ORIGINAL RESEARCH article
Front. Cell. Infect. Microbiol.
Sec. Clinical Infectious Diseases
Increased Abundance of Actinobacteria and Upregulation of Primary Bile Acid Biosynthesis in Diabetic Foot Ulcers
Provisionally accepted- 1Department of Vascular Surgery, Beijing Jishuitan Hospital, Capital Medical University, Beijing, China
 - 2Shandong First Medical University, Jinan, Shandong, China, jinan, China
 - 3Phase I Drug Clinical Trial Center, Qilu Hospital of Shandong University, Jinan, jinan, China
 - 4The First Affiliated Hospital of Shandong First Medical University & Shandong Provincial Qianfoshan Hospital, Jinan, Shandong, China, jinan, China
 
Select one of your emails
You have multiple emails registered with Frontiers:
Notify me on publication
Please enter your email address:
If you already have an account, please login
You don't have a Frontiers account ? You can register here
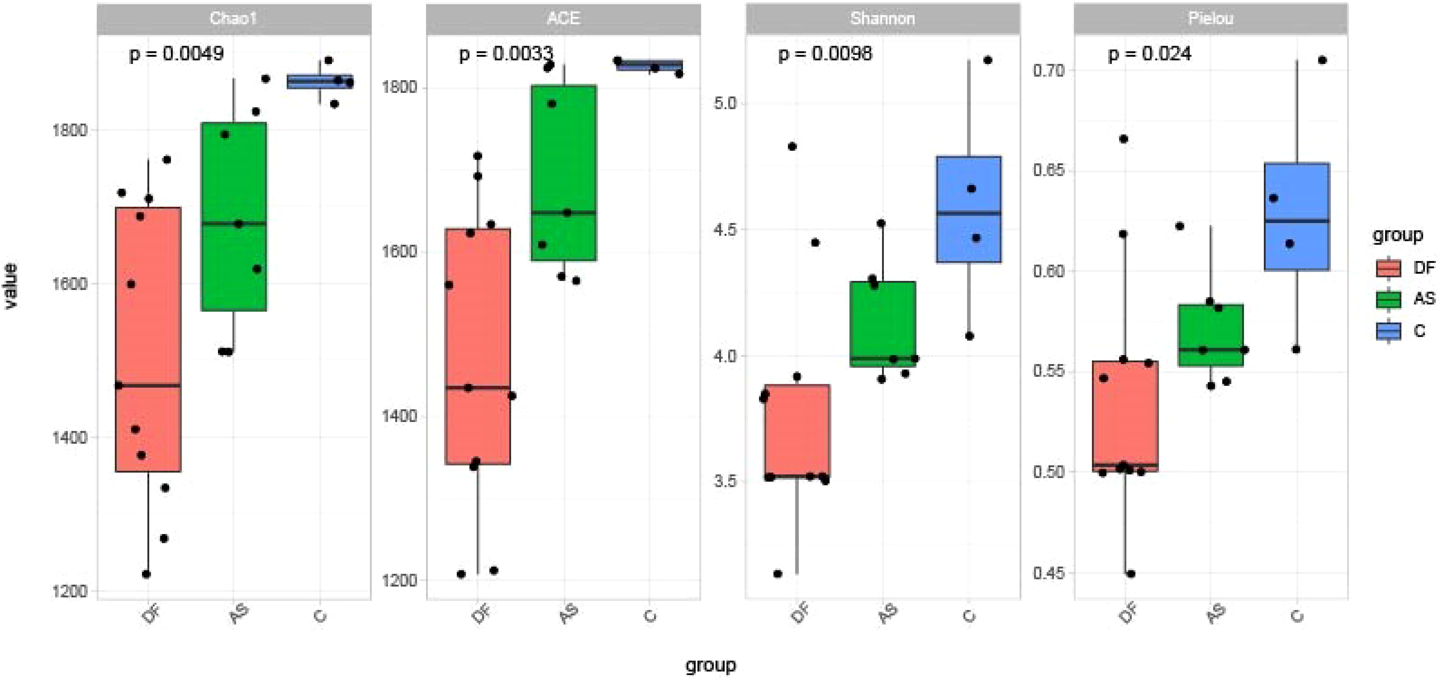
Background Vascular microbial imbalance may disrupt homeostasis and impair wound healing by triggering local and systemic inflammation. Diabetic foot (DF), a severe complication of diabetes, is frequently associated with bacterial infections. However, the arterial microbiota in DF remains unexplored. This study characterizes the arterial microbiota in DF patients and investigates its potential role in disease progression. Methods A total of 22 patients were recruited, including those undergoing surgery for DF, patients with lower limb atherosclerosis (AS) requiring surgery, and trauma patients who underwent amputation as healthy controls (C). Samples were obtained under sterile conditions, and 16S rRNA sequencing was performed. Microbial diversity and functional pathways were analyzed using QIIME2. Results Alpha diversity analysis revealed a progressive decline in microbial diversity from the C group to the AS and DF groups. Beta diversity analysis demonstrated that the DF and AS groups clustered closely, while both exhibited significant microbial compositional differences compared to the C group (ANOSIM, P < 0.01). At the phylum level, Actinobacteria was significantly enriched in the DF and AS groups, whereas TM6 was reduced in the DF group and Proteobacteria was reduced in the AS group. LEfSe analysis identified Corynebacterium, Streptophyta_Group, Caulobacter, Hydrogenophaga, and Diaphorobacter as key representative genera in the DF group. Furthermore, KEGG analysis revealed metabolic alterations in both the DF and AS groups, including upregulated metabolism and organismal system pathways. At level 3, the DF group exhibited significant downregulation of amino sugar and nucleotide sugar metabolism, whereas primary bile acid biosynthesis was markedly upregulated, suggesting a potential role in DF progression. Conclusion DF is associated with distinct alterations in arterial microbiota composition and metabolic pathways. Alterations in Actinobacteria and primary bile acid biosynthesis may be relevant to DF progression and could serve as potential therapeutic targets.
Keywords: Diabetic Foot, 16S rRNA sequencing, microbiota, Atherosclerosis, Actinobacteria, primary bile acid biosynthesis
Received: 22 Jun 2025; Accepted: 03 Nov 2025.
Copyright: © 2025 Zhou, Zhang, Zhang, Wei and Zhou. This is an open-access article distributed under the terms of the Creative Commons Attribution License (CC BY). The use, distribution or reproduction in other forums is permitted, provided the original author(s) or licensor are credited and that the original publication in this journal is cited, in accordance with accepted academic practice. No use, distribution or reproduction is permitted which does not comply with these terms.
* Correspondence: Xiaojun  Zhou, 1989919zm@163.com
Disclaimer: All claims expressed in this article are solely those of the authors and do not necessarily represent those of their affiliated organizations, or those of the publisher, the editors and the reviewers. Any product that may be evaluated in this article or claim that may be made by its manufacturer is not guaranteed or endorsed by the publisher.
