Your new experience awaits. Try the new design now and help us make it even better

ORIGINAL RESEARCH article

Front. Cell. Infect. Microbiol.

Sec. Antibiotic Resistance and New Antimicrobial drugs

Volume 15 - 2025 | doi: 10.3389/fcimb.2025.1685606

This article is part of the Research TopicAntimicrobial Resistance and Gastrointestinal Pathogens in Rural and Understudied Environments: From Human and Animal Microbiota to Novel Therapeutic StrategiesView all articles

COVID-19 Pandemic Increased ESKAPEEc Bloodstream Infections and Amplified Carbapenem Resistance in Chinese Children: a Multicentre Surveillance Study (2016–2023)

Provisionally accepted
Li  XiaoqiangLi Xiaoqiang1Xu  HongmeiXu Hongmei1Wang  CaiWang Cai1Ruiqiu  ZhaoRuiqiu Zhao1Wu  JiayingWu Jiaying1Yu  HuiYu Hui2Chuanqing  WangChuanqing Wang2Pan  FuPan Fu2Jikui  DengJikui Deng3Chunzhen  HuaChunzhen Hua4Yinghu  ChenYinghu Chen4Mingming  ZhouMingming Zhou4Ting  ZhangTing Zhang5Zhang  HongZhang Hong5Chen  Yiping ChenChen Yiping Chen6Shifu  WangShifu Wang7Qing  CaoQing Cao5Huiling  DengHuiling Deng8Cai  HuijunCai Huijun8Hao  JianhuaHao Jianhua9Zhou  YuyangZhou Yuyang9Jing  ChunmeiJing Chunmei1,10*
  • 1Children‘s Hospital of Chongqing Medical University, Chongqing, China
  • 2Children's Hospital of Fudan University National Children's Medical Center, Shanghai, China
  • 3Shenzhen Children's Hospital, Shenzhen, China
  • 4Zhejiang University School of Medicine Children's Hospital, Hangzhou, China
  • 5Children's Hospital of Shanghai, Shanghai, China
  • 6The Second Affiliated Hospital and Yuying Children's Hospital of Wenzhou Medical University, Wenzhou, China
  • 7Children's Hospital Affiliated to Shandong University, Jinan, China
  • 8Xi'an Jiaotong University Affiliated Children's Hospital, Xi'an, China
  • 9Children's Hospital of Kaifeng, Kaifeng, China
  • 10Chongqing University, Chongqing, China

The final, formatted version of the article will be published soon.

