ORIGINAL RESEARCH article
Front. Endocrinol.
Sec. Bone Research
This article is part of the Research TopicMetabolic and Biomechanical Factors in Bone Fragility: New Frontiers in Understanding and Managing OsteoporosisView all 7 articles
A Threshold of β-CTX (0.3 ng/mL) with Low Estradiol Identifies High-Risk Perimenopausal Women for Bone Loss: A Cross-Sectional Study
Provisionally accepted- 1Ganzhou Maternal and Child Health Care Hospital, Ganzhou, China
- 2Ganzhou People's Hospital, Ganzhou, China
Select one of your emails
You have multiple emails registered with Frontiers:
Notify me on publication
Please enter your email address:
If you already have an account, please login
You don't have a Frontiers account ? You can register here
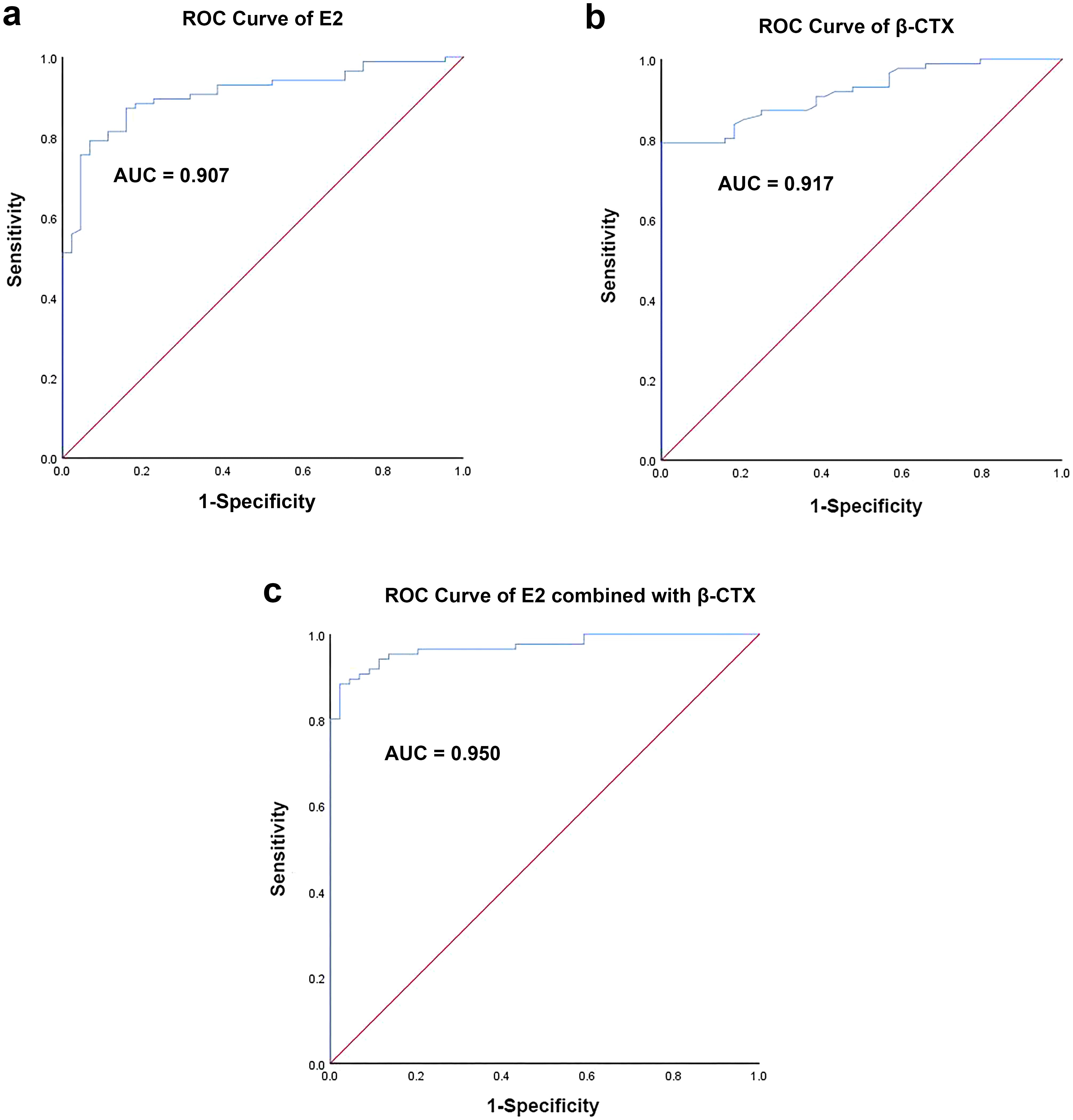
Study Design. A cross-sectional study. Background. Increasing evidence has demonstrated accelerated bone loss during perimenopause. The detection of bone loss relies heavily on dual-energy X-ray absorptiometry (DXA). However, DXA is not sensitive enough for early bone loss. Therefore, an easy and sensitive method is urgently needed for identifying high-risk women before irreversible bone loss occurs. Objective. To 1) define a clinically meaningful β-CTX threshold (≥ 0.3 ng/mL) for perimenopausal bone loss prediction, 2) assess the predictive value of E2 and β-CTX, both individually and in combination, for bone loss in perimenopausal women. Methods. One hundred and thirty female participants met the inclusion/exclusion criteria were enrolled in this study from March 2024 to March 2025. Enrolled subjects underwent DXA examination and blood tests, including measurements of E2, β-CTX, TP1NP, D3, and IGF-1. The correlations between E2, β-CTX, TP1NP, D3, IGF-1 and T-scores were performed using Spearman correlation analysis. The predicting value of E2, β-CTX and combination for perimenopausal bone loss were studied by ROC curve analysis. Results. There were significant correlations between