderate density segment of the QCD phase diagram and its competition with the 2SC phase depends on several factors that are hard to pin down. Furthermore, it has been realized that the chiral phase transition at low temperatures and moderate densities may proceed via an inhomogeneous phase, instead of the first-order homogeneous transition line (Buballa and Carignano, 2016). This phase may have various realizations such as plane-wave sinusoidal modulation or amplitude-modulated “kink crystal” condensate, with periodically alternating positive and negative values of (real-valued) solitonic profile (Karasawa et al., 2016; Abuki, 2018; Ferrer and de la Incera, 2021; Tabatabaee, 2023; Motta et al., 2025).
Although lattice QCD at finite density is hindered by the sign problem, existing results at zero density (Bazavov et al., 2012; Aoki et al., 2024) allow one to speculate that if the
The present paper is organized as follows. In Section 2 we discuss the equilibrium state of the 2SC phase, including the key thermodynamic parameters that are required for computing the bulk viscosity of quark matter. In Section 3 we discuss the computations of the semi-leptonic Urca rates in the 2SC phase. Section 4 presents the general formalism for computing the bulk viscosity in quark matter based on Urca processes. Our numerical results are presented in Section 5. We conclude and summarize in Section 6. Our calculations use natural units where
2 Finite temperature 2SC phase
To describe the properties of 2SC quark matter, we adopt a local vector-interaction-enhanced NJL Lagrangian, which is given by (ignoring electromagnetism)
where the quark spinor fields
At intermediate densities, the 2SC phase is expected to be the dominant pairing channel. More intricate pairing patterns, such as crystalline and gapless color superconducting states, emerge at the low temperatures typical of cold neutron stars. However, the 2SC phase remains a robust feature at finite temperatures. In the 2SC phase, pairing occurs in a color- and flavor-antisymmetric manner between up (
The overall quark pair wave function must be antisymmetric under exchange of quarks, according to the Pauli exclusion principle. It is seen that the color part of the wave function is antisymmetric, specifically in the anti-triplet configuration
The quark-antiquark condensates are defined as
and the constituent mass of each quark flavor is given by
The quark dispersion relations include energy shifts arising from the quark interaction with the vector mean fields
with
being the quark charge matrix in flavor space and
the diagonal generators of the SU(3) color gauge group related to the third and eighth gluons. The values of
Starting from the Lagrangian (Equation 1) the partition function and the thermodynamic potential
where
In the following, we will explore how the Urca rates and resultant bulk viscosity depend on key parameters in the Lagrangian. In doing so, we will vary the temperature in the range
Figure 1 shows the density dependence of the gap for fixed temperature

Figure 1. 2SC gap as a function of number density for temperature
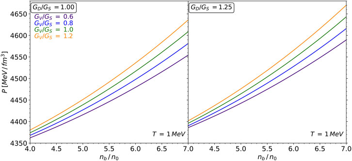
Figure 2 shows the pressure of the NJL model for fixed temperature

Figure 2. Pressure as a function of number density for temperature
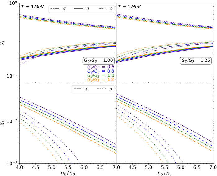
Figure 3 displays the composition of the 2SC phase in

Figure 3. Composition of 2SC matter as a function of number density for
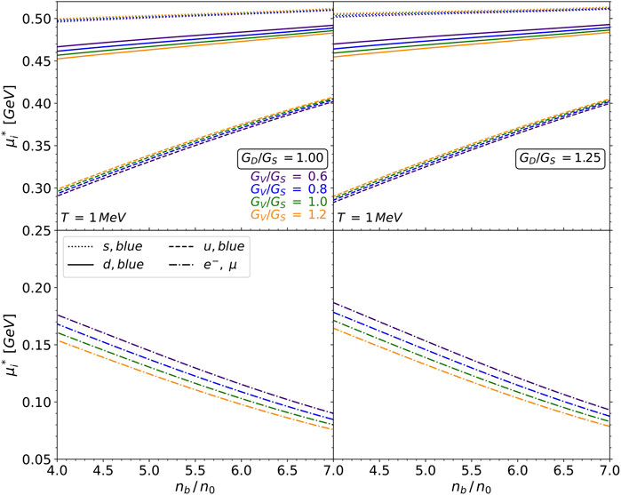
Before discussing the reaction rates, we first examine the (effective) chemical potentials and masses of quarks and leptons shown in Figures 4, 5. For quarks, the masses are modified by medium effects through the chiral condensate, which generally depends on both density and temperature. This comparison reveals to what degree the different particles are relativistic. Nevertheless, the formalism applied in the following sections is fully relativistic. Figure 4 shows the effective chemical potentials defined by (Equation 8) as functions of density for fixed values of temperatures as well as coupling constants

Figure 4. Effective chemical potentials as functions of number density for

