ORIGINAL RESEARCH article
Front. Oncol.
Sec. Cancer Epidemiology and Prevention
This article is part of the Research TopicThe Future of Cancer Surveillance ResearchView all 31 articles
Global Burden and Future Trends of Gastric Cancer in Women of Reproductive Age: Estimates from the GBD 2021 Study, 1990–2050
Provisionally accepted- Dahua Hospital, Shanghai, China
Select one of your emails
You have multiple emails registered with Frontiers:
Notify me on publication
Please enter your email address:
If you already have an account, please login
You don't have a Frontiers account ? You can register here
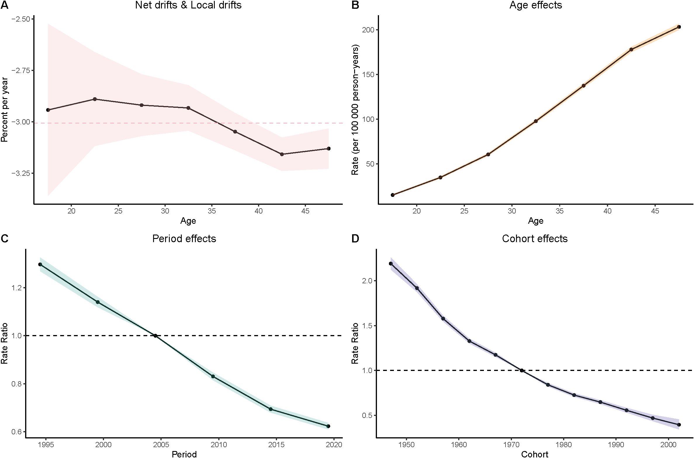
Background Gastric cancer (GC) is the fifth most common malignancy and the third leading cause of cancer-related mortality worldwide. Although incidence is higher in men, GC remains a significant health issue for women of reproductive age (15–49 years) due to biological, hormonal, and socioeconomic factors. However, this population has been underrepresented in cancer surveillance. This study assessed global, regional, and national GC burden among women from 1990 to 2021 and projected future trends to 2050 using Global Burden of Disease (GBD) 2021 data. Methods We analyzed GBD 2021 data from 204 countries and territories for females aged 15–49. Indicators included incidence, mortality, disability-adjusted life years (DALYs), and age-standardized rates (ASRs). Temporal trends were quantified using estimated annual percentage change (EAPC) and Joinpoint regression, stratified by Socio-demographic Index (SDI). Forecasts to 2050 were derived from age-period-cohort modeling. This study follows GATHER guidelines. Results From 1990 to 2021, the GC burden in women aged 15–49 declined globally: ASPR decreased from 10.42 to 5.41 per 100,000 (EAPC −2.11), ASIR from 4.61 to 2.13 (EAPC −2.56), ASMR from 2.02 to 0.89 (EAPC −3.02), and ASDR from 59.6 to 23.8 per 100,000 (EAPC −3.00). High-SDI regions achieved the steepest reductions, while low-SDI regions showed modest progress. The burden peaked in women aged 45–49. By 2050, ASIR is projected to reach 2.81 per 100,000 persons (95% CI: 2.06, 3.56), reflecting an increase relative to 2021, largely in low-and middle-SDI countries. Conclusions Despite overall global declines, substantial regional and socioeconomic disparities persist. High-SDI regions benefit from improved healthcare and screening, whereas low-SDI regions face slower progress. Strengthening H. pylori screening, early detection, dietary interventions, and healthcare equity is essential. Region-specific strategies are needed to further reduce the GC burden among women of reproductive age.
Keywords: gastric cancer, Global burden of disease, Women of reproductive age, Epidemiology, socio-demographic index, Disability-adjusted life years, Disease trends, Forecasting
Received: 23 Apr 2025; Accepted: 24 Oct 2025.
Copyright: © 2025 Jiang. This is an open-access article distributed under the terms of the Creative Commons Attribution License (CC BY). The use, distribution or reproduction in other forums is permitted, provided the original author(s) or licensor are credited and that the original publication in this journal is cited, in accordance with accepted academic practice. No use, distribution or reproduction is permitted which does not comply with these terms.
* Correspondence: Nan Jiang, katherine_jiang@hotmail.com
Disclaimer: All claims expressed in this article are solely those of the authors and do not necessarily represent those of their affiliated organizations, or those of the publisher, the editors and the reviewers. Any product that may be evaluated in this article or claim that may be made by its manufacturer is not guaranteed or endorsed by the publisher.