ORIGINAL RESEARCH article
Front. Oncol.
Sec. Cancer Molecular Targets and Therapeutics
This article is part of the Research TopicBiomarker Discovery and Therapeutic Innovations in Genito-Urinary Cancer ManagementView all 18 articles
Evaluation of Expression Profiles of APOA4, CEACAM1, CD147, DJ-1/PARK7, Gamma-synuclein, S100A1, and Stathmin-1 in Urothelial Carcinomas using Immunohistochemical Assays
Provisionally accepted- 1Khyber Medical University, Peshawar, Khyber Pakhtunkhwa, Pakistan
- 2Kohat University of Science and Technology, Kohat, Khyber Pakhtunkhwa, Pakistan
- 3King Saud University, Riyadh, Riyadh, Saudi Arabia
- 4Faculty of Medicine, Bioscience, and Nursing, Mahsa University, Selangor, Malaysia
Select one of your emails
You have multiple emails registered with Frontiers:
Notify me on publication
Please enter your email address:
If you already have an account, please login
You don't have a Frontiers account ? You can register here
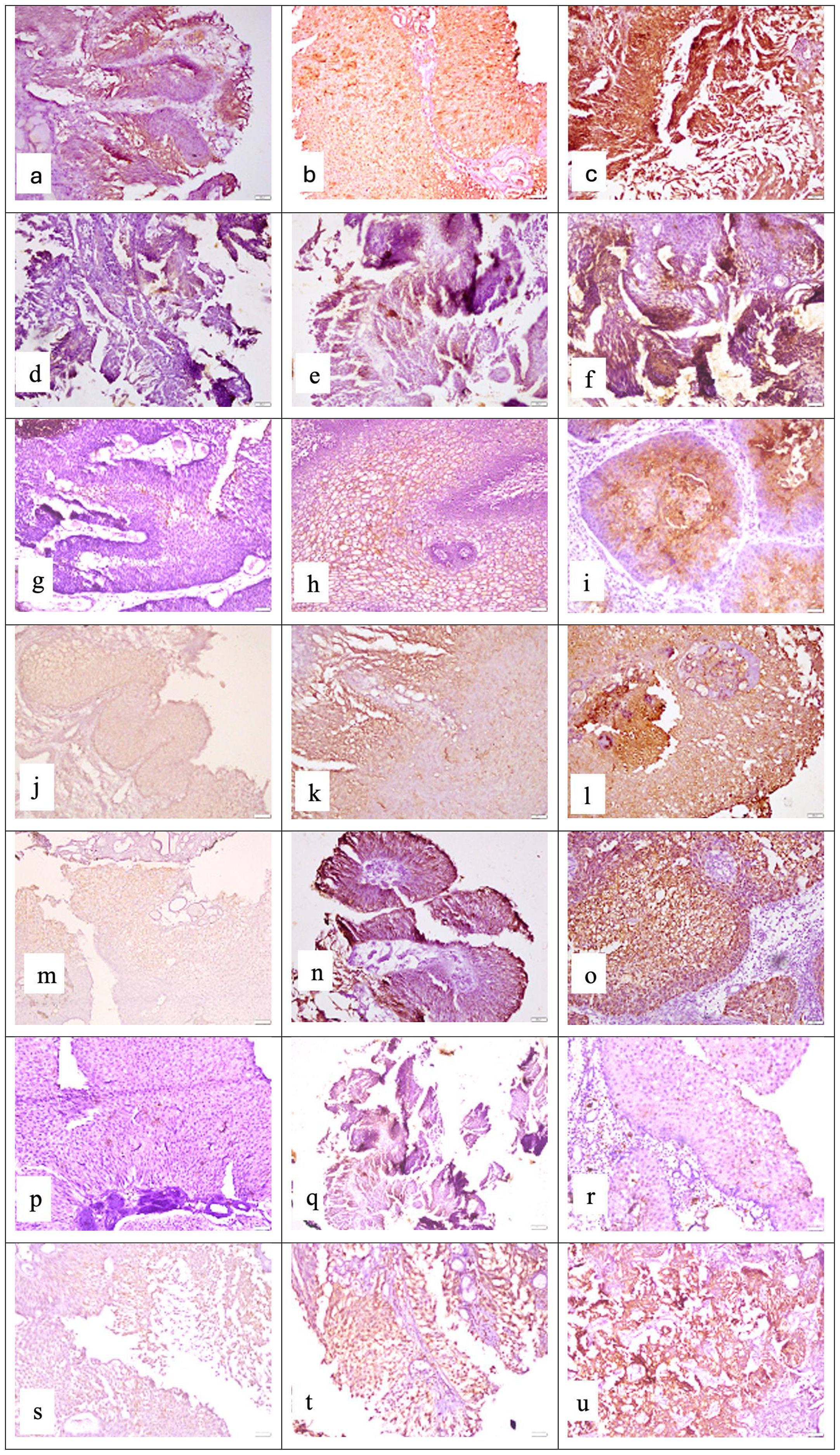
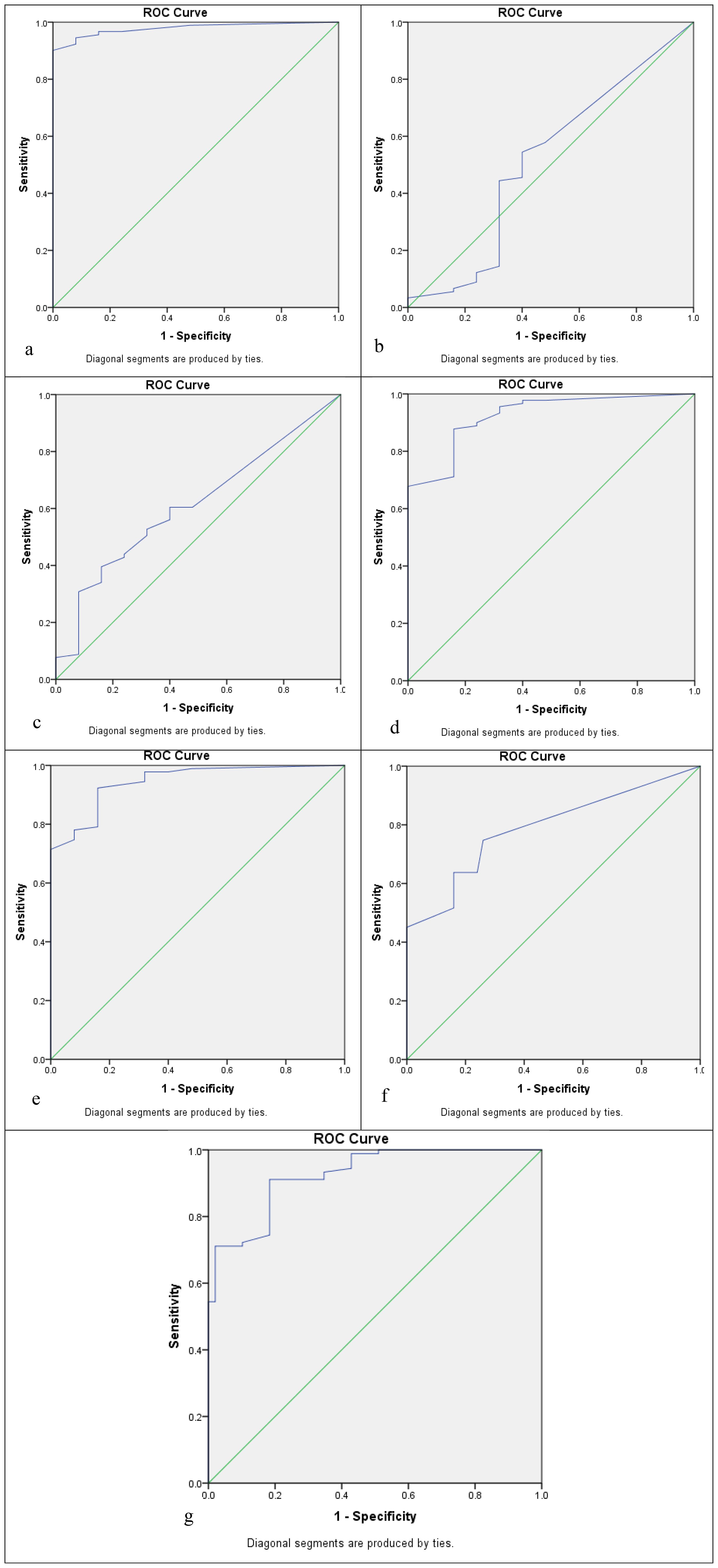
Objective To evaluate the diagnostic performance of APOA4, CEACAM1, CD147, DJ-1/PARK7, Gamma-synuclein, S100A1, and Stathmin-1 in urothelial carcinoma and establish optimal immunohistochemical cut-offs for their use as diagnostic markers. Method This cross-sectional study included 141 histologically confirmed urothelial carcinoma cases and controls. Immunohistochemical staining was optimized for each biomarker, and semi-quantitative scoring was applied. Diagnostic validity was assessed using receiver operating characteristic (ROC) analysis, comparing sensitivity and specificity across several cut-offs and biomarker panels. Results Among seven biomarkers, APOA4, DJ-1/PARK7, Gamma-synuclein, and Stathmin-1 demonstrated high diagnostic accuracy (≥ 80% sensitivity and specificity). Using an Allred