SYSTEMATIC REVIEW article
Front. Immunol.
Sec. Cancer Immunity and Immunotherapy
This article is part of the Research TopicCommunity Series in Biomarker Discovery and Therapeutic Innovations in Genito-Urinary Cancer Management Volume IIView all articles
Presurgical molecular therapy for renal cell carcinoma with venous tumor thrombus: a systematic review and meta-analysis
Provisionally accepted- Peking University Third Hospital, Beijing, China
Select one of your emails
You have multiple emails registered with Frontiers:
Notify me on publication
Please enter your email address:
If you already have an account, please login
You don't have a Frontiers account ? You can register here
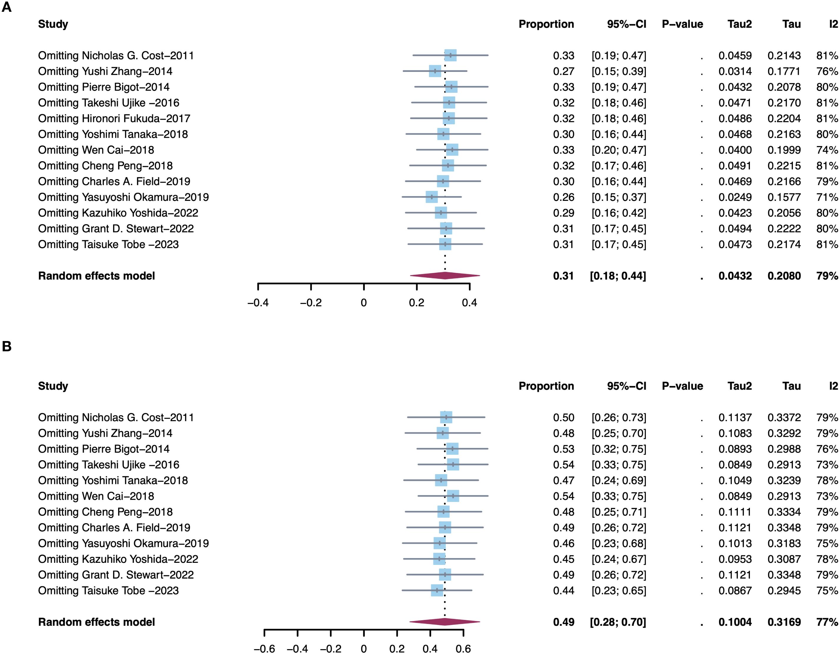
Background: Presurgical molecular therapy (PMT) including tyrosine kinase inhibitors (TKIs) and immune checkpoint inhibitors (ICIs) showed various outcomes for renal cell carcinoma (RCC) with tumor thrombus (TT). We aimed to evaluate the impact of PMT on Mayo level or TT height and the treatment-related adverse events (AEs). Methods: A systematic literature search was conducted in PubMed, Embase, Cochrane Library, and Web of Science up to June 2023 to identify relevant studies investigating the impact of PMT on RCC patients with TT. The literature investigating the impact of PMT on RCC patients with venous TT, whether followed by surgery or not, was included. Results: Overall, 184 patients were enrolled in this study. 30.7% (95% CI, 17.6–43.8%, I2=79%, p<0.01) patients experienced a decrease in TT levels after receiving PMT, while only 1.5% (95% CI, 0–0.044%, I2=0%, p=0.98) exhibited an increase in TT levels. An average decrease of 15.2mm (95% CI, 22.4–8.0, I2=77%, p<0.01) of TT in 117 patients was observed after PMT. The most common AEs was hypertension (49.9%, 95% CI, 27.1–77.7, I2=88%, p<0.01), diarrhea (20.2%, 95% CI, 2.7–37.6, I2=83%, p<0.01), fatigue (25.3%, 95% CI, 6.1–44.4, I2=84%, p<0.01) and hand-foot syndrome (25.5%, 95% CI, 5.6–45.5, I2=86%, p<0.01). Conclusion: PMT is available to assist in lowering the TT level in RCC patients aiming to simply the surgical procedures, particularly in patients with Mayo grade 3/4. The frequency and severity of AEs during PMT are tolerable.
Keywords: Renal cell carcinoma, Tumor thrombus, presurgical molecular therapy, radical nephrectomy and thrombectomy, yrosine kinase inhibitors
Received: 15 Sep 2025; Accepted: 07 Nov 2025.
Copyright: © 2025 Chen, Lin, Liu, Ge, yu and Zhang. This is an open-access article distributed under the terms of the Creative Commons Attribution License (CC BY). The use, distribution or reproduction in other forums is permitted, provided the original author(s) or licensor are credited and that the original publication in this journal is cited, in accordance with accepted academic practice. No use, distribution or reproduction is permitted which does not comply with these terms.
* Correspondence: Shudong Zhang, zhangshudong@bjmu.edu.cn
Disclaimer: All claims expressed in this article are solely those of the authors and do not necessarily represent those of their affiliated organizations, or those of the publisher, the editors and the reviewers. Any product that may be evaluated in this article or claim that may be made by its manufacturer is not guaranteed or endorsed by the publisher.
