ORIGINAL RESEARCH article
Front. Cell. Infect. Microbiol.
Sec. Clinical Infectious Diseases
This article is part of the Research TopicChallenges and Perspectives for Improved Understanding and Management of Multifaceted Co-InfectionView all 7 articles
Pathogen Profile of Co-infections and Mortality Determinants among Patients with Severe Fever with Thrombocytopenia Syndrome
Provisionally accepted- The Second Affiliated Hospital of Anhui Medical University, Hefei, China
Select one of your emails
You have multiple emails registered with Frontiers:
Notify me on publication
Please enter your email address:
If you already have an account, please login
You don't have a Frontiers account ? You can register here
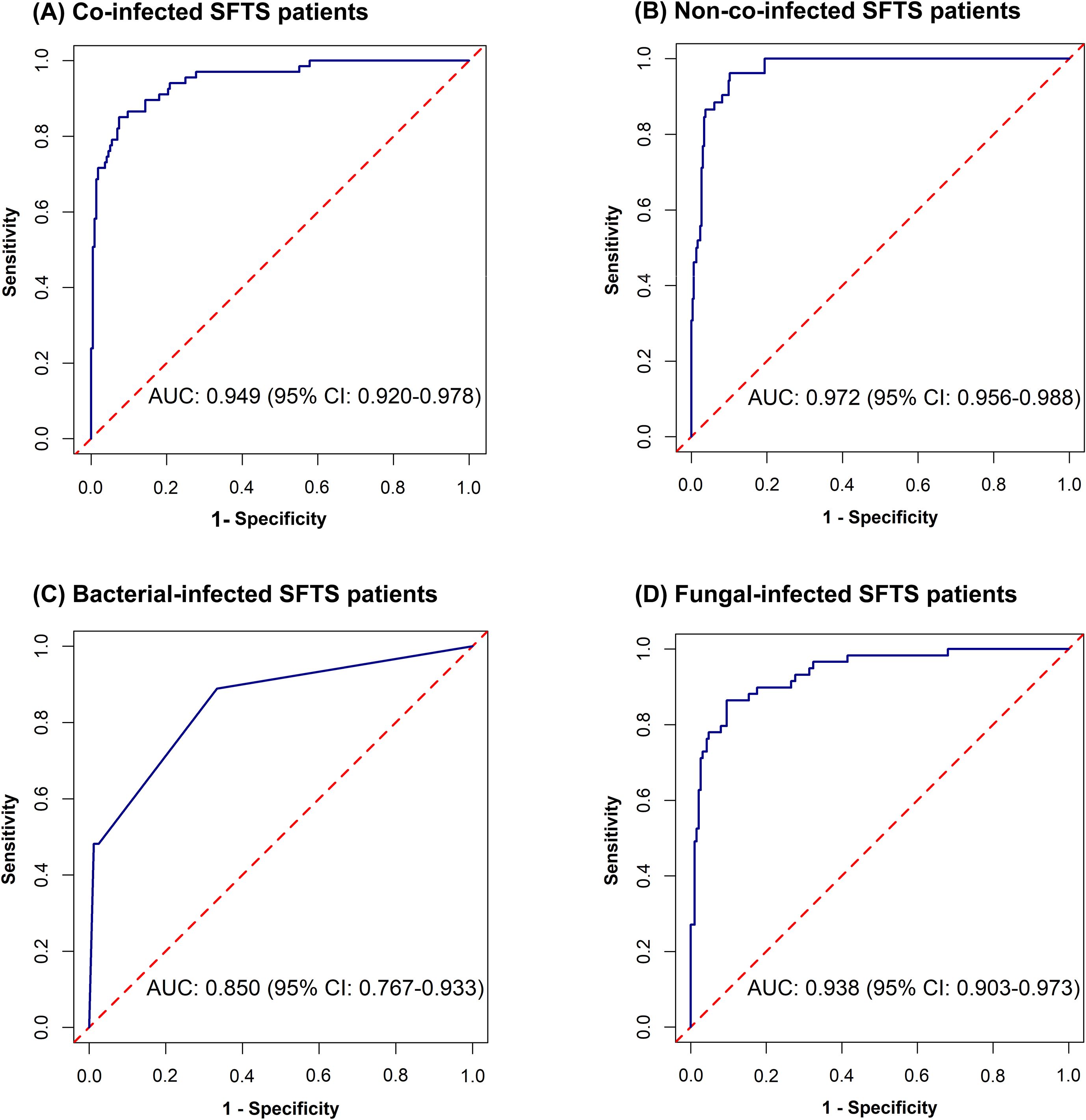
Objectives: Severe fever with thrombocytopenia syndrome (SFTS) poses an increasing threat to global public health. This study aimed to investigate pathogen characteristics of bacterial/fungal co-infections and determine prognostic factors for mortality in co-infected SFTS patients. Methods: Demographic and clinical data were collected for eligible SFTS patients admitted to a sentinel hospital. LASSO and multivariable logistic regression were used to identify independent predictors. Results: A total of 629 SFTS patients were included, of whom 283 (45.0%) presented with co-infections. Most isolates (75.9%) obtained from respiratory specimens. Among 127 isolated fungi, Aspergillus fumigatus (29.9%) was predominant, followed by Candida albicans (28.3%). Of 159 bacteria, Klebsiella pneumoniae (13.8%) and Acinetobacter baumannii (13.8%) were the most common. Co-infected patients had significantly longer hospital stays, higher costs, and increased mortality. Multivariable logistic regression analysis revealed that antifungal use, transfer to the ICU, receiving CRRT, presence of central nervous system symptoms, mechanical ventilation, older age, and elevated levels of LDH were independent predictive factors of mortality risk among co-infected SFTS patients, and a nomogram was constructed. The ROC curve showed that the nomogram achieved an AUC of 0.949, and DCA confirmed the clinical utility. Conclusion: This study highlights that bacterial/fungal co-infections are highly prevalent and clinically impactful in SFTS patients, warranting enhanced microbial surveillance and targeted intervention.
Keywords: Severe fever with thrombocytopenia syndrome, Bacteria, Fungi, Co-infection, Mortality
Received: 27 Aug 2025; Accepted: 24 Nov 2025.
Copyright: © 2025 Hu, Xia, Zhang and Zhang. This is an open-access article distributed under the terms of the Creative Commons Attribution License (CC BY). The use, distribution or reproduction in other forums is permitted, provided the original author(s) or licensor are credited and that the original publication in this journal is cited, in accordance with accepted academic practice. No use, distribution or reproduction is permitted which does not comply with these terms.
* Correspondence: Zhen-Hua Zhang, zzh1974cn@163.com
Disclaimer: All claims expressed in this article are solely those of the authors and do not necessarily represent those of their affiliated organizations, or those of the publisher, the editors and the reviewers. Any product that may be evaluated in this article or claim that may be made by its manufacturer is not guaranteed or endorsed by the publisher.