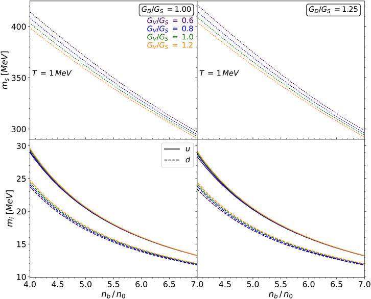
Figure 5. Quark masses as functions of number density for
Figure 5 shows the masses of blue quarks as functions of density. An increase in the diquark coupling leads to a rise in the mass of the
3 Urca reaction rates for ude and udse compositions
We examine neutrino-transparent
where
where
The spin-averaged relativistic matrix element of the Urca processes reads
where
Before doing so, we note that, as has previously been noted (Alford and Schmitt, 2007; Cruz Rojas et al., 2024; Hernández et al., 2024), the non-leptonic processes
equilibrate much faster than the other Urca processes. As a result, in the regime where the semi-leptonic Urca process contributes to the bulk viscosity significantly, the non-leptonic equilibration is already completed and one can assume
Returning to Equations 14, 15, we carry out part of the integrations, as described in Alford et al. (2021b), and obtain
where
The integration variables
Alternative forms of Equations 18, 19 can be obtained by exploiting the relation
The energy integration limits
As discussed above, the light-flavor quarks are ultrarelativistic under the considered conditions, therefore, we take this limit in Equations 20–22, after which they simplify to (note that
which, together with the limits of integration in Equations 18, 19, imply
Further simplifications of Equations 23, 24 can be achieved in the low temperature limit, which corresponds to
we can approximate the logarithms in Equations 23, 24 as
after which we obtain
It is interesting to note that these expressions can be rewritten in terms of the shift between the chemical potentials of
we obtain
which demonstrates that for
where we made a variable change
where we dropped the smaller than
To compute the bulk viscosity, consider next small departures from
Note that when computing
The integrals in Equations 41, 42 can be computed numerically, after which we obtain
We observe that, as has been noted in other treatments of Urca processes in quark matter (Burrows, 1980; Duncan et al., 1984), the
Thus, the low-temperature direct Urca rates for light quarks (when the isospin chemical shift is absent) differ qualitatively from those of massive particles. For example, Urca reactions involving the
The relevant coefficient
In this limit we have also the relations
To estimate the rate of non-leptonic processes (Equation 17) we will use below the low-temperature expression (Madsen, 1993).
4 Bulk viscosity of matter
In this section, we will derive the bulk viscosity that arises from processes (Equations 10–13) in
Oscillations drive the system out of chemical equilibrium, leading to nonzero chemical imbalance
where the susceptibilities
where
If the weak processes were switched off, then the number of all particle species would be conserved separately, which implies
where
which define the equilibration coefficients
where
Among the resulting balance equations, only one is independent due to the presence of three constraints: charge neutrality (both color and electric) and baryon number conservation. These constraints can be expressed in the form
where we denote with
where
Substituting Equation 61 into Equation 55, assuming
where
which can be solved for
Substituting
Subtracting from this expression
Solving Equation 63 for
Then the bulk viscous pressure will be given by (using short-hand notation
where we used Equations 59, 60. Assuming isothermal perturbations to compute the pressure derivatives, and further using Equation 66 and the symmetry relation
The bulk viscosity is the real part of
which has the classic resonant form depending on two quantities: the susceptibility prefactor
where we redefined
We note that
5 Numerical results
5.1 Equilibration coefficients and Urca rates
As expected, the non-leptonic processes described by Equation 17 occur at significantly higher rates than the Urca processes. This is evident in Figure 6, which shows the equilibration coefficients for both the Urca processes (Equations 10–13) and the non-leptonic processes (Equation 17). Notably, in the temperature range
