ORIGINAL RESEARCH article
Front. Immunol.
Sec. Alloimmunity and Transplantation
This article is part of the Research TopicMethods in Alloimmunity and Transplantation: 2025View all 10 articles
Allogeneic hematopoietic stem cell transplantation for mixed phenotype acute leukemia: a single center study
Provisionally accepted- 1Institute of Hematology and Blood Diseases Hospital, Chinese Academy of Medical Sciences and Peking Union Medical College, Tianjin, China
- 2Chinese Academy of Medical Sciences and Peking Union Medical College Institute of Hematology and Blood Diseases Hospital, Tianjin, China
Select one of your emails
You have multiple emails registered with Frontiers:
Notify me on publication
Please enter your email address:
If you already have an account, please login
You don't have a Frontiers account ? You can register here
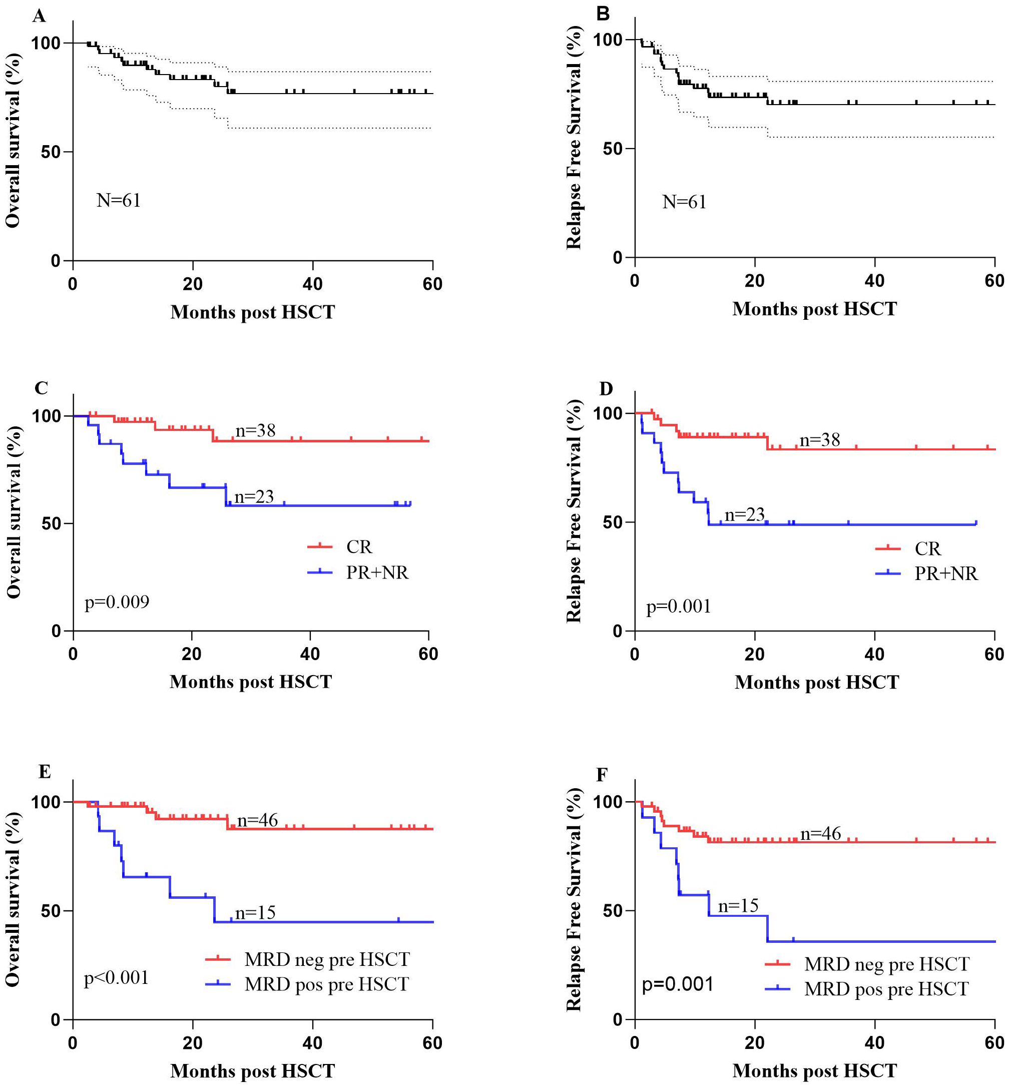
Mixed-phenotype acute leukemia (MPAL) is a rare subtype of acute leukemia with unfavorable outcome. There is no established optimal therapy regime. We conducted a retrospective analysis in our transplant center to clarify the efficacy of allogeneic hematopoietic stem cell transplantation (allo-HSCT) in the treatment of MPAL. This study monitored 61 MPAL patients who underwent allo-HSCT at a single center in China. Haploidentical donor HSCT was 41, matched unrelated donor HSCT was 4, and matched sibling donor HSCT was 16. The median age at diagnosis was 32 years (range, 14-58). The two most common phenotypes were B-lymphoid/myeloid (n=33, 54.1%) and T-lymphoid/myeloid (n=22, 36.1%). In induction treatment, 50 (82.0%) patients received an ALL-like treatment protocol, and 15 of the 17 BCR::ABL1 positive patients received tyrosine kinase inhibitor (TKI) therapy. After induction treatment, 38 (62.3%) patients achieved complete remission (CR). Pre-HSCT 55/61 (90.2%) acquired complete remission (CR) and 46/61 (75.4%) turned minimal residual disease (MRD) -negative. The median follow up time was 28.2 months. The estimated 2-year overall survival (OS) rates after HSCT were 80.0% ± 6.0%. And the relapse-free survival (RFS) probabilities at 2-year were 68.0±7.0%. There was no significant difference in OS and RFS among different types of HSCT. Patients with MRD-positive pre-HSCT was associated with worse OS (P=0.022). Patients who achieved CR after induction therapy had a longer RFS (P=0.033). Allo-HSCT is effective in the treatment of MPAL especially in patients who achieved CR after induction therapy or who got MRD-negative pre-HSCT.
Keywords: Mixed-phenotype acute leukemia (MPAL), Allogeneic hematopoietic stem cell transplantation (allo-HSCT), prognosis, Overall survival (OS), Relapse-free survival (RFS)
Received: 24 Aug 2025; Accepted: 29 Oct 2025.
Copyright: © 2025 He, HAO, Zhao, Zhang, Zhai, Ma, Yang, Pang, FENG, JIANG and HAN. This is an open-access article distributed under the terms of the Creative Commons Attribution License (CC BY). The use, distribution or reproduction in other forums is permitted, provided the original author(s) or licensor are credited and that the original publication in this journal is cited, in accordance with accepted academic practice. No use, distribution or reproduction is permitted which does not comply with these terms.
* Correspondence: Yi He, hsct_huayuan@163.com
Disclaimer: All claims expressed in this article are solely those of the authors and do not necessarily represent those of their affiliated organizations, or those of the publisher, the editors and the reviewers. Any product that may be evaluated in this article or claim that may be made by its manufacturer is not guaranteed or endorsed by the publisher.
