ORIGINAL RESEARCH article
Front. Oncol.
Sec. Surgical Oncology
The impact of anemia within 24 h after surgery on the prognosis of patients with pseudomyxoma peritonei
Provisionally accepted- 1Aerospace Clinical Medical College of Peking University, Beijing, China
- 2Aerospace Center Hospital, Department of Blood Transfusion, Beijing, China
- 3Aerospace Central Hospital, Department of Mucinous Tumor, Beijing, China
Select one of your emails
You have multiple emails registered with Frontiers:
Notify me on publication
Please enter your email address:
If you already have an account, please login
You don't have a Frontiers account ? You can register here
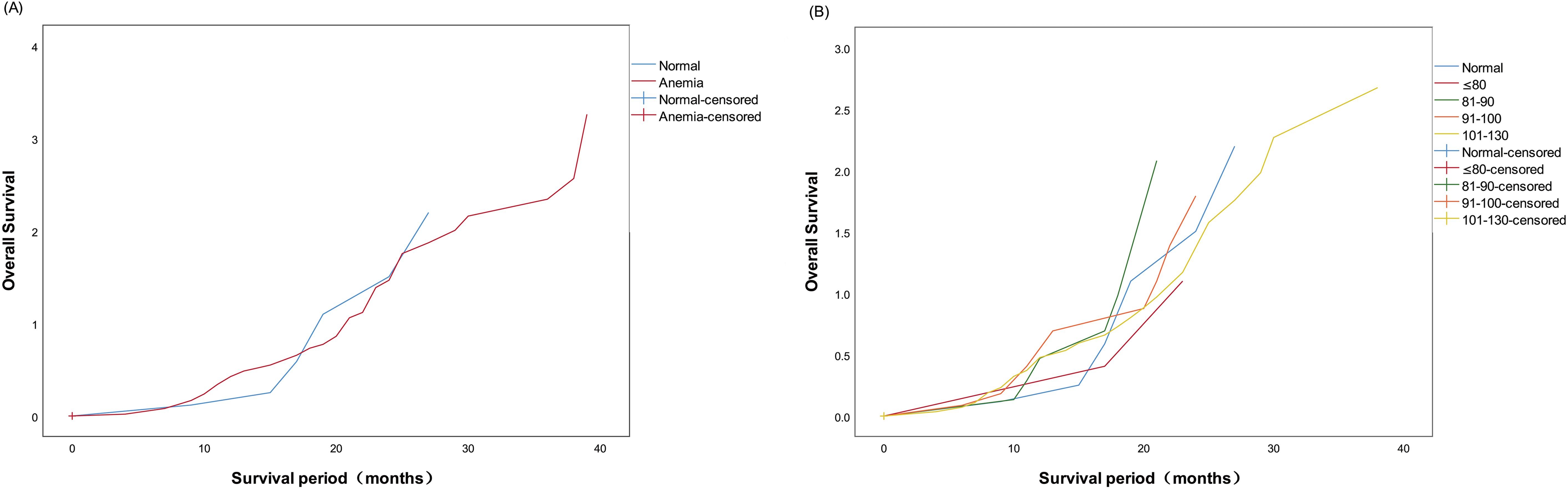
In this study, we examined the effect of postoperative anemia on the prognosis of 721 patients with pseudomyxoma peritonei (PMP). Based on the initial hemoglobin (Hb) levels measured after surgery, the patients were categorized into the normal Hb (n = 65) and anemia groups (n = 656 patients, 91%), and the anemic patients were further divided into four subgroups based on their Hb levels. Patients with normal postoperative Hb levels had a significantly higher 5-year survival rate (80%) than those with anemia (67.4%). In addition, patients with Hb levels of 81–90 g/L had the shortest median survival duration of 36.3 ± 1.4 months. Tumor recurrence rates were consistent across the groups, whereas plasma and red blood cell transfusion volumes differed among the anemia subgroups. The postoperative cytoreduction rate, peritoneal carcinomatosis index, tumor grade, and Hb level were identified as factors significantly affecting postoperative survival. In conclusion, anemia developing within 24 h after surgery significantly affects the 5-year survival rate in patients with PMP, and the severity of anemia is a crucial risk factor.
Keywords: 腹膜假性粘液瘤, 贫血, 血红蛋白, 预测, 总体生存率
Received: 28 Aug 2024; Accepted: 31 Oct 2025.
Copyright: © 2025 Gao, Guan, Li, Kou, Tian, Jia, Bai, Bai, Di, Ma and Wang. This is an open-access article distributed under the terms of the Creative Commons Attribution License (CC BY). The use, distribution or reproduction in other forums is permitted, provided the original author(s) or licensor are credited and that the original publication in this journal is cited, in accordance with accepted academic practice. No use, distribution or reproduction is permitted which does not comply with these terms.
* Correspondence:
Ruiqing Ma, maruiqing2014@126.com
Xinhua Wang, wangxinhua721@163.com
Disclaimer: All claims expressed in this article are solely those of the authors and do not necessarily represent those of their affiliated organizations, or those of the publisher, the editors and the reviewers. Any product that may be evaluated in this article or claim that may be made by its manufacturer is not guaranteed or endorsed by the publisher.
