ORIGINAL RESEARCH article
Front. Cell. Infect. Microbiol.
Sec. Clinical Infectious Diseases
This article is part of the Research TopicMathematical Modelling and Data Analysis in Infectious DiseasesView all 5 articles
The burden of Infective Encephalitis in children in Asian countries (1990–2021): Systematic analysis and projection of the burden of disease
Provisionally accepted- 1Kunming Children's Hospital, Kunming, China
- 2Kunming Medical University, Kunming, China
- 3The First People's Hospital of Yunnan Province, Kunming, China
- 4Kunming University of Science and Technology, Kunming, China
Select one of your emails
You have multiple emails registered with Frontiers:
Notify me on publication
Please enter your email address:
If you already have an account, please login
You don't have a Frontiers account ? You can register here
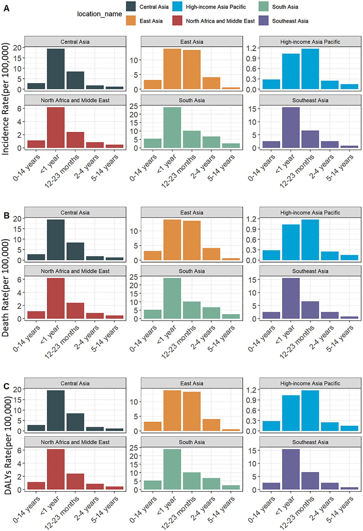
Background: Infective encephalitis (IE) constitutes a severe neurological disorder with considerable morbidity and mortality among children, particularly in Asia, where stark disparities in socioeconomic status and healthcare accessibility prevail. Despite its substantial impact, comprehensive epidemiological investigations into pediatric IE across Asia remain scarce. Objective: This study aimed to systematically evaluate the burden of pediatric IE in Asia from 1990 to 2021, examine its association with sociodemographic development, identify major risk factors, and forecast future trends. Methods: Utilizing data from the Global Burden of Disease (GBD) 2021 study, we retrieved incidence, mortality, and disability-adjusted life years (DALYs) for individuals aged 0–14 years across six Asian regions and more than 50 countries. Statistical methods included trend analysis via estimated annual percentage change (EAPC), Spearman's correlation between disease burden and the Sociodemographic Index (SDI), and decomposition of risk factors. A Bayesian Age-Period-Cohort (BAPC) model was employed to project trends in China, Japan, South Korea, and India from 2022 to 2035. Results: In 2021, Asia recorded 537,750 IE cases (49.3 per 100,000), 18,844 deaths (1.7 per 100,000), and 1.69 million DALYs (155.1 per 100,000). Between 1990 and 2021, there were substantial reductions in the burden of IE: incidence declined by 28.1% (from 68.6 to 49.3 per 100,000), mortality by 53.2% (from 3.7 to 1.7 per 100,000), and DALYs by 53.2% (from 331.0 to 155.1 per 100,000). South Asia exhibited the highest burden (71.7 incidence, 2.5 mortality, 226.7 DALYs per 100,000), whereas the High-income Asia Pacific region reported the lowest (11.7, 0.1, 11.6 per 100,000). SDI demonstrated strong inverse correlations with incidence (r = −0.73), mortality (r = −0.87), and DALYs (r = −0.87). Low birth weight/prematurity and particulate matter pollution emerged as principal risk factors. Forecasts suggest continued declines by 2035, with India and China projected to see the most pronounced reductions in incidence (−62.4% and −41.3%, respectively). Conclusion: Although the burden of IE has markedly declined since 1990, it remains a pressing public health concern in low-SDI Asian regions. Focused strategies addressing undernutrition, environmental hazards, and neonatal health are imperative.
Keywords: Infective encephalitis, Pediatrics, Asia, disease burden, Global Burden of Disease (GBD)
Received: 08 Aug 2025; Accepted: 04 Nov 2025.
Copyright: © 2025 Luo, Wang, Feng, Yang, Guo, Feng and Xia. This is an open-access article distributed under the terms of the Creative Commons Attribution License (CC BY). The use, distribution or reproduction in other forums is permitted, provided the original author(s) or licensor are credited and that the original publication in this journal is cited, in accordance with accepted academic practice. No use, distribution or reproduction is permitted which does not comply with these terms.
* Correspondence: Xueshan Xia, oliverxia2000@aliyun.com
Disclaimer: All claims expressed in this article are solely those of the authors and do not necessarily represent those of their affiliated organizations, or those of the publisher, the editors and the reviewers. Any product that may be evaluated in this article or claim that may be made by its manufacturer is not guaranteed or endorsed by the publisher.
