ORIGINAL RESEARCH article
Front. Mech. Eng.
Sec. Engine and Automotive Engineering
This article is part of the Research TopicDynamics and Control of New Energy VehiclesView all 7 articles
Hybrid Fitting Method for Dynamic Responses of Mechanical Systems
Provisionally accepted- 1Nanjing Tech University, Nanjing, China
- 2Naveco Automobile Co., Ltd, nanjing, China
Select one of your emails
You have multiple emails registered with Frontiers:
Notify me on publication
Please enter your email address:
If you already have an account, please login
You don't have a Frontiers account ? You can register here
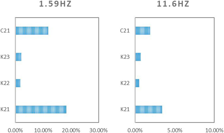
For linear system, vibration response can be obtained by working load and vibration transfer function. However, for nonlinear systems, the vibration transfer function is variable, so the error of the existing methods is obvious. In order to improve the fitting precision of nonlinear system vibration response, a hybrid fitting method is proposed. That is, the vibration response is fitted by the vibration transfer function and the working load test. The influence of nonlinear parameters on the vibration transfer function is analyzed. A hybrid fitting method is used to identify the body acceleration on Class A, Class B and Class C pavement, and the analysis results are compared with the test results. The agreement between fitting results and test results is more than 90%. The results show that the hybrid fitting method proposed in this paper can significantly improve the fitting accuracy of nonlinear system vibration response.
Keywords: nonlinear, transfer function, Vibration response, Fitting method, identify acceleration
Received: 21 Oct 2025; Accepted: 03 Nov 2025.
Copyright: © 2025 Zhang, Zhang, Su and Zou. This is an open-access article distributed under the terms of the Creative Commons Attribution License (CC BY). The use, distribution or reproduction in other forums is permitted, provided the original author(s) or licensor are credited and that the original publication in this journal is cited, in accordance with accepted academic practice. No use, distribution or reproduction is permitted which does not comply with these terms.
* Correspondence:
Tangyun Zhang, zhangbao1350@126.com
Bao Zhang, zhang.tangyun@naveco.com.cn
Disclaimer: All claims expressed in this article are solely those of the authors and do not necessarily represent those of their affiliated organizations, or those of the publisher, the editors and the reviewers. Any product that may be evaluated in this article or claim that may be made by its manufacturer is not guaranteed or endorsed by the publisher.
