- Department of Physics, Faculty of Arts and Sciences, Eastern Mediterranean University, Famagusta, Türkiye
Introduction: We construct spherically symmetric, static, and regular Bardeen-like black hole solutions in the framework of higher-dimensional pure Lovelock gravity coupled to nonlinear Yang–Mills (YM) fields. The aim is to generalize the notion of regular black holes to higher-curvature gravity theories while preserving regularity and asymptotic flatness.
Methods: The gauge fields are modeled using a higher-dimensional Wu–Yang ansatz, and the nonlinear YM Lagrangian is designed to reproduce Bardeen-type configurations known from Einstein gravity. The field equations are solved analytically to obtain exact metric functions, and curvature invariants are computed to verify the regularity of the spacetime.
Results: The resulting solutions are asymptotically flat and regular at the origin, with all curvature invariants remaining finite throughout the spacetime. In dimensions 
Discussion: A detailed thermodynamic analysis is performed by computing the Hawking temperature and heat capacity. The phase structure reveals regions of thermal stability and the occurrence of first- and second-order phase transitions. These findings extend the concept of regular black holes to pure Lovelock gravity and emphasize the rich interplay between nonlinearity, dimensionality, and gauge dynamics.
1 Introduction
One of the most remarkable discoveries in the history of science is the existence of black holes. The concept originated from Einstein’s theory of general relativity and was first revealed through the mathematical ingenuity of Karl Schwarzschild, who, in 1916, became the first to solve Einstein’s field equations in vacuum. The solution he obtained—now famously known as the Schwarzschild black hole—was named in his honor. The Schwarzschild black hole describes a static, spherically symmetric spacetime characterized by a single parameter: the mass of the black hole. It features a central singularity hidden behind an event horizon. At the time, both the singularity and the event horizon were entirely new and unexpected features of modern cosmology, revealed through the exact solution of Einstein’s equations. Now, more than a century since Schwarzschild introduced his solution, physicists are still grappling with the physical interpretation of the spacetime singularity. It is widely believed that, at the singularity, the mass of the black hole collapses under its own gravitational pull into a region of infinite curvature. Under such extreme conditions, classical physics breaks down, and known physical laws become inapplicable. This description is so speculative and counterintuitive that some physicists question whether singularities truly exist. The leading candidate for resolving this classical problem is quantum gravity. In other words, in such high-energy and small-scale regimes, it becomes necessary to quantize the gravitational field, thereby potentially eliminating the need to introduce singularities altogether. Unfortunately, a complete and consistent formulation of quantum gravity has not yet been achieved, although several promising frameworks are under active development, most notably string theory and loop quantum gravity (Bojowald, 2001; Blanchette et al., 2021). In a different but related direction, within classical general relativity coupled to nonlinear electrodynamics (NED), there have been attempts to construct regular black holes, i.e., black holes whose central regions are nonsingular. One of the earliest such solutions is the well-known Bardeen black hole (Ba and rdeen, 1968). The original Bardeen metric, introduced in Bardeen (1968), is described by the line element:
where 
with a magnetic field given by Equation 3
Solving the field equations reveals that 
The absence of a 
The associated magnetic field is given by (Equation 6)
and the corresponding line element is provided in Equation 23.
Although the Bardeen regular black hole has been extensively studied in various contexts, these works are not directly relevant to our present investigation, aside from the general consideration of the Bardeen-type solution reviewed above. We, therefore, limit our citations to studies that directly inform our current research.
In a separate context, higher-derivative gravity theories, particularly the Lovelock theory (Lovelock, 1971), have attracted significant attention in the study of higher-dimensional black holes. The key features of Lovelock gravity are as follows (Kastor and Mann, 2006; Cai and Ohta, 2006; Cai et al., 2008) (and the references cited in): i) it is the natural extension of general relativity. This is because the Lovelock action is built from dimensionally extended Euler densities, which generalize the Einstein–Hilbert action in higher dimensions. ii) Unlike most higher-derivative gravity theories, Lovelock gravity yields equations of motion containing no more than second derivatives of the metric, avoiding the pathologies usually associated with higher-derivative theories. iii) When expanded around flat spacetime, Lovelock gravity is free of ghosts, which means it preserves unitarity and avoids instabilities. iv) The Lovelock terms (such as the Gauss–Bonnet term) arise naturally with positive coefficients as higher-order corrections in superstring theory, giving the framework strong theoretical motivation. v) Higher curvature terms in Lovelock gravity play a key role in the AdS/CFT correspondence and in brane-world physics, where TeV-scale black holes may be relevant. vi) Lovelock gravity admits black hole, black string, and black brane solutions with thermodynamic properties that can differ significantly from Einstein gravity, making it a fertile ground for exploring quantum gravity effects.
