ORIGINAL RESEARCH article
Front. Immunol.
Sec. Molecular Innate Immunity
Humoral Immune Responses to Hyaluronan Oligosaccharides in Patients Undergoing Prosthetic Valve Surgery
Provisionally accepted- 1Institut d'Investigacio Biomedica de Bellvitge (IDIBELL), Barcelona, Spain
- 2Hospital Universitari de Bellvitge, L'Hospitalet de Llobregat, Spain
- 3Hospital Universitari Vall d'Hebron, Barcelona, Spain
- 4Centre Hospitalier Universitaire de Nantes, Nantes, France
- 5Azienda Ospedale Universita Padova, Padua, Italy
- 6AVANTEA, Cremona, Italy
- 7Tel Aviv University The George S Wise Faculty of Life Sciences, Tel Aviv-Yafo, Israel
Select one of your emails
You have multiple emails registered with Frontiers:
Notify me on publication
Please enter your email address:
If you already have an account, please login
You don't have a Frontiers account ? You can register here
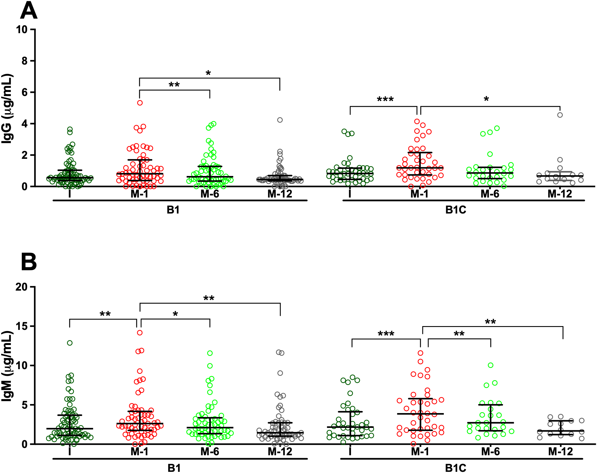
Background. Bioprosthetic heart valves (BHVs) are widely used in cardiac surgery but are limited by structural valve deterioration (SVD). The Translink study showed that immune responses to xenogeneic glycans contribute to SVD. Hyaluronan (HA), a glycosaminoglycan with size-dependent biological functions, has been implicated in inflammation, xenoreactivity, and valve calcification. This study investigated humoral immune responses to HA oligosaccharides in a subgroup of the Translink cohort. Patients and methods. Serum samples from 258 BHV recipients and 78 cardiac surgery controls were analyzed by ELISA, and a representative subset was further profiled using a printed glycan array (PGA). BHV recipients were classified with clinically significant SVD (A), as de novo implantation (B1), or long-term without SVD (B2). Controls included mechanical valve replacement or coronary artery bypass patients, either de novo (B1C) or long-term post-surgery (B2C). ELISA quantified IgG and IgM antibodies against HA fragments of increasing length (HA2, HA24, HA84), while PGA mapped fine specificity across HA2–HA40. Results. All subjects exhibited measurable baseline anti-HA IgG and IgM antibodies. ELISA revealed a fragment-length dependence, with the shortest fragment, HA2, showing the highest antibody binding, and progressively lower reactivity with longer oligomers. Following de novo cardiac surgery, both BHV recipients and controls showed a transient increase in anti-HA antibodies, peaking at one month and declining within 6–12 months. In contrast, PGA consistently identified HA34 as the dominant immunogenic fragment across all cohorts and time points. Conclusions. Anti-HA antibodies are constitutively present in humans, undergo transient amplification after cardiac surgery, regardless of prosthesis type, and display marked fragment-length specificity. Short HA2 fragments predominate in ELISA responses, whereas intermediate-length oligomers, such as HA34, emerge as conserved, immunodominant targets in PGA. These findings extend the Translink paradigm from xenogeneic to matrix-derived glycan immunity and identify anti-HA antibodies as potential biomarkers of postoperative inflammation and tissue remodeling, which could be relevant to SVD.
Keywords: antiglycan antibodies, Antihyaluronan antibodies, Biological heart valves, cardiac surgery, hyaluronan, Hyaluronan oligosaccharides, Printed glycan array
Received: 07 Dec 2025; Accepted: 28 Jan 2026.
Copyright: © 2026 Bello-Gil, Olivera-Ardid, Blasco-Lucas, Sbraga, Galiñanes, Le Tourneau, Roussel, Bottio, Vadori, Cozzi, Galli, Costa, Padler-Karavani, Soulillou and Mañez. This is an open-access article distributed under the terms of the Creative Commons Attribution License (CC BY). The use, distribution or reproduction in other forums is permitted, provided the original author(s) or licensor are credited and that the original publication in this journal is cited, in accordance with accepted academic practice. No use, distribution or reproduction is permitted which does not comply with these terms.
* Correspondence: Rafael Mañez
Disclaimer: All claims expressed in this article are solely those of the authors and do not necessarily represent those of their affiliated organizations, or those of the publisher, the editors and the reviewers. Any product that may be evaluated in this article or claim that may be made by its manufacturer is not guaranteed or endorsed by the publisher.
