ORIGINAL RESEARCH article
Front. Immunol.
Sec. Microbial Immunology
This article is part of the Research TopicHost-microbiota immuno-interactions for personalized microbial therapeutics: Volume IIView all 7 articles
From Dysbiosis to Prediction: A Novel Gut Microbiota– Derived Index for Spontaneous Bacterial Peritonitis in HBV-Related Cirrhosis
Provisionally accepted- 1Center of Liver Diseases Division 3, Beijing Ditan Hospital, Capital Medical University, Beijing, China
- 2National Center For Infectious Diseases, Beijing, China
- 3Peking University Ditan Teaching Hospital, Beijing, China
Select one of your emails
You have multiple emails registered with Frontiers:
Notify me on publication
Please enter your email address:
If you already have an account, please login
You don't have a Frontiers account ? You can register here
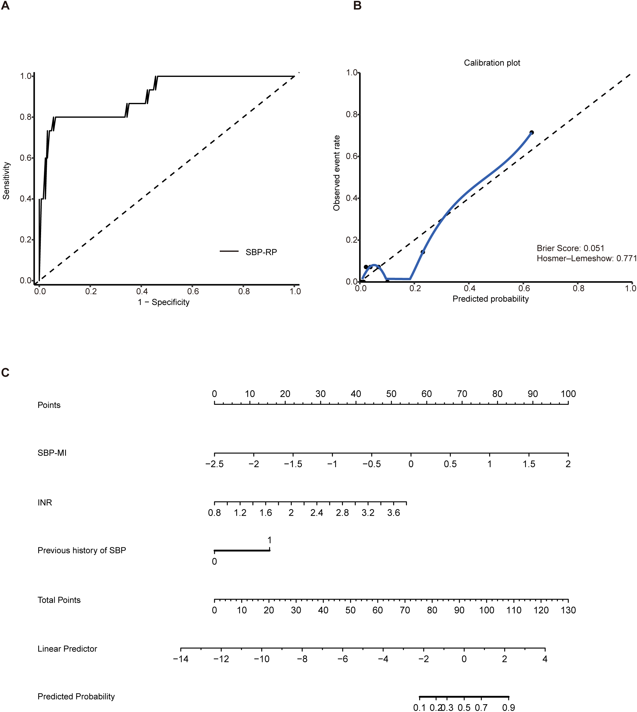
Objective: Spontaneous bacterial peritonitis (SBP) is a severe complication of hepatitis B virus (HBV)-related cirrhosis, in which gut microbiota dysbiosis plays a pivotal role. This study aimed to characterize microbial alterations, establish a microbiota-derived index (SBP-MI), evaluate longitudinal changes, and develop an SBP risk prediction model (SBP-RP). Methods: A total of 135 participants were included: healthy controls (n=40), compensated cirrhosis (n=30), cirrhosis with ascites but without SBP (n=40), and SBP (n=25). Fecal 16S rRNA sequencing and clinical data were obtained. An additional 140 cirrhotic patients with ascites were prospectively followed for 6 months, with SBP occurrence as the endpoint; 40 provided paired fecal samples. SBP-MI was constructed from key microbial shifts, and multivariable Firth logistic regression identified independent predictors. Results: SBP was characterized by enrichment of pathogenic taxa (Escherichia– Shigella, Klebsiella, Veillonella, Streptococcus) and depletion of short-chain fatty acid producers (Prevotella, Roseburia, Faecalibacterium, Bacteroides), forming the basis of SBP-MI. During follow-up, improved patients had greater microbial diversity and beneficial commensals, whereas progression was linked to Haemophilus expansion. SBP-MI effectively tracked these changes and outperformed the Hepatitis B Cirrhosis Dysbiosis Index. Multivariable analysis identified INR, previous history of SBP, and SBP-MI as independent predictors. The SBP-RP yielded an AUC of 0.91(95% CI: 0.82–0.99), with calibration that appeared acceptable in this cohort. Conclusion: Distinct dysbiosis characterizes SBP. SBP-MI captures microbial imbalance and progression, while the SBP-RP model integrating microbial and clinical factors provides promising predictive value for early risk stratification.
Keywords: 16S rRNA, gut microbiota–derived index, HBV-related cirrhosis, Prediction model, Spontaneous bacterial peritonitis
Received: 24 Nov 2025; Accepted: 27 Jan 2026.
Copyright: © 2026 Zhou, Sun, Cheng and Xing. This is an open-access article distributed under the terms of the Creative Commons Attribution License (CC BY). The use, distribution or reproduction in other forums is permitted, provided the original author(s) or licensor are credited and that the original publication in this journal is cited, in accordance with accepted academic practice. No use, distribution or reproduction is permitted which does not comply with these terms.
* Correspondence: Huichun Xing
Disclaimer: All claims expressed in this article are solely those of the authors and do not necessarily represent those of their affiliated organizations, or those of the publisher, the editors and the reviewers. Any product that may be evaluated in this article or claim that may be made by its manufacturer is not guaranteed or endorsed by the publisher.