The Lovelock Lagrangian is constructed as a linear combination of dimensionally extended Euler densities
where 
which corresponds to the Euler densities of a 
In Equation 7, the case 
which is the Gauss–Bonnet (GB) Lagrangian, with 
2 Pure Gauss–Bonnet nonlinear YM theory
We begin with the action
where 
where 
is the Yang–Mills field strength invariant. We add that the Yang–Mills field possesses energy and momentum, quantified by its stress–energy tensor. This tensor serves as the source term in Einstein’s equations, meaning that the field itself generates gravitational curvature. Consequently, Yang–Mills fields can produce structures like black holes, wormholes, and shape the evolution of the cosmos.
The nonlinear YM Lagrangian Equation 12 is the YM analog of the higher-dimensional Bardeen-type nonlinear electrodynamics (NED) model proposed by Ali and Ghosh (2018) (see Equation 5). Except for 
The Yang–Mills field two-form strength is given by
where in Equation 15 
where 
where the energy–momentum tensor of the Yang–Mills field is given by Equation 18
and the Lovelock tensors are (Equations 19, 20)
and
The non-Abelian gauge potential 
where, in Equation 21 
with 
where
is the metric on the unit 
and
Accordingly, the energy–momentum tensor simplifies to
where in Equation 27 we introduced Equation 28
To proceed, we introduce the function 
which transforms the 
where the rescaled Lovelock coefficients are defined as 
where in Equation 31
is the energy density (Equation 32). The explicit form of 
Assuming that the ADM energy/mass arises purely from the Yang–Mills interaction, the total energy/mass is defined by (from Equation 33)
which Equation 34 yields (Equation 35)
Finally, from Equation 30, the function 
3 Pure lovelock theory
Although Equation 36 is valid in the general Lovelock framework, we now focus on the pure Lovelock theory of order 
whose solution is given by (Equation 38)
and consequently the metric function becomes
where in Equation 39 the new parameters are defined as (Equations 40, 41)
and the expression is valid for 
while near the origin 
with the effective cosmological constant defined as Equation 44
Therefore, the solution is asymptotically flat and regular at the origin. An explicit calculation of the curvature invariants confirms that all spacetime scalars remain finite and regular everywhere, indicating that the spacetime is indeed regular throughout.
3.1 
As previously discussed, for a given Lovelock order 
where the parameters 
and
From Equation 45, it is evident that, for even 
which has no zeros for 
 
  Figure 1. The left panel shows the negative branch of the metric function 
3.2 
Unlike the case 
This derivative admits a critical point, defined by 
At this radius (Equation 50), the positive branch reaches a maximum, and the negative branch reaches a minimum. For the negative branch, the solution represents a regular particle model if 
This provides an analytical criterion for distinguishing between black hole and particle-like solutions. Substituting the definitions of 
Depending on the sign of this expression, if i) 
4 Thermal stability of the black hole solution
In standard GR, spherically symmetric black holes (such as the Schwarzschild black hole) exhibit negative heat capacity. This implies that they are thermodynamically unstable. This is because they lose their mass through Hawking radiation that results in an increasing temperature, leading to faster evaporation. As discussed by D’Agostino et al. (2024), although modified gravity theories can partially alleviate the negative heat capacity problem for specific black hole masses and parameter choices, they do not provide a universal solution. The thermodynamic instability of spherically symmetric black holes remains a robust feature of GR, and its resolution likely requires more radical changes to gravity or the inclusion of quantum effects. In this section, we investigate the thermal stability of the black hole solution described by Equation 53
where 
Using Equation 54, the Hawking temperature associated with the black hole is calculated to be
Moreover, using the Wald entropy for the black holes in Lovelock (Jacobson and Myers, 1993; Myers and Simon, 1988; Camanho and Edelstein, 2013; Wang et al., 2016)
where in Equation 56 
Finally, the heat capacity of the black hole is defined by
By introducing the rescaled variables 
Accordingly, the Hawking temperature (Equation 55) and heat capacity (Equation 58) are given by
and
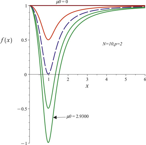
In Figure 2, we plot 
 
  Figure 2. The metric function 
 
  Figure 3. The scaled Hawking temperature is plotted as a function of 
 
  Figure 4. In the left panel, the scaled heat capacity is plotted as a function of 
5 Conclusion
In this work, we have derived a new class of regular black hole solutions in higher-dimensional pure Lovelock gravity, sourced by a nonlinear Yang–Mills field. The solutions generalize the Bardeen black hole in four dimensions and exhibit rich physical behavior depending on the dimension 
Data availability statement
The original contributions presented in the study are included in the article/supplementary material; further inquiries can be directed to the corresponding author.
