ORIGINAL RESEARCH article
Front. Endocrinol.
Sec. Translational and Clinical Endocrinology
This article is part of the Research TopicUtilizing Real-World Evidence for Better Endocrine Health ManagementView all 7 articles
Exploring the relationship of triglyceride to high-density lipoprotein cholesterol and the triglyceride-glucose index with white matter hyperintensities in individuals with type 2 diabetes: a cross-sectional analysis
Provisionally accepted- Jiaxing University, Jiaxing, China
Select one of your emails
You have multiple emails registered with Frontiers:
Notify me on publication
Please enter your email address:
If you already have an account, please login
You don't have a Frontiers account ? You can register here
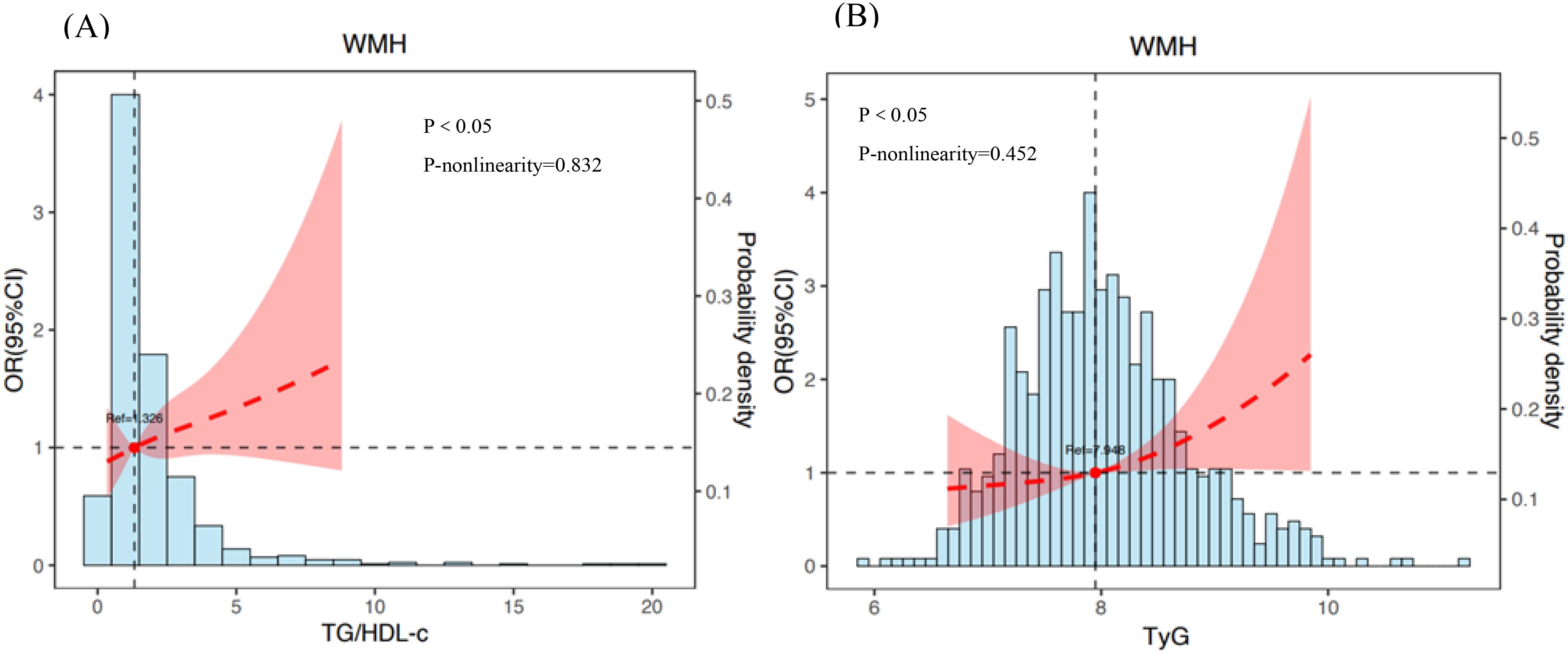
Background: Previous studies have shown that the triglyceride-glucose index (TyG) is associated with white matter hyperintensities (WMH) in a healthy population, acting as a marker of insulin resistance (IR). Triglyceride to high-density lipoprotein cholesterol ratio (TG/HDL-c) has been also recognized as marker for IR. However, the connection between TyG or TG/HDL-c and WMH in type 2 diabetes mellitus (T2DM) patients is unclear. The aim of this study was to examine the link between TG/HDL-c or TyG and WMH in patients with T2DM. Methods: The study enrolled a total of 420 T2DM patients. The WMH in baseline brain MRI scans was measured using the modified Fazekas scale. The relationship between WMH risk and severity in relation to TG/HDL-c and TyG was assessed through logistic and ordered logistic regression analyses. The variance inflation factor was employed to examine variable collinearity. Potential nonlinear relationships between TG/HDL-c or TyG and the risk of WMH were examined using restricted cubic splines. Results: The median age of the study participants was 57.0 (18.0) years, 280 (66.7%) were men, and 263 (62.7%) were WMH-positive. The Fazekas score was correlated with the TG/HDL-c (r=0.366, P = 0.035) and TyG(r = 0.088, P = 0.025). Binary logistic regression analysis showed that TG/HDL-c (OR=1.252, 95% CI 1.074-1.459) and TyG (OR=1.883, 95% CI 1.359-2.609) were associated with the WMH. Multivariate adjusted restricted cubic spline plots showed a linear relationship between TG/HDL-c or TyG (P < 0.05, P-nonlinear > 0.05) and WMH. Multiple ordered logistic regression analyses showed that TG/HDL-c(OR=1.123, 95% CI 1.028-1.226) and TyG (OR=1.606, 95% CI 1.237-2.085) were independently associated with the burden of WMH. Subgroup analysis showed that TG/HDL-c were more substantially correlated with the WMH in male T2DM patients with a shorter duration of diabetes, younger age, lower blood pressure levels, and poor glycaemic control (p<0.05). A comparable association of the TyG with WMH was also observed in these subgroups. Conclusion: The TyG and TG/HDL-c were independently and significantly associated with a higher prevalence and burden of WMH in patients with T2DM, which emphasizes the potential usefulness of these markers in early risk stratification.
Keywords: type 2 diabetes mellitus, Triglyceride glucose index, white matter hyperintensities, Insulin Resistance, Triglyceride to high-density lipoprotein cholesterol ratio
Received: 01 Jun 2025; Accepted: 10 Nov 2025.
Copyright: © 2025 Pan, Zheng, Dong, Zhang, Hu, Tang and Xu. This is an open-access article distributed under the terms of the Creative Commons Attribution License (CC BY). The use, distribution or reproduction in other forums is permitted, provided the original author(s) or licensor are credited and that the original publication in this journal is cited, in accordance with accepted academic practice. No use, distribution or reproduction is permitted which does not comply with these terms.
* Correspondence: Hanwen Xu, drxhw@zjxu.edu.cn
Disclaimer: All claims expressed in this article are solely those of the authors and do not necessarily represent those of their affiliated organizations, or those of the publisher, the editors and the reviewers. Any product that may be evaluated in this article or claim that may be made by its manufacturer is not guaranteed or endorsed by the publisher.