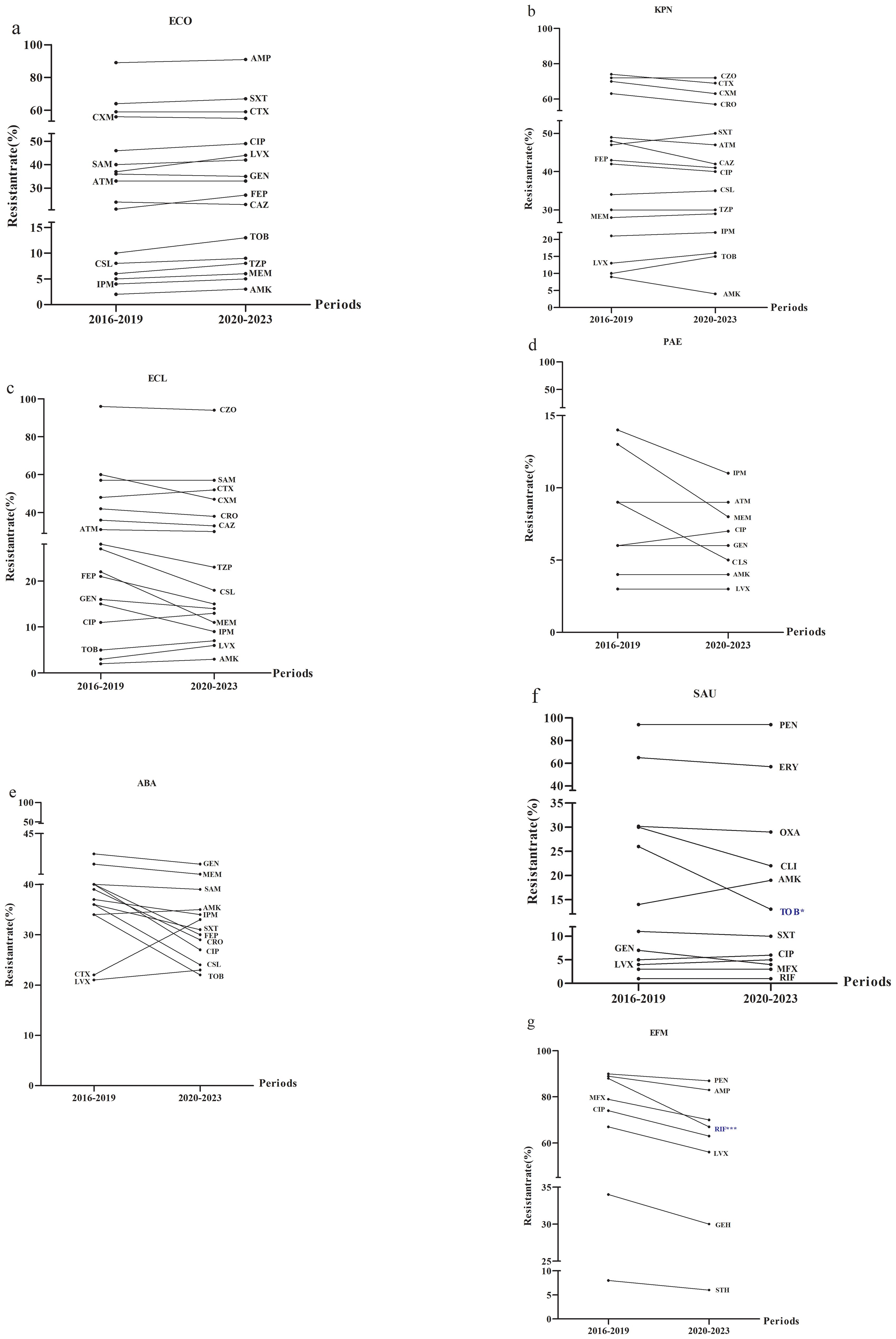
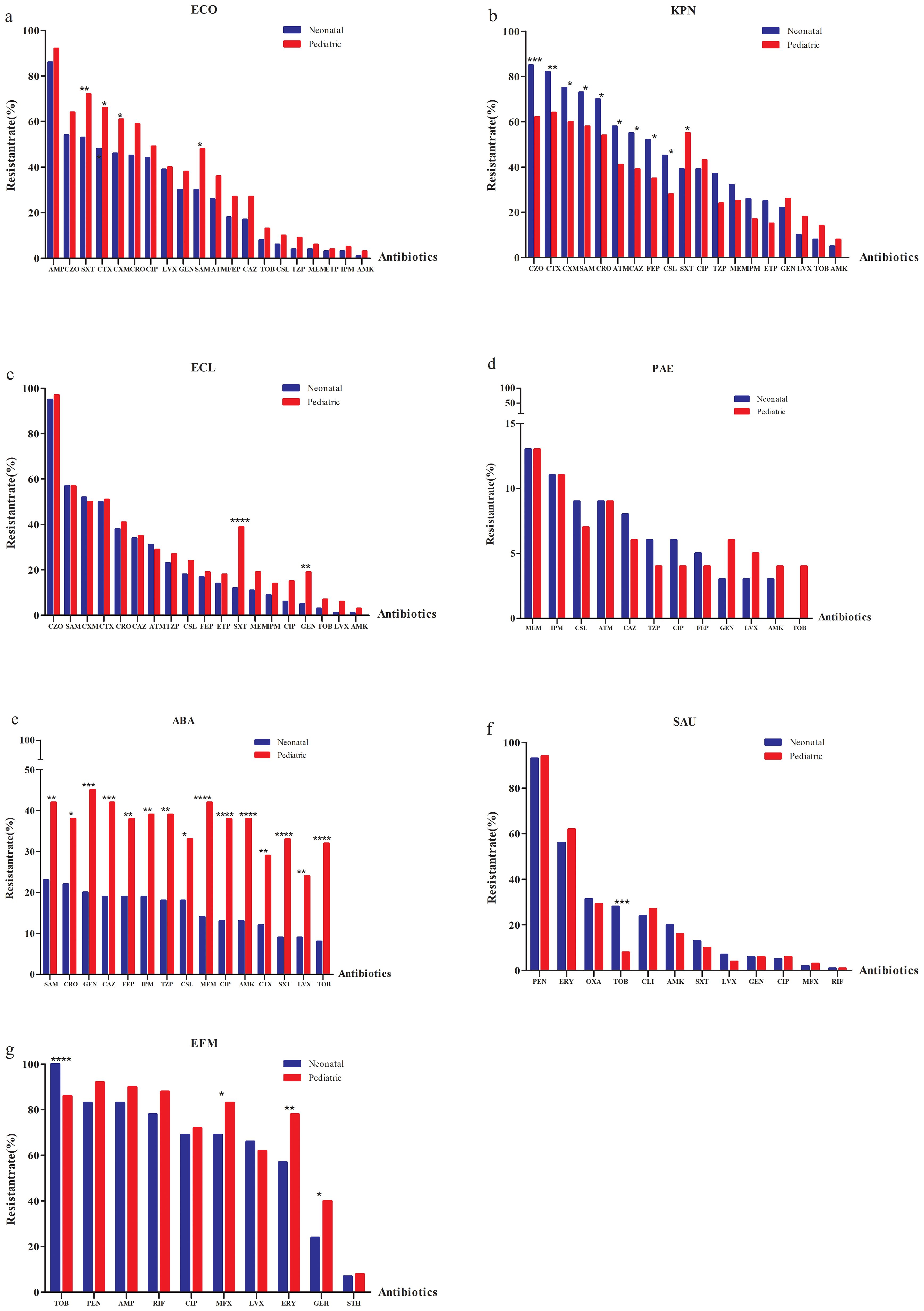
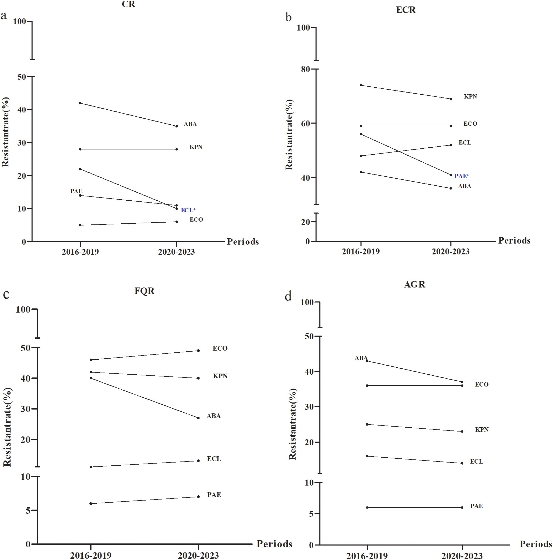
Objective: This study investigated the long-term trends in the distribution and antibiograms of ESKAPEEc pathogens in neonatal and pediatric bloodstream infections (BSIs), shifts in minimum inhibitory concentration (MIC) of vancomycin and linezolid in Staphylococcus aureus, along with the changing patterns of antimicrobial resistance phenotypes over time in China. Methods: A multicenter retrospective surveillance study was carried out from 2016 to 2023 at 12 tertiary pediatric hospitals across nine provinces and autonomous regions in China. The collected data were analyzed using GraphPad Prism 8 and WHONET 5.6. Temporal variations and linear trends were evaluated using chi-square or Fisher's exact tests. Results: A total of 10,051 ESKAPEEc strains accounted for 22.5% (10,051/44,675) of all BSIs, with 32.3% from neonatal BSIs and 67.7% from pediatric BSIs. The detection of ESKAPEEc pathogens significantly decreased for the coronavirus disease 2019 (COVID-19) infection periods compared to the pre-pandemic period. Carbapenem resistance levels were 5.5% in Escherichia coli, 28.0% in Klebsiella pneumoniae, 16.0% in Enterobacter cloacae, 12.5% in Pseudomonas aeruginosa and 38.5% in Acinetobacter baumannii. Both Staphylococcus aureus and Enterococcus faecium remained fully susceptible to vancomycin and linezolid. Staphylococcus aureus displayed a declining resistance to macrolides and aminoglycosides but increasing resistance to fluoroquinolones, whereas Enterococcus faecium exhibited reduced resistance to all tested antibiotics. Significant temporal differences were observed in MRSA isolates with linezolid MIC ≥2 μg/mL but not in MSSA isolates. The MIC50 of vancomycin in MRSA strains was either equal to or higher than in MSSA strains from 2016 to 2022. Conclusions: The