ORIGINAL RESEARCH article
Front. Cardiovasc. Med.
Sec. Atherosclerosis and Vascular Medicine
Elevated Neutrophil-to-Lymphocyte Ratio (NLR) and Platelet-to-Lymphocyte Ratio (PLR) in peripheral blood are Associated with Higher Risk of Atherosclerotic Renal ArteryStenosis
M L 1
Zhile Li 2
Hong Ling 2
Xiaojie Wang 2
Yuping Wu 1
Ge Xu 1,3
1. Guangxi Medical University, Nanning, China
2. Youjiang Medical University for Nationalities, Baise, China, Guangx, 533000
3. The Second Affiliated Hospital of GuangXi Medical University, Nanning, China
Select one of your emails
You have multiple emails registered with Frontiers:
Notify me on publication
Please enter your email address:
If you already have an account, please login
You don't have a Frontiers account ? You can register here
Abstract
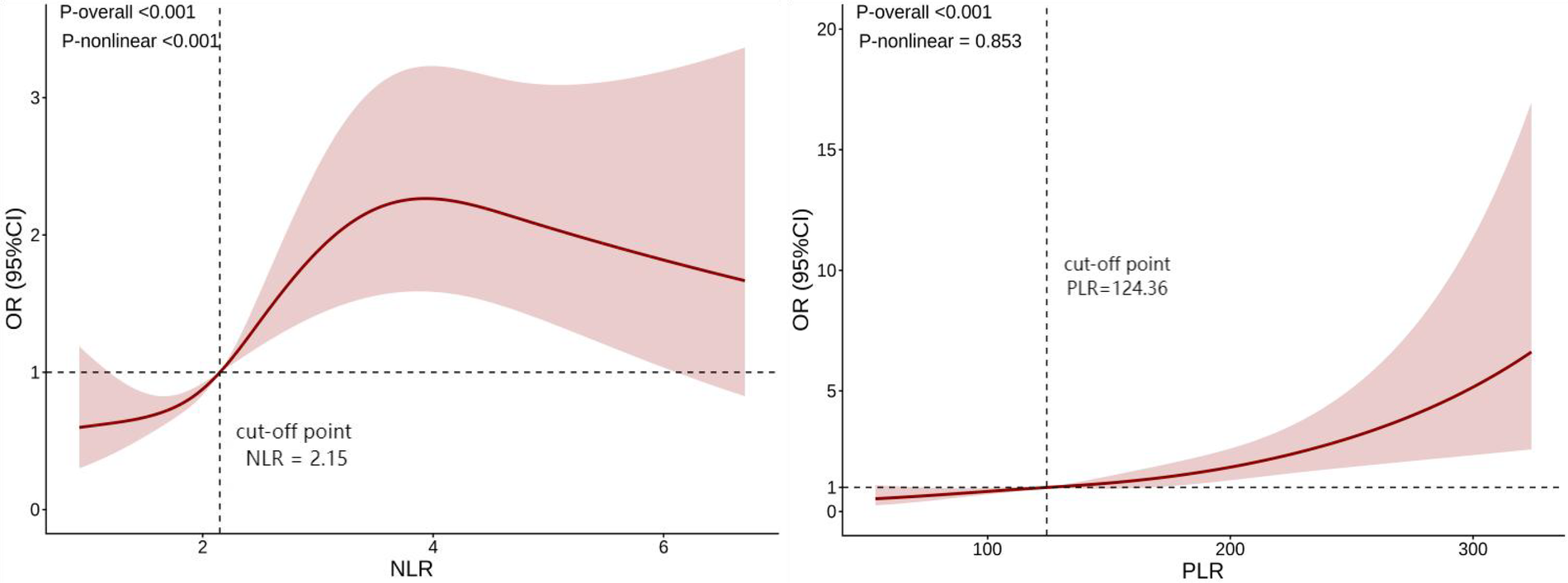
Objectives: The prevalence of atherosclerotic renal artery stenosis (ARAS) has been steadily increasing, yet reliable non-invasive diagnostic methods are lacking. This study investigated the association of platelet to lymphocyte ratio (PLR) and neutrophil to lymphocyte ratio (NLR) with atherosclerotic renal artery stenosis (ARAS). Methods: Data were collected from a total of 1026 patients, including 362 with ARAS and 664 without. RCS, Logistic regression analysis and stratified analysis were conducted to identify significant risk factors. The diagnostic value of PLR and NLR in predicting the occurrence and severity of ARAS was evaluated using receiver operating characteristic curve analysis. Results: NLR and PLR were elevated in ARAS patients and increased with stenosis severity (NLR r = 0.83). NLR exhibited a nonlinear threshold effect at 3.56, with stronger associations below this cutoff. PLR independently predicted ARAS risk (OR 1.009, p < 0.001). ROC analysis showed moderate diagnostic performance, which improved when NLR and PLR were combined with age and serum creatinine (AUC 0.711). In subgroup analyzes, NLR association was amplified in renal impairment, while PLR interaction was significant only in the overweight/obese group. Conclusions: Elevated levels of NLR and PLR are associated with an increased risk of developing ARAS. Moreover, a higher NLR is linked to more severe stenosis in ARAS cases. Therefore, NLR and PLR have the potential to serve as novel indicators for diagnosing ARAS.
Summary
Keywords
Atherosclerotic Renal ArteryStenosis, diagnostic value, Neutrophil-to-lymphocyte ratio, Platelet-to-LymphocyteRatio, risk factor
Received
02 November 2025
Accepted
15 January 2026
Copyright
© 2026 L, Li, Ling, Wang, Wu and Xu. This is an open-access article distributed under the terms of the Creative Commons Attribution License (CC BY). The use, distribution or reproduction in other forums is permitted, provided the original author(s) or licensor are credited and that the original publication in this journal is cited, in accordance with accepted academic practice. No use, distribution or reproduction is permitted which does not comply with these terms.
*Correspondence: Ge Xu
Disclaimer
All claims expressed in this article are solely those of the authors and do not necessarily represent those of their affiliated organizations, or those of the publisher, the editors and the reviewers. Any product that may be evaluated in this article or claim that may be made by its manufacturer is not guaranteed or endorsed by the publisher.