Author contributions
SM: Conceptualization, Formal Analysis, Investigation, Methodology, Software, Visualization, Writing – original draft, Writing – review and editing.
Funding
The author(s) declare that no financial support was received for the research and/or publication of this article.
Conflict of interest
The author declares that the research was conducted in the absence of any commercial or financial relationships that could be construed as a potential conflict of interest.
Generative AI statement
The author(s) declare that no Generative AI was used in the creation of this manuscript.
Any alternative text (alt text) provided alongside figures in this article has been generated by Frontiers with the support of artificial intelligence and reasonable efforts have been made to ensure accuracy, including review by the authors wherever possible. If you identify any issues, please contact us.
Publisher’s note
All claims expressed in this article are solely those of the authors and do not necessarily represent those of their affiliated organizations, or those of the publisher, the editors and the reviewers. Any product that may be evaluated in this article, or claim that may be made by its manufacturer, is not guaranteed or endorsed by the publisher.
References
Ali, M. S., and Ghosh, S. G. (2018). Exact d-dimensional Bardeen-de sitter black holes and thermodynamics. Phys. Rev. D. 98, 084025. doi:10.1103/PhysRevD.98.084025
Ayón-Beato, E., and García, A. (2000). The bardeen model as a nonlinear magnetic monopole. Phys. Lett. B 493, 149–152. doi:10.1016/S0370-2693(00)01125-4
Bambi, C., and Modesto, L. (2013). Rotating regular black holes. Phys. Lett. B 721, 329–334. doi:10.1016/j.physletb.2013.03.025
Blanchette, K., Das, S., Hergott, S., and Rastgoo, S. (2021). Black hole singularity resolution via the modified raychaudhuri equation in loop quantum gravity. Phys. Rev. D. 103, 084038. doi:10.1103/PhysRevD.103.084038
Bojowald, M. (2001). Absence of a singularity in loop quantum cosmology. Phys. Rev. Lett. 86, 5227–5230. doi:10.1103/PhysRevLett.86.5227
Boulware, D. G., and Deser, S. (1985). String-generated gravity models. Phys. Rev. Lett. 55, 2656–2660. doi:10.1103/PhysRevLett.55.2656
Cai, R.-G., and Ohta, N. (2006). Black holes in pure lovelock gravities. Phys. Rev. D. 74, 064001. doi:10.1103/PhysRevD.74.064001
Cai, R.-G., Cao, L.-M., Hu, Y.-P., and Kim, S. P. (2008). Generalized vaidya spacetime in lovelock gravity and thermodynamics on the apparent horizon. Phys. Rev. D. 78, 124012. doi:10.1103/PhysRevD.78.124012
Camanho, X. O., and Edelstein, J. D. (2013). A lovelock Black hole bestiary. Quant. Grav. 30, 035009. doi:10.1088/0264-9381/30/3/035009
Chakraborty, S., and Dadhich, N. (2018). 1/r potential in higher dimensions. Eur. Phys. J. C 78, 81. doi:10.1140/epjc/s10052-018-5546-1
Dadhich, N., and Pons, J. M. (2013). Probing pure lovelock gravity by nariai and bertotti-robinson solutions. J. Math. Phys. 54, 102501. doi:10.1063/1.4825115
Dadhich, N., Ghosh, S. G., and Jhingan, S. (2013). Gravitational collapse in pure lovelock gravity in higher dimensions. Phys. Rev. D. 88, 084024. doi:10.1103/PhysRevD.88.084024