![Four-panel graph comparing \(\lambda\) in \([\text{MeV}^3]\) versus temperature \(T\) in \([\text{MeV}]\) with varying parameters. Top panels show \(\eta_b = 4 n_0\) and \(\eta_b = 7 n_0\), bottom panels show data for different conditions: \(\lambda_{\text{due}}\), \(\lambda_{\text{sue}}\), and \(\lambda_{\text{non-lep}}\). Legend indicates \(G_D/G_S = 1.00\), \(G_V/G_S = 0.6\) and \(1.2\). Lines are colored and styled differently for each condition, showing slight variations in \(\lambda\) across temperatures.](https://www.frontiersin.org/files/Articles/1648066/fspas-12-1648066-HTML-r1/image_m/fspas-12-1648066-g006.jpg)
Figure 6. The equilibration coefficients
Analytical expressions for
We show in Figure 7 the temperature dependence of the total

Figure 7. The
5.2 Bulk viscosity and damping timescales
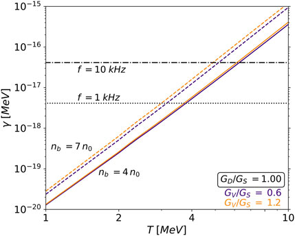
Next, we turn to the main quantity of interest of this study - the bulk viscosity of neutrino-transparent quark matter in the 2SC phase. Figure 8 shows the temperature dependence of bulk viscosity for density oscillations at two frequencies

Figure 8. Bulk viscosity as a function of temperature for
The curves of bulk viscosity as a function of temperature have the Lorentzian shape expected from (72). For density oscillations of angular frequency
As density increases, the maximum slowly moves to lower temperatures because the relaxation rate
The overall scale of the bulk viscosity curve (e.g., the value attained at the maximum) is controlled by the prefactor
We also reiterate that, as noticed in Alford et al. (2024), including/excluding the strange quarks increases/decreases the total relaxation rate by a factor of 1–2, resulting in only a slight shift of the viscosity peak toward lower/higher temperatures.
For comparison, we also show the bulk viscosity of neutrino-transparent nucleonic matter, as calculated in Alford et al. (2023), using the DDME2 (dotted line) and NL3 (dash-dotted line) models at a baryon density of
At lower temperatures, the bulk viscosity of 2SC quark matter falls between the values predicted by the two nucleonic models, regardless of the specific values of the vector and diquark couplings. This behavior can be attributed to the
Since the bulk viscosity arises from semi-leptonic weak interactions involving the unpaired blue quarks, one would expect similar behavior in unpaired quark matter, specifically a peak in the bulk viscosity at MeV-scale temperatures. This feature is indeed observed in Alford and Schmitt (2007) (Figure 8), Sa’d et al. (2007b) (Figure 3) and in Hernández et al. (2024) (Figure 4), although the maximum viscosity reported in those studies is smaller due to their assumption of a lighter strange quark.
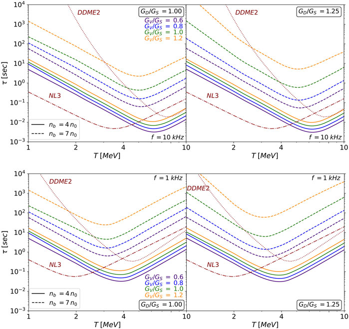
In the aftermath of a BNS merger, the resulting remnant undergoes rapid and large-amplitude density oscillations, driven by strong differential rotation, internal thermal gradients, and potentially turbulent motion. The remnant’s temperature is highly variable over its density range, and some regions may pass through or remain within the temperature window where the bulk viscous damping is especially efficient. If so, the bulk viscosity can significantly damp oscillation modes, converting mechanical energy into heat (or radiated neutrinos) and altering the thermal evolution of the remnant. The characteristic time scale of damping of local oscillations (on the hydrodynamic scales characterized by fixed density, temperature, entropy, etc.) is given by (Alford et al., 2018; Alford and Harris, 2019; Alford et al., 2020)
where

Figure 9. Dependence of bulk viscous damping timescales on temperature for two values of number density and various fixed values of vector and diquark couplings. For comparison, we also show the damping timescales of neutrino-transparent nucleonic matter as was computed in Alford et al. (2023) for models DDME2 (dotted line) and NL3 (dashed line) for
Overall, we find that the damping timescales range from a few milliseconds up to several hundred milliseconds, which are comparable to the characteristic timescales of the short-term evolution of the post-merger remnant. For longer-lived remnants, which can survive for several seconds or more, bulk viscous dissipation may play an even more significant role in their dynamical evolution.
