BRIEF RESEARCH REPORT article
Front. Immunol.
Sec. Cancer Immunity and Immunotherapy
This article is part of the Research TopicPrecision Oncology in Checkpoint Immunotherapy: Leveraging Predictive Biomarkers for Personalized TreatmentView all 24 articles
Gene signature for response prediction to immunotherapy and prognostic metarkers in metastatic Urothelial Carcinoma
Provisionally accepted- 1Inst. of Statistical Science, Institute of Statistical Science, Academia Sinica, Taipei, Taiwan
- 2Center for Neurobehavioral Genetics, The Jane and Terry Semel Institute for Neuroscience and Human Behavior, University of California, Los Angeles, Los Angeles, United States
- 3Department of Psychiatry and Biobehavioral Sciences, David Geffen School of Medicine, University of California, Los Angeles, Los Angeles, United States
- 4Graduate Institute of Life Sciences, National Defense Medical Center, Taipei, Taiwan
- 5National Institute of Cancer Research, National Health Research Institutes (Taiwan), Miaoli, Taiwan
- 6Bioinformatics Program, Taiwan International Graduate Program, Academia Sinica, Taipei, Taiwan
- 7Data Science Degree Program, Academia Sinica and National Taiwan University, Taipei, Taiwan
- 8Genome and Systems Biology Degree Program, Academia Sinica and National Taiwan University, Taipei, Taiwan
Select one of your emails
You have multiple emails registered with Frontiers:
Notify me on publication
Please enter your email address:
If you already have an account, please login
You don't have a Frontiers account ? You can register here
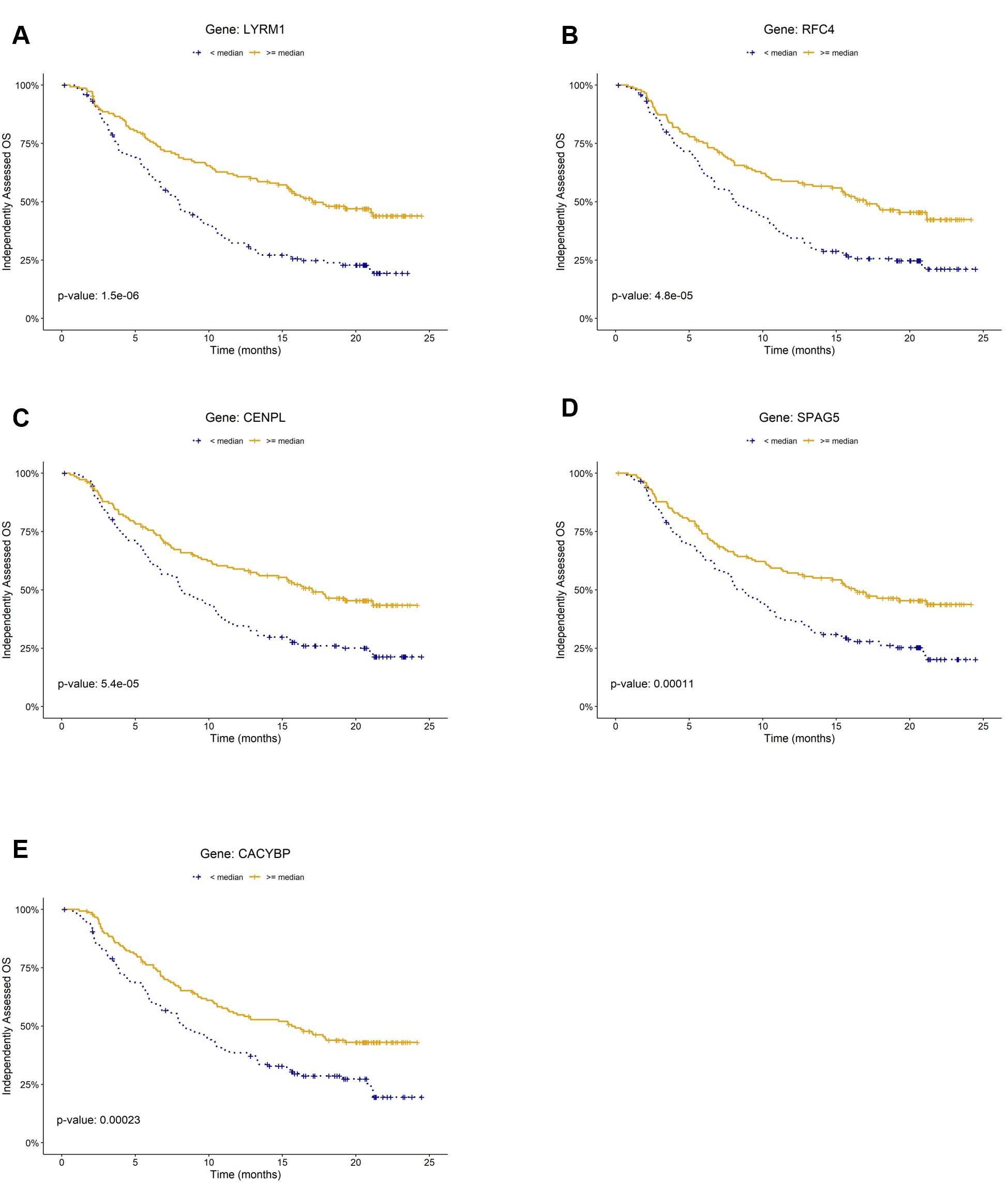
To date, immune checkpoint inhibitors (ICIs) have emerged as a leading treatment for metastatic cancer, significantly improving patient survival while causing relatively few 2 side effects. However, the objective response rate for ICIs remains low approximately 30% in urothelial carcinoma (UC), underscoring the urgent need for predictive response biomarkers. Several state-of-the-art signatures have been revealed in top-tier journals, highlighting the importance of this field. As the number of genes (~20,000) far exceeds the sample sizes of typical training sets (generally ≤ 300), we first