incidence of ESKAPEEc in BSIs has increased,and the rising resistance to imipenem and meropenem in Escherichia coli and Klebsiella pneumoniae underscores the need for continued surveillance. Carbapenems remain effective against Gram-negative ESKAPEEc, while vancomycin and linezolid remain effective against Gram-positive ESKAPEEc. The MIC values for vancomycin in MRSA strains remained stable over time, whereas a decreasing susceptibility trend to vancomycin in MSSA strains and linezolid MIC shifts were not observed.Our findings are expected to provide to treatment of bloodstream infections in children and evidence on best practices and resource sharing for policy consideration to healthcare providers at the local and international levels.

Keywords: bloodstream infections, ESKAPEEc, antimicrobial resistance, time trend, Drift, neonatal, pediatric

Received: 14 Aug 2025; Accepted: 02 Oct 2025.

Copyright: © 2025 Xiaoqiang, Hongmei, Cai, Zhao, Jiaying, Hui, Wang, Fu, Deng, Hua, Chen, Zhou, Zhang, Hong, Yiping Chen, Wang, Cao, Deng, Huijun, Jianhua, Yuyang and Chunmei. This is an open-access article distributed under the terms of the Creative Commons Attribution License (CC BY). The use, distribution or reproduction in other forums is permitted, provided the original author(s) or licensor are credited and that the original publication in this journal is cited, in accordance with accepted academic practice. No use, distribution or reproduction is permitted which does not comply with these terms.

* Correspondence: Jing Chunmei, jcm791203@163.com

Disclaimer: All claims expressed in this article are solely those of the authors and do not necessarily represent those of their affiliated organizations, or those of the publisher, the editors and the reviewers. Any product that may be evaluated in this article or claim that may be made by its manufacturer is not guaranteed or endorsed by the publisher.