Furthermore, a comparison with the results obtained for nucleonic matter reveals that the damping timescales in 2SC quark matter are remarkably similar. This suggests that, within the framework of our NJL model, it would be challenging to distinguish 2SC quark matter from nuclear matter based solely on their bulk viscous dissipation properties in the temperature range of 1–10 MeV.
6 Conclusion
Expanding on our previous work (Alford et al., 2024), we have studied the effects of variations in diquark and vector couplings–specifically
The primary effect of varying the vector coupling is a shift in the quark chemical potentials, which affects material properties such as bulk viscosity in two ways. Firstly, it changes the relevant static susceptibilities in the EoS; secondly, it changes flavor-changing Urca rates by altering the available phase space. In contrast, changing the diquark coupling mainly affects the degree of suppression of red-green quark contributions by changing the pairing gap. However, because red-green quarks are indirectly coupled to the unpaired blue-quark sector through
Quantitatively, we find that varying the vector coupling by a factor of two changes the bulk viscosity and corresponding damping timescale by a factor of 3–20 at densities from
It is worth noting that at temperatures below the range studied here,
Data availability statement
The original contributions presented in the study are included in the article/supplementary material, further inquiries can be directed to the corresponding author.
Author contributions
MA: Conceptualization, Investigation, Software, Writing – original draft, Writing – review and editing. AH: Conceptualization, Investigation, Software, Writing – original draft, Writing – review and editing. AS: Conceptualization, Investigation, Software, Writing – original draft, Writing – review and editing. ST: Conceptualization, Investigation, Software, Writing – original draft, Writing – review and editing.
Funding
The author(s) declare that financial support was received for the research and/or publication of this article. This work was partly supported by the U.S. Department of Energy, Office of Science, Office of Nuclear Physics under Award No. DE-FG02-05ER41375 (MA), the Higher Education and Science Committee (HESC) of the Republic of Armenia through “Remote Laboratory” program, Grant No. 24RL-1C010 (AH and AS), the Polish National Science Centre (NCN) Grant 2023/51/B/ST9/02798 (AS and ST) and the Deutsche For\-schungs\-gemeinschaft (DFG) Grant No. SE 1836/6-1 (AS). ST is a member of the IMPRS for “Quantum Dynamics and Control” at the Max Planck Institute for the Physics of Complex Systems, Dresden, Germany, and acknowledges its partial support.
Conflict of interest
The authors declare that the research was conducted in the absence of any commercial or financial relationships that could be construed as a potential conflict of interest.
The author(s) declared that they were an editorial board member of Frontiers, at the time of submission. This had no impact on the peer review process and the final decision.
Generative AI statement
The author(s) declare that no Generative AI was used in the creation of this manuscript.
Publisher’s note
All claims expressed in this article are solely those of the authors and do not necessarily represent those of their affiliated organizations, or those of the publisher, the editors and the reviewers. Any product that may be evaluated in this article, or claim that may be made by its manufacturer, is not guaranteed or endorsed by the publisher.
References
Abuki, H. (2018). Chiral crystallization in an external magnetic background: chiral spiral versus real kink crystal. Phys. Rev. D. 98, 054006. doi:10.1103/PhysRevD.98.054006
