ORIGINAL RESEARCH article
Front. Immunol.
Sec. Primary Immunodeficiencies
This article is part of the Research TopicThe expanding spectrum of Hemophagocytic lymphohistiocytosis: pathogenic mechanisms and therapeutic implicationsView all 3 articles
Epidemiological, Clinical Characteristics and Prognostic Factors Analysis of Adult Patients with Hemophagocytic Lymphohistiocytosis in a Chinese Hospital
Provisionally accepted- Nanjing Medical University, Nanjing, China
Select one of your emails
You have multiple emails registered with Frontiers:
Notify me on publication
Please enter your email address:
If you already have an account, please login
You don't have a Frontiers account ? You can register here
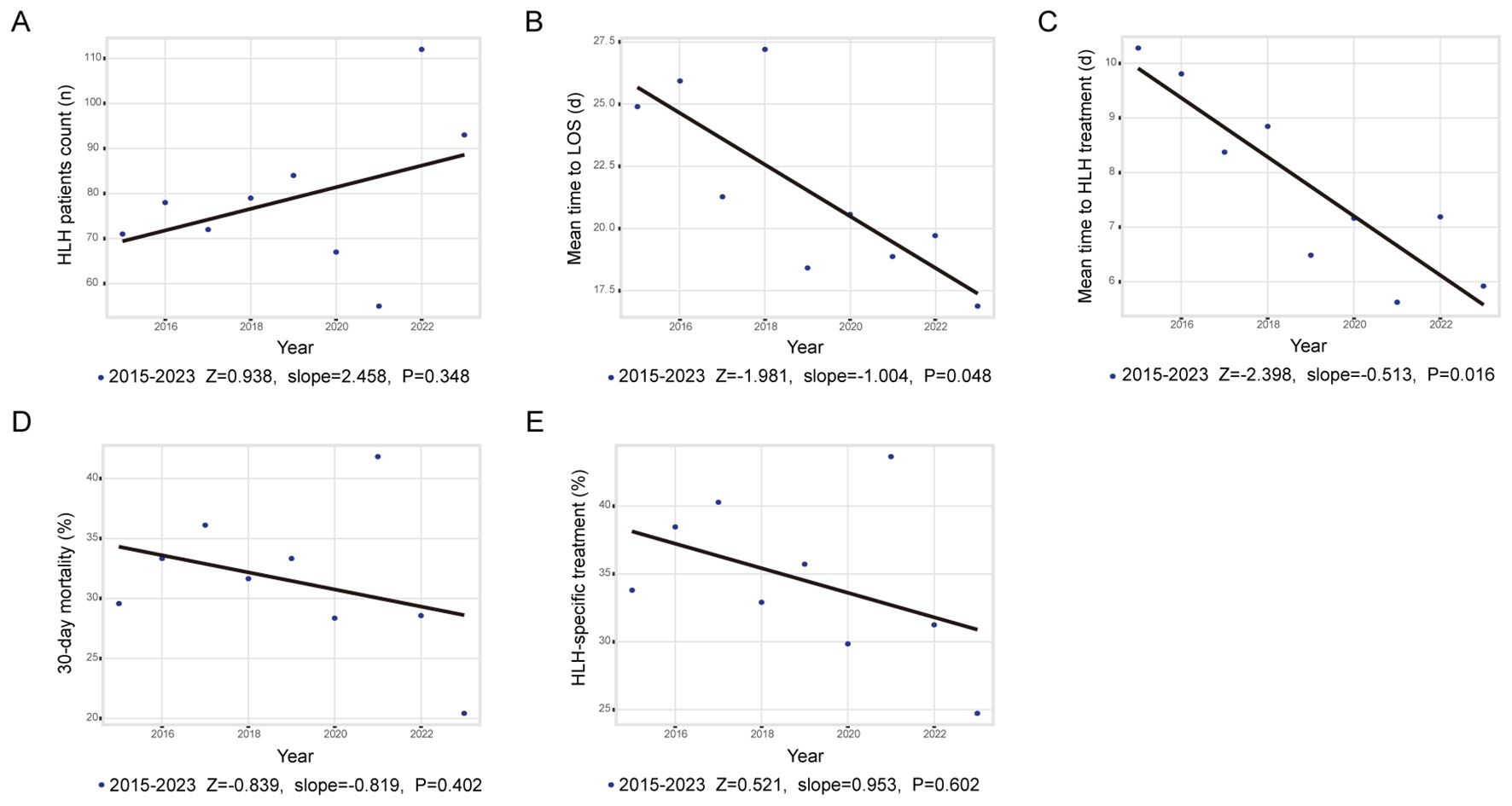
Background: Hemophagocytic lymphohistiocytosis (HLH) is a rare and life-threatening syndrome characterized by immune dysregulation and excessive inflammation. Although diagnostic criteria and treatment protocols of HLH are well-established for pediatric populations, managing adult HLH remains challenging. Methods: We conducted a single-center retrospective cohort study with adult HLH using data from the First Affiliated Hospital with Nanjing Medical University (January 2015–November 2023). Patient demographics, triggers, and outcomes were analyzed. Trends in case volume, diagnostics, treatments, and 30-day mortality were assessed using Sen's slope estimator. To evaluate the COVID-19 pandemic's impact, we compared pre-/post-January 2020 data. Logistic regression, Kaplan-Meier survival analysis and resource utilization analysis were applied in the analysis. Results: Among 711 HLH patients (71.1% aged 43–78 years), malignancy (45.9%) and infection (31.3%) were the predominant triggers. Cases showed a non-significant upward trend (peak increase: 103.6%; slope=2.458; p=0.348), while 30-day mortality showed a non-significant downward trend (slope=-0.819; p=0.402). Post-pandemic, infectious indicators (e.g., WBC) differed significantly (p<0.05), though trigger distribution was unchanged (p=0.790). Malignancy-related HLH who received HLH-specific therapy was associated with a higher survival rate (77.7% vs. 34.1%–63.4%; p<0.001). A positive correlation between systemic corticosteroid administration and favorable clinical outcome in geriatric patient cohorts. (≥69 years; 70.7% -75.5% vs. 29.6%–42.9%; p<0.001). Mean length of hospital stay (LOS) was 21.4 ± 19.2 days. Conclusion: Despite advancements in pediatric HLH, adult HLH mortality remains high, driven by diagnostic delays, comorbid complexity, and lack of standardized protocols. Future efforts must prioritize: (1) adult-specific biomarkers for early diagnosis, (2) trigger-tailored immunotherapies, and (3) multidisciplinary care pathways to address multisystem involvement.
Keywords: Adult HLH, HLH epidemiological, HLH prognosis, HLH treatment, Retrospective cohort study
Received: 12 Aug 2025; Accepted: 29 Nov 2025.
Copyright: © 2025 Xie, Wang, Wang, Zhou and Xu. This is an open-access article distributed under the terms of the Creative Commons Attribution License (CC BY). The use, distribution or reproduction in other forums is permitted, provided the original author(s) or licensor are credited and that the original publication in this journal is cited, in accordance with accepted academic practice. No use, distribution or reproduction is permitted which does not comply with these terms.
* Correspondence: Hua-Guo Xu
Disclaimer: All claims expressed in this article are solely those of the authors and do not necessarily represent those of their affiliated organizations, or those of the publisher, the editors and the reviewers. Any product that may be evaluated in this article or claim that may be made by its manufacturer is not guaranteed or endorsed by the publisher.
