ORIGINAL RESEARCH article
Front. Immunol.
Sec. Cytokines and Soluble Mediators in Immunity
The Diagnostic Accuracy of CC Chemokine Ligand 23 for Kawasaki Disease
Provisionally accepted- 1Shenzhen Longhua District Maternity and Child Healthcare Hospital, Shenzhen, China
- 2Longgang District Maternity & Child Healthcare Hospital of Shenzhen City(Longgang Maternity and Child Institute of Shantou University Medical College), Shenzhen, China
- 3Longgang District Maternity & Child Healthcare Hospital of Shenzhen City, Shenzhen, China
Select one of your emails
You have multiple emails registered with Frontiers:
Notify me on publication
Please enter your email address:
If you already have an account, please login
You don't have a Frontiers account ? You can register here
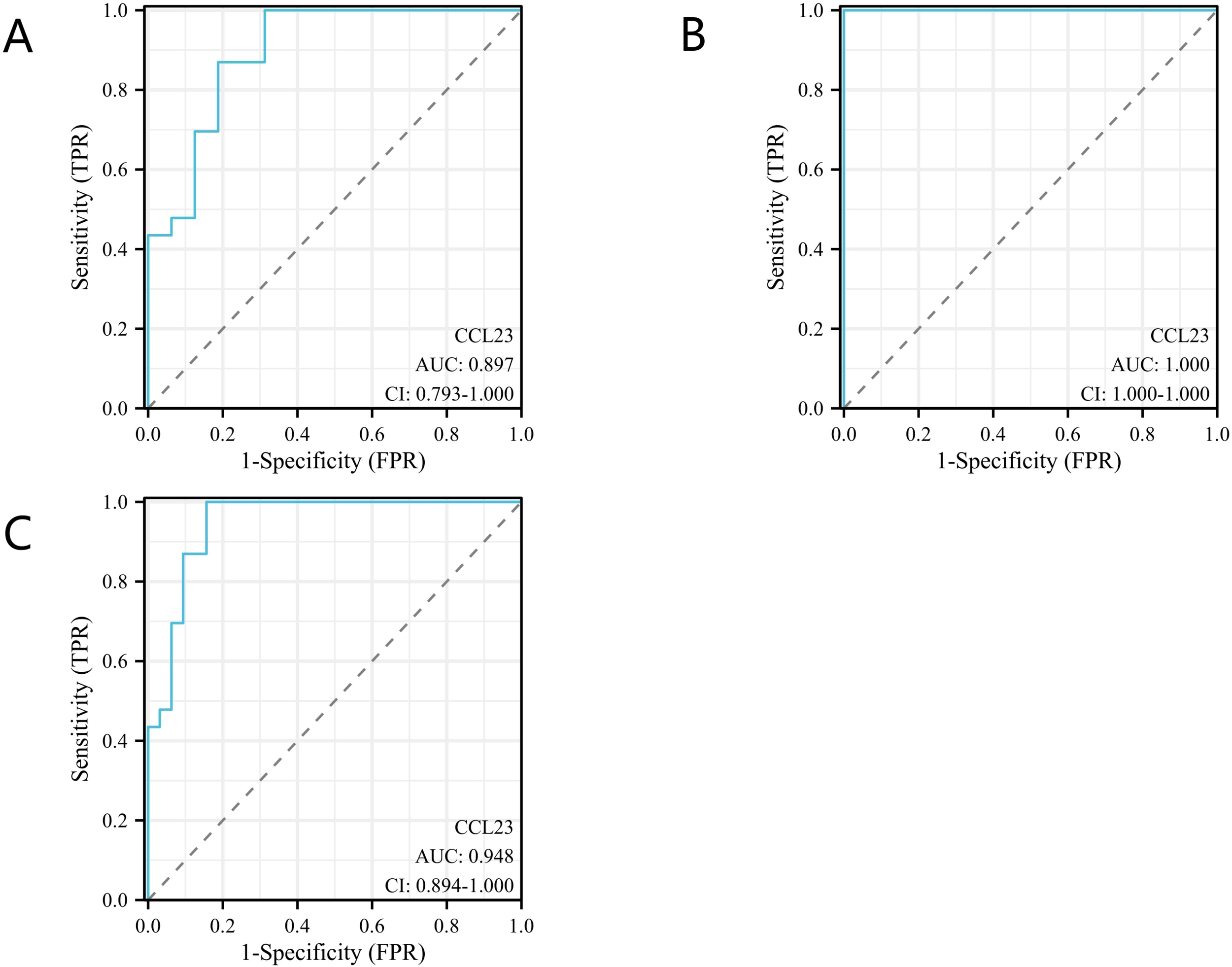
Background: Kawasaki Disease (KD) is an acute inflammatory disease that primarily affects children. Without timely treatment, it may lead to severe cardiovascular complications. Currently, the lack of specific biomarkers complicates its early diagnosis. Methods: This study focuses on investigating the diagnostic value of C-C motif chemokine ligand 23 (CCL23) protein in distinguishing KD from other similar diseases through gene expression profiling analysis and biomarker detection. Firstly, methods such as differentially expressed genes (DEGs) analysis, protein-protein interaction (PPI) network construction, and pathway enrichment analysis are employed to identify relevant Hub genes. Subsequently, Western blot technology is used to detect the expression of CCL23 protein in plasma, so as to externally validate the diagnostic value of the aforementioned relevant Hub genes in differentiating Kawasaki disease from other similar diseases. Results: We identified 11 significant hub genes and found that the concentration of CCL23 in the KD group was significantly higher than that in the febrile control group and the healthy control group. Further receiver operating characteristic (ROC) analysis showed that CCL23 exhibited good sensitivity and specificity in distinguishing Kawasaki Disease from other diseases. Meanwhile, pathway enrichment analysis revealed that CCL23 was upregulated in the cytokine-cytokine receptor interaction pathway, suggesting that it may play an important role in immune-inflammatory responses. Conclusions: Although this study has limitations such as insufficient sample size and lack of long-term follow-up, the results provide new insights into CCL23 as a potential biomarker for KD. Future studies should further validate these findings and explore their application in clinical practice to improve the early diagnosis rate of KD.
Keywords: biomarkers, CC Chemokine Ligand 23, Diagnostic accuracy, Gene ExpressionOmnibus database, kawasaki disease
Received: 01 Dec 2025; Accepted: 02 Feb 2026.
Copyright: © 2026 Xun, Rao, Liao, Guo, Miu and Zheng. This is an open-access article distributed under the terms of the Creative Commons Attribution License (CC BY). The use, distribution or reproduction in other forums is permitted, provided the original author(s) or licensor are credited and that the original publication in this journal is cited, in accordance with accepted academic practice. No use, distribution or reproduction is permitted which does not comply with these terms.
* Correspondence: Weiping Xun
Disclaimer: All claims expressed in this article are solely those of the authors and do not necessarily represent those of their affiliated organizations, or those of the publisher, the editors and the reviewers. Any product that may be evaluated in this article or claim that may be made by its manufacturer is not guaranteed or endorsed by the publisher.
