ORIGINAL RESEARCH article
Front. Microbiol.
Sec. Antimicrobials, Resistance and Chemotherapy
This article is part of the Research TopicMicrobial Degradation of Agricultural WasteView all 5 articles
Co-inoculation with Streptomyces thermovulgaris and Commercial Microbial Agents Enhances the Reduction of Antibiotic Resistance Genes in Cattle Manure Composting: Driving Mechanisms Involving Microbial Communities and Mobile Genetic Elements
Provisionally accepted- 1Wuhan Academy of Agricultural Sciences, Wuhan, China
- 2Yangtze University, Jingzhou, China
Select one of your emails
You have multiple emails registered with Frontiers:
Notify me on publication
Please enter your email address:
If you already have an account, please login
You don't have a Frontiers account ? You can register here
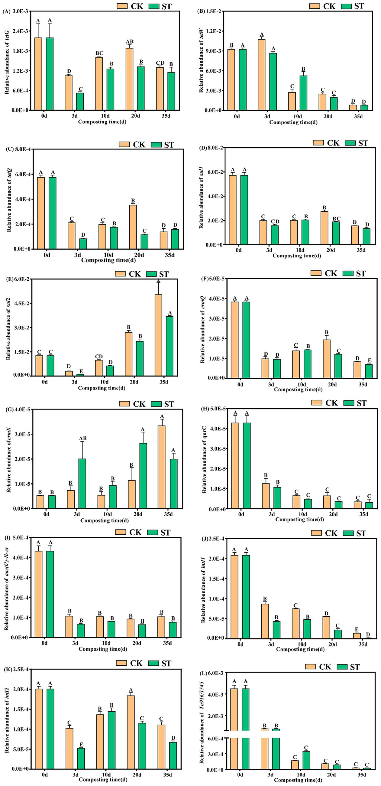
To investigate the mechanisms by which Streptomyces thermovulgaris a2 (Sta2) enhances the reduction of antibiotic resistance genes (ARGs) in cattle manure composting, this study compared the effects of commercial microbial inoculant (CK) and its combination with Sta2 (ST). The results showed that the ST treatment extended the thermophilic phase (≥55°C) to 18 days (compared to 11 days with CK) and increased the removal rates of tetG, sul1, ermQ, aac(6')-Ib-cr, and intI1/intI2 (by 4.8–48.4%), simultaneously inhibiting the enrichment of sul2 and ermX. During the thermophilic phase, ST treatment slowed the decline in the abundances of key genera (e.g., Bacillus, Thermobacillus, Brachybacterium) and effectively promoted the growth of Actinomadura and Longispora within Actinobacteria. Redundancy analysis revealed that bacterial community succession (56.3%) and mobile genetic elements (MGEs, 30.7%) were key drivers of ARG dynamics, with intI1 and Firmicutes positively regulating most ARGs. Co-occurrence network analysis identified Lysinibacillus (harboring ARG-MGE associations), Luteimonas (9), Brachybacterium (8), and the pathogen Corynebacterium (6) as multidrug resistant hosts. In summary, ST treatment enhanced the reduction of certain genes and multidrug-resistant host control by prolonging the thermophilic duration, reconstructing the microbial community composition, and effectively inhibiting intI1-and intI2-mediated horizontal gene transfer.
Keywords: Cattle manure composting, Streptomyces thermovulgaris, Microbe community, antibiotic resistance genes, mobile genetic elements, Multidrug resistant host bacteria
Received: 20 Aug 2025; Accepted: 05 Nov 2025.
Copyright: © 2025 Jin, Gao, Zhou, Wan, Chen, Gong and Li. This is an open-access article distributed under the terms of the Creative Commons Attribution License (CC BY). The use, distribution or reproduction in other forums is permitted, provided the original author(s) or licensor are credited and that the original publication in this journal is cited, in accordance with accepted academic practice. No use, distribution or reproduction is permitted which does not comply with these terms.
* Correspondence:
Ping Gong, gongping09@foxmail.com
Peng Li, lipeng@yangtzeu.edu.cn
Disclaimer: All claims expressed in this article are solely those of the authors and do not necessarily represent those of their affiliated organizations, or those of the publisher, the editors and the reviewers. Any product that may be evaluated in this article or claim that may be made by its manufacturer is not guaranteed or endorsed by the publisher.