developed feature selection procedures to reduce the number of features to a few hundred. We then trained multiple machine learning classifiers using the selected genes and the IMvigor210 dataset, which includes RNA-seq and clinical data from ~298 patients with metastatic UC (mUC). Notably, our predictor LogitDA, using the identified 49-gene signature, achieved a prediction AUC of 0.75 in an independent dataset, PCD4989g(mUC). Moreover, our signature outperformed six state-of-the-art signatures, PD-L1 IHC, and five tumor microenvironment signatures, including IFN-γ, T-effector, and T-cell exhaustion signatures. When we integrated each of the six known signatures with our own, our signature still surpassed the integrated ones in terms of prediction AUC and accuracy in the PCD4989g(mUC) dataset. From our signature, we identified key prognostic biomarkers, with the top five markers LYRM1, RFC4, CENPI, SPAG5, and CACYBP (Benjamini-Hochberg adjusted P < 0.0025) in the IMvigor210 dataset. Finally, we performed pathway analyses using Reactome (MSigDB) and KEGG, to reveal some immune-related pathways enriched such as MHC class II antigen presentation.
Keywords: biomarker, Cancer, Immunotherapy, machine learning, regression, prediction
Received: 07 Apr 2025; Accepted: 03 Nov 2025.
Copyright: © 2025 Langfelder, Lin, Tsai, Cha and Shieh. This is an open-access article distributed under the terms of the Creative Commons Attribution License (CC BY). The use, distribution or reproduction in other forums is permitted, provided the original author(s) or licensor are credited and that the original publication in this journal is cited, in accordance with accepted academic practice. No use, distribution or reproduction is permitted which does not comply with these terms.
* Correspondence: Grace S. Shieh, gshieh@stat.sinica.edu.tw
Disclaimer: All claims expressed in this article are solely those of the authors and do not necessarily represent those of their affiliated organizations, or those of the publisher, the editors and the reviewers. Any product that may be evaluated in this article or claim that may be made by its manufacturer is not guaranteed or endorsed by the publisher.