Alford, M., Harutyunyan, A., and Sedrakian, A. (2019). Bulk viscosity of baryonic matter with trapped neutrinos. Phys. Rev. D. 100, 103021. doi:10.1103/PhysRevD.100.103021
Alford, M., Harutyunyan, A., and Sedrakian, A. (2020). Bulk viscous damping of density oscillations in neutron star mergers. Particles 3, 500–517. doi:10.3390/particles3020034
Alford, M., Harutyunyan, A., and Sedrakian, A. (2021b). Bulk viscosity from urca processes: npeμ matter in the neutrino-trapped regime. Phys. Rev. D. 104, 103027. doi:10.1103/PhysRevD.104.103027
Alford, M., Harutyunyan, A., and Sedrakian, A. (2023). Bulk viscosity from Urca processes: n p e μ matter in the neutrino-transparent regime. Phys. Rev. D. 108, 083019. doi:10.1103/PhysRevD.108.083019
Alford, M., Harutyunyan, A., Sedrakian, A., and Tsiopelas, S. (2024). Bulk viscosity of two-color superconducting quark matter in neutron star mergers. Phys. Rev. D. 110, L061303. doi:10.1103/PhysRevD.110.L061303
Alford, M. G., Bovard, L., Hanauske, M., Rezzolla, L., and Schwenzer, K. (2018). Viscous dissipation and heat conduction in binary neutron-star mergers. Phys. Rev. Lett. 120, 041101. doi:10.1103/PhysRevLett.120.041101
Alford, M. G., and Haber, A. (2021). Strangeness-changing rates and hyperonic bulk viscosity in neutron star mergers. Phys. Rev. C 103, 045810. doi:10.1103/PhysRevC.103.045810
Alford, M. G., Haber, A., Harris, S. P., and Zhang, Z. (2021a). Beta equilibrium under neutron star merger conditions. Universe 7, 399. doi:10.3390/universe7110399
Alford, M. G., and Harris, S. P. (2019). Damping of density oscillations in neutrino-transparent nuclear matter. Phys. Rev. C 100, 035803. doi:10.1103/PhysRevC.100.035803
Alford, M. G., and Schmitt, A. (2007). Bulk viscosity in 2SC quark matter. J. Phys. G34, 67–101. doi:10.1088/0954-3899/34/1/005
Alford, M. G., Schmitt, A., Rajagopal, K., and Schäfer, T. (2008). Color superconductivity in dense quark matter. Rev. Mod. Phys. 80, 1455–1515. doi:10.1103/RevModPhys.80.1455
Aoki, S., Aoki, Y., Fukaya, H., Hashimoto, S., Kanamori, I., Kaneko, T., et al. (2024). Axial U(1) symmetry near the pseudocritical temperature in Nf = 2 + 1 lattice QCD with chiral fermions. PoS, 185. doi:10.22323/1.453.0185
Baiotti, L. (2019). Gravitational waves from neutron star mergers and their relation to the nuclear equation of state. Prog. Part. Nucl. Phys. 109, 103714. doi:10.1016/j.ppnp.2019.103714
Baiotti, L., and Rezzolla, L. (2017). Binary neutron-star mergers: a review of Einstein’s richest laboratory. Rept. Prog. Phys. 80, 096901. doi:10.1088/1361-6633/aa67bb
Bauswein, A., Bastian, N. U. F., Blaschke, D. B., Chatziioannou, K., Clark, J. A., Fischer, T., et al. (2019). Identifying a first-order phase transition in neutron-star mergers through gravitational waves. Phys. Rev. Lett. 122, 061102. doi:10.1103/PhysRevLett.122.061102
Bazavov, A., Bhattacharya, T., Buchoff, M. I., Cheng, M., Christ, N. H., Ding, H. T., et al. (2012). Chiral transition and U(1)A symmetry restoration from lattice QCD using domain wall fermions. Phys. Rev. D. 86, 094503. doi:10.1103/PhysRevD.86.094503
Blaschke, D., Fredriksson, S., Grigorian, H., Öztaş, A. M., and Sandin, F. (2005). Phase diagram of three-flavor quark matter under compact star constraints. Phys. Rev. D. 72, 065020. doi:10.1103/PhysRevD.72.065020
Blaschke, D. B., Berdermann, J., Colangelo, P., Creanza, D., De Fazio, F., Fini, R. A., et al. (2007). Neutrino emissivity and bulk viscosity of iso-CSL quark matter in neutron stars. Am. Inst. Phys. Conf. Ser. 964, 290–295. doi:10.1063/1.2823866
Bluhm, M., Fujimoto, Y., McLerran, L., and Nahrgang, M. (2025). Quark saturation in the qcd phase diagram. Phys. Rev. C 111, 044914. doi:10.1103/PhysRevC.111.044914