D’Agostino, R., Luongo, O., and Mancini, S. (2024). Geometric and topological corrections to schwarzschild black hole. Eur. Phys. J. C 84, 1060. doi:10.1140/epjc/s10052-024-13440-y
Gannouji, R., and Dadhich, N. (2014). Stability and existence analysis of static black holes in pure lovelock theories. Quant. Grav. 31, 165016. doi:10.1088/0264-9381/31/16/165016
Giribet, G., Oliva, J., and Troncoso, R. (2006). Simple compactifications and black p-branes in gauss-bonnet and lovelock theories. JHEP 05 2006, 007. doi:10.1088/1126-6708/2006/05/007
Jacobson, T., and Myers, R. C. (1993). Black hole entropy and higher curvature interactions. Phys. Rev. Lett. 70, 3684–3687. doi:10.1103/PhysRevLett.70.3684
Kastor, D., and Mann, R. (2006). On black strings and branes in lovelock gravity. JHEP 04, 048. doi:10.1088/1126-6708/2006/04/048
Lovelock, D. (1971). The einstein tensor and its generalizations. J. Math. Phys. (N.Y.) 12, 498–501. doi:10.1063/1.1665613
Mazharimousavi, S. H., and Halilsoy, M. (2008). Einstein-yang-mills black hole solution in higher dimensions by the Wu-Yang ansatz. Phys. Lett. B 659, 471. doi:10.1016/j.physletb.2007.11.006
Myers, R. C., and Simon, J. Z. (1988). Black hole thermodynamics in lovelock gravity. Phys. Rev. D. 38, 2434–2444. doi:10.1103/PhysRevD.38.2434
Shabad, A. E., and Usov, V. V. (2011). Effective lagrangian in nonlinear electrodynamics and its properties of causality and unitarity. Phys. Rev. D. 83, 105006. doi:10.1103/PhysRevD.83.105006
Wang, J.-B., Huang, C.-G., and Li, L. (2016). Entropy of nonrotating isolated horizons in lovelock theory from loop quantum gravity. Chin. Phys. C 40, 083102. doi:10.1088/1674-1137/40/8/083102
T. T. Wu, C. N. Yang, H. Mark, and S. Fernbach (1969). Properties of matter under unusual conditions (New York: Interscience), 349.
Yasskin, P. B. (1975). Solutions for gravity coupled to massless gauge fields. Phys. Rev. D. 12, 2212–2217. doi:10.1103/PhysRevD.12.2212
Keywords: regular Bardeen-like black holes, higher-dimensional pure Lovelock gravity, nonlinear Yang–Mills fields, spherically symmetric, static, regular Bardeen-like black hole solutions, higher-dimensional Wu–Yang ansatz, asymptotically flat
Citation: Mazharimousavi SH (2025) Regular Bardeen-like black holes in higher-dimensional pure Lovelock gravity with nonlinear Yang–Mills fields. Front. Astron. Space Sci. 12:1675093. doi: 10.3389/fspas.2025.1675093
Received: 28 July 2025; Accepted: 18 September 2025;
Published: 15 October 2025.
Edited by:
Hernando Quevedo, National Autonomous University of Mexico, MexicoReviewed by:
José Luis Díaz, Universidad a Distancia de Madrid, SpainMaryam Azizinia, University of Camerino, Italy
Copyright © 2025 Mazharimousavi. This is an open-access article distributed under the terms of the Creative Commons Attribution License (CC BY). The use, distribution or reproduction in other forums is permitted, provided the original author(s) and the copyright owner(s) are credited and that the original publication in this journal is cited, in accordance with accepted academic practice. No use, distribution or reproduction is permitted which does not comply with these terms.
*Correspondence: S. Habib Mazharimousavi, aGFiaWIubWF6aGFyaUBlbXUuZWR1LnRy