ORIGINAL RESEARCH article
Front. Cell. Infect. Microbiol.
Sec. Virus and Host
Virucidal and cytotoxic properties of a natural honeybee hives-derived formulation suspended with marine plasma
Provisionally accepted- 1Uniwersytet Przyrodniczy we Wroclawiu, Wrocław, Poland
- 2Uniwersytet Wroclawski, Wrocław, Poland
- 3Uniwersytet Warminsko-Mazurski w Olsztynie, Olsztyn, Poland
- 4Medical University of Silesia, Katowice, Poland
Select one of your emails
You have multiple emails registered with Frontiers:
Notify me on publication
Please enter your email address:
If you already have an account, please login
You don't have a Frontiers account ? You can register here
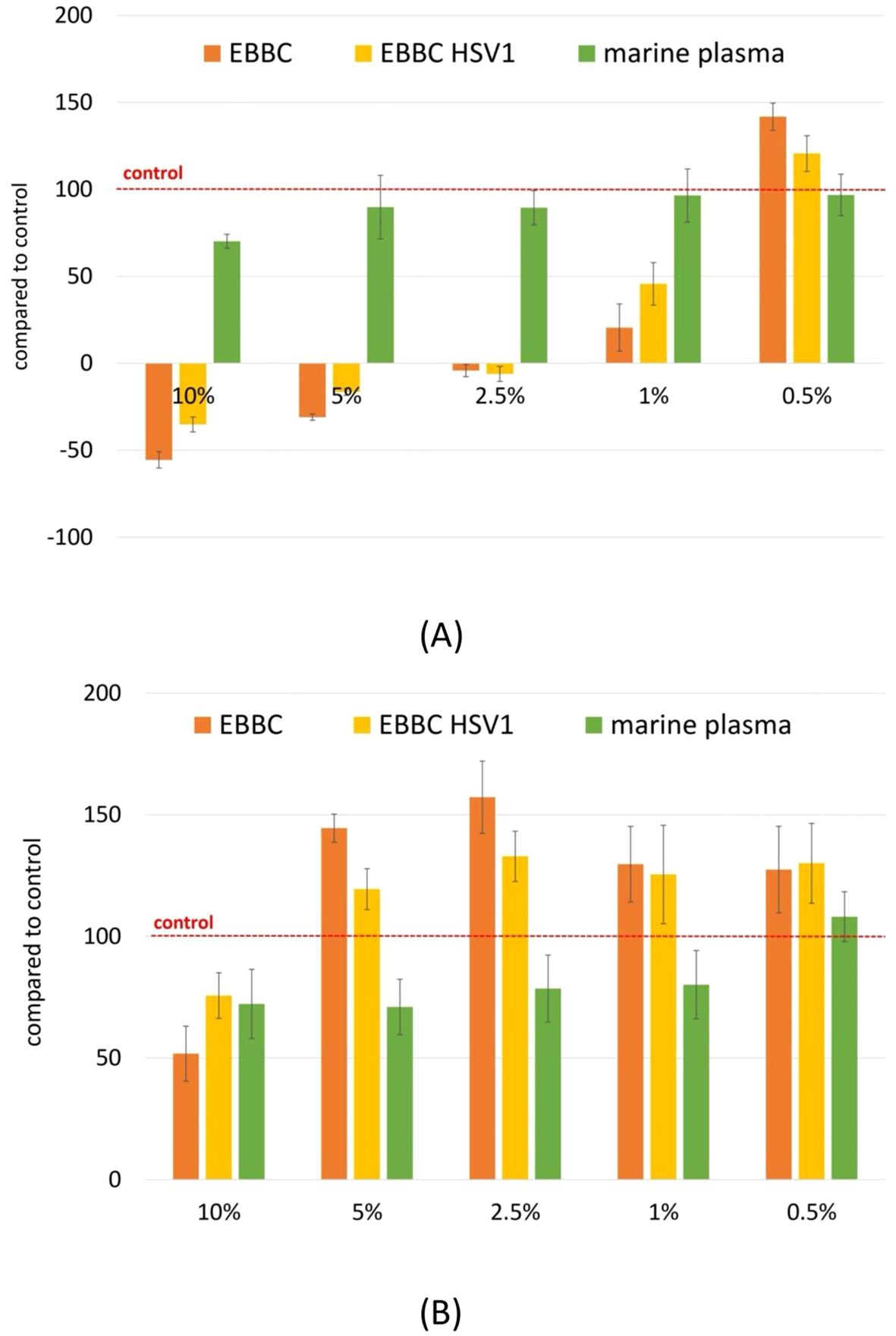
New viral pathogens continue to threaten global health, driving the pursuit of innovative therapeutic strategies. In this context, bee-derived products—particularly those fortified with lysozyme—are garnering increasing attention for their potential antiviral activity. The study evaluated the virucidal and cytotoxic properties of a novel formulation combining extract from bee brood caps (EBBC) and enhanced marine plasma, to assess its potential as an effective antiviral agent in preventing viral infections. The chemical composition and biological activity of EBBC were analyzed using gas chromatography-mass spectroscopy (GC-MS) and lysozyme assays. Cytotoxicity was evaluated using the SRB assay on normal epithelial CCD841 and fibroblast NHDF cell lines. Virological testing was conducted according to European (PN-EN 14476+ A2:2019-08) and ISO (ISO 18184) standards. The effect on virus entry into cells was further examined using fluorescence microscopy. EBBC demonstrated significant virucidal activity, achieving ≥ 99.99% efficacy at concentrations as low as 0.01%. The formulation was effective against all viruses tested. The cytotoxicity assays revealed that the preparation had minimal toxicity, with concentration-dependent inhibition of epithelial cell growth and stimulation of fibroblast proliferation. EBBC exhibits strong antiviral properties, effective at low concentrations, and shows minimal cytotoxicity. Its unique combination suggests it could be a promising therapeutic agent for preventing viral infections, offering a potential alternative to traditional antiviral treatments. These findings highlight EBBC's potential for further development as a broad-spectrum antiviral product.
Keywords: bee-derived products, Cytotoxicity, honeybee cap extract, lysozyme, enhancedmarine plasma, virucidal activity
Received: 15 Jul 2025; Accepted: 24 Oct 2025.
Copyright: © 2025 Bażanów, Migdał, Chwirot, Kublicka, Gębarowski, Chorbiński, Vogt, Szumny, Kaczmar, Michalczyk and Stygar. This is an open-access article distributed under the terms of the Creative Commons Attribution License (CC BY). The use, distribution or reproduction in other forums is permitted, provided the original author(s) or licensor are credited and that the original publication in this journal is cited, in accordance with accepted academic practice. No use, distribution or reproduction is permitted which does not comply with these terms.
* Correspondence: Dominika Stygar, dstygar@gmail.com
Disclaimer: All claims expressed in this article are solely those of the authors and do not necessarily represent those of their affiliated organizations, or those of the publisher, the editors and the reviewers. Any product that may be evaluated in this article or claim that may be made by its manufacturer is not guaranteed or endorsed by the publisher.