Bonanno, L., and Sedrakian, A. (2012). Composition and stability of hybrid stars with hyperons and quark color-superconductivity. A&A 539, A16. doi:10.1051/0004-6361/201117832
Buballa, M., and Carignano, S. (2016). Inhomogeneous chiral symmetry breaking in dense neutron-star matter. Eur. Phys. J. A 52, 57. doi:10.1140/epja/i2016-16057-6
Burrows, A. (1980). Beta decay in quark stars. Phys. Rev. Lett. 44, 1640–1643. doi:10.1103/PhysRevLett.44.1640
Camelio, G., Gavassino, L., Antonelli, M., Bernuzzi, S., and Haskell, B. (2023a). Simulating bulk viscosity in neutron stars. I. Formalism. Phys. Rev. D. 107, 103031. doi:10.1103/PhysRevD.107.103031
Camelio, G., Gavassino, L., Antonelli, M., Bernuzzi, S., and Haskell, B. (2023b). Simulating bulk viscosity in neutron stars. II. Evolution in spherical symmetry. Phys. Rev. D. 107, 103032. doi:10.1103/PhysRevD.107.103032
Carignano, S., and Buballa, M. (2020). Inhomogeneous chiral condensates in three-flavor quark matter. Phys. Rev. D. 101, 014026. doi:10.1103/PhysRevD.101.014026
Carter, G. W., and Reddy, S. (2000). Neutrino propagation in color superconducting quark matter. Phys. Rev. D. 62, 103002. doi:10.1103/PhysRevD.62.103002
Celora, T., Hawke, I., Hammond, P. C., Andersson, N., and Comer, G. L. (2022). Formulating bulk viscosity for neutron star simulations. Phys. Rev. D. 105, 103016. doi:10.1103/PhysRevD.105.103016
Chabanov, M., and Rezzolla, L. (2025a). Impact of bulk viscosity on the postmerger gravitational-wave signal from merging neutron stars. Phys. Rev. Lett. 134, 071402. doi:10.1103/PhysRevLett.134.071402
Chabanov, M., and Rezzolla, L. (2025b). Numerical modeling of bulk viscosity in neutron stars. Phys. Rev. D. 111, 044074. doi:10.1103/PhysRevD.111.044074
Colvero, G. C., and Lugones, G. (2014). Neutrino diffusive transport in hot quark matter: a detailed analysis. Phys. Rev. C 89, 055803. doi:10.1103/PhysRevC.89.055803
Cruz Rojas, J., Gorda, T., Hoyos, C., Jokela, N., Järvinen, M., Kurkela, A., et al. (2024). Estimate for the bulk viscosity of strongly coupled quark matter using perturbative QCD and holography. Phys. Rev. Lett. 133, 071901. doi:10.1103/PhysRevLett.133.071901
Drago, A., Lavagno, A., and Pagliara, G. (2005). Bulk viscosity in hybrid stars. Phys. Rev. D. 71, 103004. doi:10.1103/PhysRevD.71.103004
Duncan, R. C., Shapiro, S. L., and Wasserman, I. (1983). Equilibrium composition and neutrino emissivity of interacting quark matter in neutron stars. ApJ 267, 358–370. doi:10.1086/160875
Duncan, R. C., Wasserman, I., and Shapiro, S. L. (1984). Neutrino emissivity of interacting quark matter in neutron stars. II - finite neutrino momentum effects. ApJ 278, 806–812. doi:10.1086/161850
Faber, J. A., and Rasio, F. A. (2012). Binary neutron star mergers. Living Rev. rel. 15, 8. doi:10.12942/lrr-2012-8
Ferrer, E. J., and de la Incera, V. (2021). Magnetic dual chiral density wave: a candidate quark matter phase for the interior of neutron stars. Universe 7, 458. doi:10.3390/universe7120458
Fujimoto, Y., Kojo, T., and McLerran, L. D. (2024). Momentum shell in quarkyonic matter from explicit duality: a dual model for cold, dense qcd. Phys. Rev. Lett. 132, 112701. doi:10.1103/PhysRevLett.132.112701
Gao, B., Minamikawa, T., Kojo, T., and Harada, M. (2022). Impacts of the U (1)A anomaly on nuclear and neutron star equation of state based on a parity doublet model. Phys. Rev. C 106, 065205. doi:10.1103/PhysRevC.106.065205
Gholami, H., Hofmann, M., and Buballa, M. (2025). Renormalization-group consistent treatment of color superconductivity in the NJL model. Phys. Rev. D. 111, 014006. doi:10.1103/PhysRevD.111.014006
Ghosh, S., Hernández, J. L., Keshari Pradhan, B., Manuel, C., Chatterjee, D., and Tolos, L. (2025). Tidal heating in binary inspiral of strange quark stars. arXiv e-prints arXiv:2504.07659. doi:10.48550/arXiv.2504.07659
