ORIGINAL RESEARCH article
Front. Oncol.
Sec. Gastrointestinal Cancers: Colorectal Cancer
Clinicopathological characteristics and prognosis of basaloid squamous cell carcinoma of the rectum in comparison with adenocarcinoma: a retrospective cohort study
Provisionally accepted- 1Other, xiameb, China
- 2Nanjing University, Nanjing, Jiangsu Province, China
- 3Henan University of Chinese Medicine, Zhengzhou, Henan Province, China
- 4Zhengzhou Shuqing Medical College, Zhengzhou, Henan Province, China
Select one of your emails
You have multiple emails registered with Frontiers:
Notify me on publication
Please enter your email address:
If you already have an account, please login
You don't have a Frontiers account ? You can register here
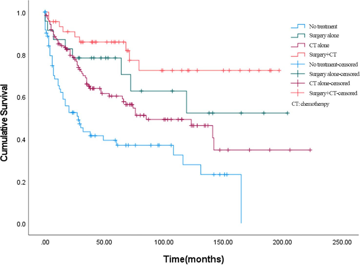
Objective: Basaloid squamous cell carcinoma (BSCC) is a rare histological subtype of rectal cancer. This study aimed to investigate the clinicopathologic features and survival outcomes of primary rectal BSCC and to compare it with adenocarcinoma (AD). Methods: Patients diagnosed with rectal BSCC and AD patients were identified from the Surveillance, Epidemiology, and End Results database from 2000 to 2019. The univariable and multivariable Cox regression analyses were performed to identify potential risk factors for survival in BSCC patients. The nomogram was constructed to predict the prognosis of BSCC patients. Results: A total of 257 BSCC and 77,094 AD patients were identified. BSCC patients was more significantly correlated with female gender, early clinical stage, and poor differentiation. Significantly better 5-year overall survival (OS) and cancer-specific survival (CSS) were observed in patients with BSCC than those with AD (OS: 60.4% vs 52.0%, P = 0.041; CSS: 63.4% vs 54.5%, P = 0.042). This survival difference still persisted in multivariable analysis (OS: hazard ratio [HR] = 0.269, P < 0.001) and after propensity score matching (OS: HR = 0.387, P < 0.001). For BSCC patients, multivariable analysis indicated that advanced clinical stage was associated with worse OS and CSS, surgery and chemotherapy were associated with better OS and CSS. Conclusion: Patients with rectal BSCC have a significantly better survival outcomes than rectal AD, with more early clinical stage. Surgery in combination with chemotherapy is the preferred treatment to improve prognosis.
Keywords: Basaloid squamous cell carcinoma, Rectum, prognosis, SEER, Adenocarcinoma
Received: 22 Nov 2024; Accepted: 24 Oct 2025.
Copyright: © 2025 Wang, Zhou, Chang, Guo and Fan. This is an open-access article distributed under the terms of the Creative Commons Attribution License (CC BY). The use, distribution or reproduction in other forums is permitted, provided the original author(s) or licensor are credited and that the original publication in this journal is cited, in accordance with accepted academic practice. No use, distribution or reproduction is permitted which does not comply with these terms.
* Correspondence: Shijie Wang, 1318927039@qq.com
Disclaimer: All claims expressed in this article are solely those of the authors and do not necessarily represent those of their affiliated organizations, or those of the publisher, the editors and the reviewers. Any product that may be evaluated in this article or claim that may be made by its manufacturer is not guaranteed or endorsed by the publisher.