E2, β-CTX, TP1NP and T-scores, but not between D3, IGF-1 and T-scores. The threshold value of E2 alone in predicting perimenopausal bone loss was 62.7 pmol/L. Its sensitivity and specificity were 79.1% and 93.2%, respectively. The threshold value of β-CTX alone in predicting perimenopausal bone loss was 0.30 ng/mL. Its sensitivity and specificity were 79.3% and 96.4%, respectively. The ROC curve of E2 combined with β-CTX showed that the AUC was 0.950. Its sensitivity and specificity were 88.4% and 97.7%, respectively, which were higher than that in E2 and β-CTX alone. Conclusion. A clinically meaningful β-CTX threshold (≥ 0.3 ng/mL) was defined for perimenopausal bone loss prediction, and the combination of E2 and β-CTX is a simple and reliable method for predicting perimenopausal bone loss, with high sensitivity and specificity. A threshold of β-CTX (0.3 ng/mL) with low estradiol identifies high-risk perimenopausal women for bone loss.
Keywords: β-C-terminal telopeptide, Estradiol, bone loss, Perimenopausal, prediction
Received: 21 Sep 2025; Accepted: 04 Nov 2025.
Copyright: © 2025 Feng, Xiao and Zhang. This is an open-access article distributed under the terms of the Creative Commons Attribution License (CC BY). The use, distribution or reproduction in other forums is permitted, provided the original author(s) or licensor are credited and that the original publication in this journal is cited, in accordance with accepted academic practice. No use, distribution or reproduction is permitted which does not comply with these terms.
* Correspondence:
Xufen Feng, f15979742048@163.com
Rongshan Zhang, 272900283@qq.com
Disclaimer: All claims expressed in this article are solely those of the authors and do not necessarily represent those of their affiliated organizations, or those of the publisher, the editors and the reviewers. Any product that may be evaluated in this article or claim that may be made by its manufacturer is not guaranteed or endorsed by the publisher.