Gómez Dumm, D., Blaschke, D. B., Grunfeld, A. G., and Scoccola, N. N. (2006). Phase diagram of neutral quark matter in nonlocal chiral quark models. Phys. Rev. D. 73, 114019. doi:10.1103/PhysRevD.73.114019
Hammond, P., Hawke, I., and Andersson, N. (2021). Thermal aspects of neutron star mergers. Phys. Rev. D. 104, 103006. doi:10.1103/PhysRevD.104.103006
Han, S., Mamun, M. A. A., Lalit, S., Constantinou, C., and Prakash, M. (2019). Treating quarks within neutron stars. Phys. Rev. D. 100, 103022. doi:10.1103/PhysRevD.100.103022
Harutyunyan, A., Nathanail, A., Rezzolla, L., and Sedrakian, A. (2018). Electrical resistivity and hall effect in binary neutron star mergers. Eur. Phys. J. A 54, 191. doi:10.1140/epja/i2018-12624-1
Harutyunyan, A., and Sedrakian, A. (2016). Electrical conductivity of a warm neutron star crust in magnetic fields. Phys. Rev. C 94, 025805. doi:10.1103/PhysRevC.94.025805
Harutyunyan, A., and Sedrakian, A. (2024). Thermal conductivity and thermal hall effect in dense electron-ion plasma. Particles 7, 967–983. doi:10.3390/particles7040059
Harutyunyan, A., Sedrakian, A., Gevorgyan, N. T., and Hayrapetyan, M. V. (2024). Electrical conductivity of a warm neutron star crust in magnetic fields: neutron-Drip regime. Phys. Rev. C 109, 055804. doi:10.1103/PhysRevC.109.055804
Hernández, J. L., Manuel, C., and Tolos, L. (2024). Damping of density oscillations from bulk viscosity in quark matter. Phys. Rev. D. 109, 123022. doi:10.1103/PhysRevD.109.123022
Huang, X. G., Huang, M., Rischke, D. H., and Sedrakian, A. (2010). Anisotropic hydrodynamics, bulk viscosities, and r-modes of strange quark stars with strong magnetic fields. Phys. Rev. D. 81, 045015. doi:10.1103/PhysRevD.81.045015
Jaikumar, P., Roberts, C. D., and Sedrakian, A. (2006). Direct urca neutrino rate in color superconducting quark matter. Phys. Rev. C 73, 042801. doi:10.1103/PhysRevC.73.042801
Jones, P. B. (2001). Bulk viscosity of neutron-star matter. Phys. Rev. D. 64, 084003. doi:10.1103/PhysRevD.64.084003
Karasawa, S., Lee, T. G., and Tatsumi, T. (2016). Brazovskii–dyugaev effect on the inhomogeneous chiral transition in quark matter. Prog. Theor. Exp. Phys. 2016, 043D02. doi:10.1093/ptep/ptw025
Kojo, T. (2024). Stiffening of matter in quark-hadron continuity: a mini-review. arXiv e-prints arXiv:2412.20442. doi:10.48550/arXiv.2412.20442
Kono, S., Jido, D., Kuroda, Y., and Harada, M. (2021). The role of the ua(1) breaking term in dynamical chiral symmetry breaking of chiral effective theories. Prog. Theor. Exp. Phys. 2021, 093D02. doi:10.1093/ptep/ptab084
Kovensky, N., and Schmitt, A. (2020). Holographic quarkyonic matter. J. High Energy Phys. 2020, 112. doi:10.1007/JHEP09(2020)112
Madsen, J. (1992). Bulk viscosity of strange quark matter, damping of quark star vibration, and the maximum rotation rate of pulsars. Phys. Rev. D. 46, 3290–3295. doi:10.1103/PhysRevD.46.3290
Madsen, J. (1993). Rate of the weak reaction s + u → u + d in quark matter. Phys. Rev. D. 47, 325–330. doi:10.1103/PhysRevD.47.325
McLerran, L., and Reddy, S. (2019). Quarkyonic matter and neutron stars. Phys. Rev. Lett. 122, 122701. doi:10.1103/PhysRevLett.122.122701
Most, E. R., Harris, S. P., Plumberg, C., Alford, M. G., Noronha, J., Noronha-Hostler, J., et al. (2022). Projecting the likely importance of weak-interaction-driven bulk viscosity in neutron s tar mergers. Mon. Not. Ras. 509, 1096–1108. doi:10.1093/mnras/stab2793
Motta, T. F., Bernhardt, J., Buballa, M., and Fischer, C. S. (2025). New tool to detect inhomogeneous chiral-symmetry breaking. Phys. Rev. D. 111, 074030. doi:10.1103/PhysRevD.111.074030
