ORIGINAL RESEARCH article
Front. Cell. Infect. Microbiol.
Sec. Clinical Infectious Diseases
This article is part of the Research TopicNeglected Tropical Diseases: Drug Targets, and Potential TreatmentsView all 6 articles
Auxin-Mediated biosynthesis of silver nanoparticles: comprehensive characterisation and antibacterial activity analysis
Provisionally accepted- 1Amity University Rajasthan, Jaipur, India
- 2Imam Muhammad Ibn Saud Islamic University College of Science, Riyadh, Saudi Arabia
- 3Amity University Noida, Noida, India
- 4Maharana Pratap University of Agriculture and Technology, Udaipur, India
Select one of your emails
You have multiple emails registered with Frontiers:
Notify me on publication
Please enter your email address:
If you already have an account, please login
You don't have a Frontiers account ? You can register here
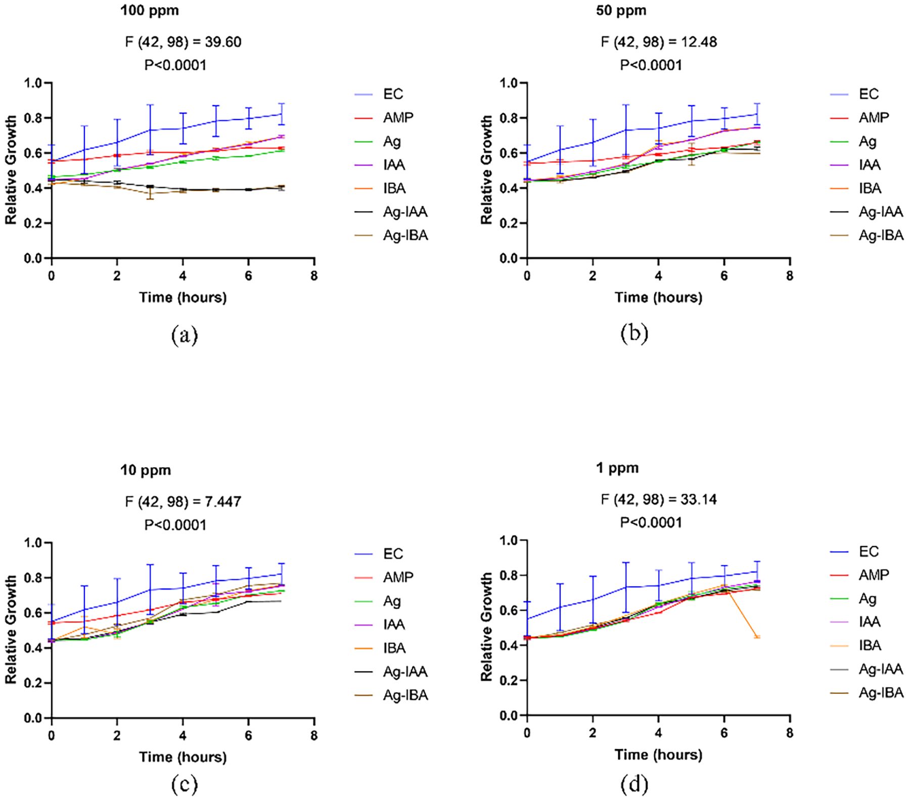
Abstract Silver nanoparticles (AgNPs) possess antibacterial properties, but antibiotic resistance necessitates alternative antimicrobial solutions. This study explores the synthesis of AgNPs using biomolecules, also known as plant growth hormones, "Auxins", including indole-3-acetic acid (IAA) and indole-3-butyric acid (IBA), and evaluates their antibacterial activity. AgNPs were synthesised using IAA, IBA and characterised through UV-Visible spectroscopy, FTIR, Particle Size Analyser, including DLS for hydrodynamic diameter, Zeta potential for surface charge, and FE-SEM. Antibacterial assays were conducted against S. aureus and E. coli. The synthesised AgNPs exhibited controlled composition and enhanced antibacterial activity, particularly against S. aureus. IAA and IBA-mediated AgNPs offer an eco-friendly approach for the synthesis of nanoparticles and demonstrate their potential as antibacterial agents against resistant pathogens.
Keywords: Nanoparticles, Antimicrobial activity, antibiotic, indole-3-acetic acid, Indole-3-butyric acid, green nanotechnology, Auxin-mediated synthesis
Received: 02 Aug 2025; Accepted: 27 Oct 2025.
Copyright: © 2025 ., Chaudhary, Sorout, Yadav, Ali, Boufahja, Kumar, Kothari, Jain and Sambhav. This is an open-access article distributed under the terms of the Creative Commons Attribution License (CC BY). The use, distribution or reproduction in other forums is permitted, provided the original author(s) or licensor are credited and that the original publication in this journal is cited, in accordance with accepted academic practice. No use, distribution or reproduction is permitted which does not comply with these terms.
* Correspondence: Kumar Sambhav, kumarsambhav29@gmail.com
Disclaimer: All claims expressed in this article are solely those of the authors and do not necessarily represent those of their affiliated organizations, or those of the publisher, the editors and the reviewers. Any product that may be evaluated in this article or claim that may be made by its manufacturer is not guaranteed or endorsed by the publisher.