score ≤ 2 as a cut-off, the sensitivity/specificity were: APOA4 96%/100%, DJ-1/PARK7 97%/94%, Gamma-synuclein 98%/84%, and Stathmin-1 98%/90%. A combined panel of these four biomarkers achieved near-perfect diagnostic performance, reaching almost 100% sensitivity and specificity. Conclusion A biomarker panel comprising Stathmin-1, DJ-1/PARK7, Gamma-synuclein, and APOA4 reliably distinguish urothelial carcinoma from benign urothelium. These markers, when integrated with cytology, could enhance the diagnostic precision and reduce dependance on invasive cystoscopy. The proposed cut-offs (10-20% positive cells or Allred ≤ 2) offer clinically actional threshold for histopathological practice.
Keywords: Bladder cancer, urothelial carcinoma, Immunohistochemistry, Diagnostic accuracy, gene
Received: 04 Mar 2025; Accepted: 28 Oct 2025.
Copyright: © 2025 Sharif, Shah, Ali, KHAN, Nishan, Alobaid, Safi and Muhammad. This is an open-access article distributed under the terms of the Creative Commons Attribution License (CC BY). The use, distribution or reproduction in other forums is permitted, provided the original author(s) or licensor are credited and that the original publication in this journal is cited, in accordance with accepted academic practice. No use, distribution or reproduction is permitted which does not comply with these terms.
* Correspondence:
Walayat Shah, walayats.ibms@kmu.edu.pk
Sher Zaman Safi, dr.szsafi@gmail.com
Nawshad Muhammad, nawshad.ibms@kmu.edu.pk
Disclaimer: All claims expressed in this article are solely those of the authors and do not necessarily represent those of their affiliated organizations, or those of the publisher, the editors and the reviewers. Any product that may be evaluated in this article or claim that may be made by its manufacturer is not guaranteed or endorsed by the publisher.