Radice, D., and Bernuzzi, S. (2023). Ab-initio general-relativistic neutrino-radiation hydrodynamics simulations of long-lived neutron star merger remnants to neutrino cooling timescales. Astrophys. J. 959, 46. doi:10.3847/1538-4357/ad0235
Radice, D., Bernuzzi, S., Perego, A., and Haas, R. (2022). A new moment-based general-relativistic neutrino-radiation transport code: methods and first applications to neutron star mergers. Mon. Not. Ras. 512, 1499–1521. doi:10.1093/mnras/stac589
Radice, D., and Hawke, I. (2024). Turbulence modelling in neutron star merger simulations. Liv. Rev. Comput. Astrophys. 10, 1. doi:10.1007/s41115-023-00019-9
Rehberg, P., Klevansky, S. P., and Hüfner, J. (1996). Hadronization in the su(3) nambu–jona-lasinio model. Phys. Rev. C 53, 410–429. doi:10.1103/PhysRevC.53.410
Ripley, J. L., Hegade, K. R. A., and Yunes, N. (2023). Probing internal dissipative processes of neutron stars with gravitational waves during the inspiral of neutron star binaries. Phys. Rev. D. 108, 103037. doi:10.1103/PhysRevD.108.103037
Rüster, S. B., Werth, V., Buballa, M., Shovkovy, I. A., and Rischke, D. H. (2005). Phase diagram of neutral quark matter: self-Consistent treatment of quark masses. Phys. Rev. D. 72, 034004. doi:10.1103/PhysRevD.72.034004
Sa’d, B. A., Shovkovy, I. A., and Rischke, D. H. (2007a). Bulk viscosity of spin-one color superconductors with two quark flavors. Phys. Rev. D. 75, 065016. doi:10.1103/PhysRevD.75.065016
Sa’d, B. A., Shovkovy, I. A., and Rischke, D. H. (2007b). Bulk viscosity of strange quark matter: urca versus nonleptonic processes. Phys. Rev. D. 75, 125004. doi:10.1103/PhysRevD.75.125004
Schmitt, A., and Shternin, P. (2018). Reaction rates and transport in neutron stars. Astrophys. Space Sci. Libr. 457, 455–574. doi:10.1007/978-3-319-97616-7_9
Steiner, A. W., Prakash, M., and Lattimer, J. M. (2001). Diffusion of neutrinos in proto-neutron star matter with quarks. Phys. Lett. B 509, 10–18. doi:10.1016/S0370-2693(01)00434-8
Tabatabaee, M. (2023). Chiral symmetry breaking and phase diagram of dual chiral density wave in a rotating quark matter. Phys. Rev. D. 108, 094042. doi:10.1103/PhysRevD.108.094042
The LIGO Scientific Collaboration, The Virgo Collaboration Abbott, R., Abbott, T., Acernese, F., Ackley, K., Adams, C., et al. (2017). Gw170817: observation of gravitational waves from a binary neutron star inspiral. Phys. Rev. Lett. 119, 161101. doi:10.1103/PhysRevLett.119.161101
Wang, X., Malekzadeh, H., and Shovkovy, I. A. (2010). Nonleptonic weak processes in spin-one color superconducting quark matter. Phys. Rev. D. 81, 045021. doi:10.1103/PhysRevD.81.045021
Keywords: neutron stars, neutrino interactions, quark matter, gravitational waves, transport coefficients
Citation: Alford M, Harutyunyan A, Sedrakian A and Tsiopelas S (2025) Bulk viscosity of two-flavor color superconducting quark matter in neutron star mergers. Front. Astron. Space Sci. 12:1648066. doi: 10.3389/fspas.2025.1648066
Received: 16 June 2025; Accepted: 21 July 2025;
Published: 10 September 2025.
Edited by:
Masayuki Matsuzaki, Fukuoka University of Education, JapanReviewed by:
Kouji Kashiwa, Fukuoka Institute of Technology, JapanJianmin Dong, Chinese Academy of Sciences, China
Copyright © 2025 Alford, Harutyunyan, Sedrakian and Tsiopelas. This is an open-access article distributed under the terms of the Creative Commons Attribution License (CC BY). The use, distribution or reproduction in other forums is permitted, provided the original author(s) and the copyright owner(s) are credited and that the original publication in this journal is cited, in accordance with accepted academic practice. No use, distribution or reproduction is permitted which does not comply with these terms.
*Correspondence: Armen Sedrakian, YXJtZW4uc2VkcmFraWFuQHV3ci5lZHUucGw=