ORIGINAL RESEARCH article
Front. Oncol.
Sec. Genitourinary Oncology
This article is part of the Research TopicArtificial Intelligence in Public Health: Advancing Multidisciplinary Applications for Population HealthView all articles
Deep learning-based survival analysis of bladder cancer patients in the Putuo District, Shanghai, China
Provisionally accepted- Shanghai Putuo Center for Disease Control and Prevention, Shanghai, China
Select one of your emails
You have multiple emails registered with Frontiers:
Notify me on publication
Please enter your email address:
If you already have an account, please login
You don't have a Frontiers account ? You can register here
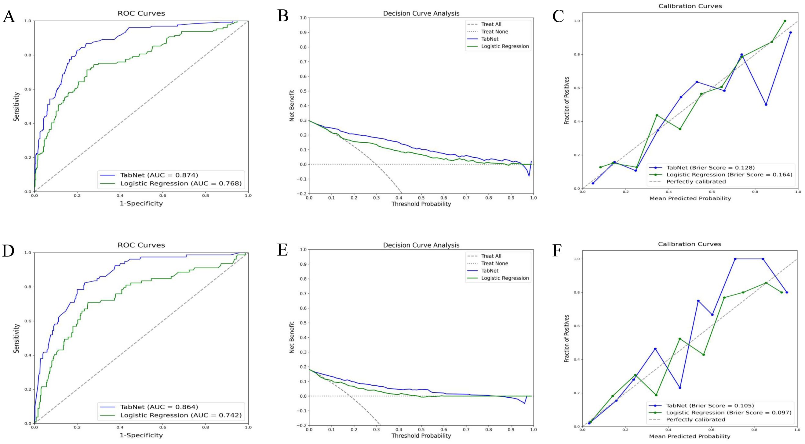
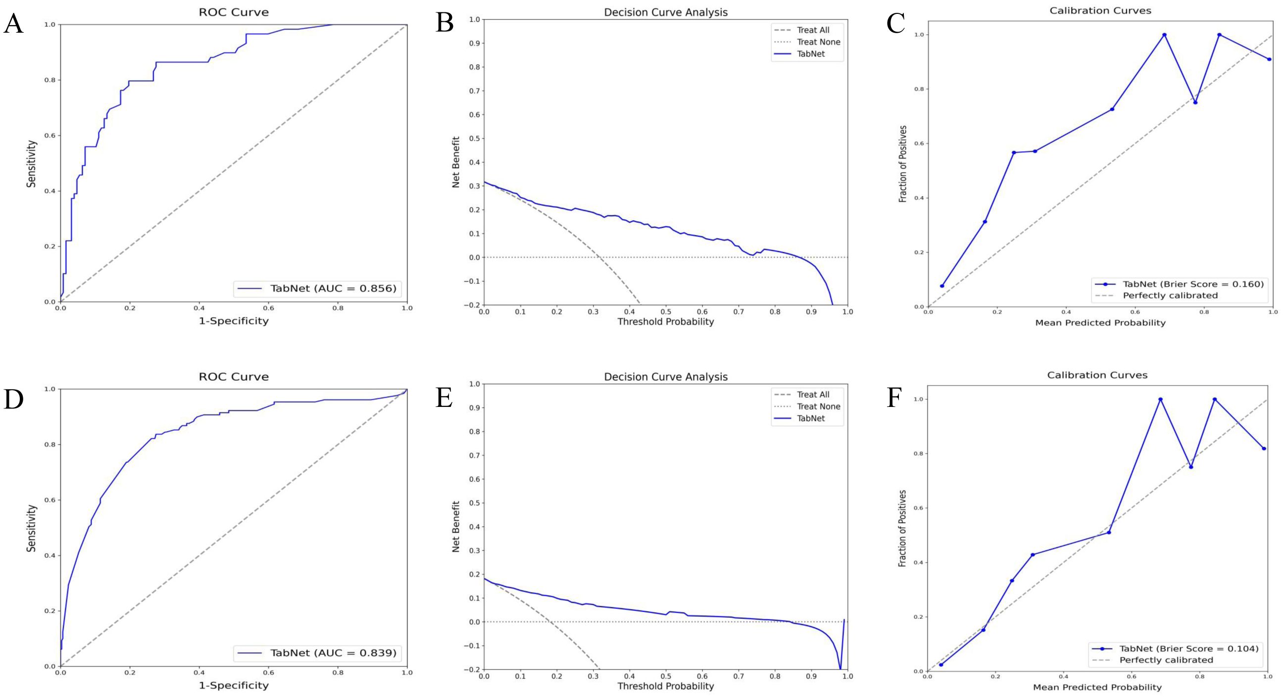
Background: Bladder cancer poses significant health risks and necessitates effective public health management. Objective: To develop a deep-learning survival prediction model using TabNet and compare its performance with logistic regression. Methods: Data on bladder cancer patients were collected from the Putuo District subset of Shanghai Cancer Registration and Reporting System. A total of 620 patients were included, divided into a training cohort (n=434) and a validation cohort (n=186). Logistic regression analyses were conducted to identify risk factors, while the TabNet framework was used to develop a deep learning-based model. Model performance was evaluated using ROC curves, decision curve analysis, and calibration curves. Shapley Additive Explanations (SHAP) was applied to interpret feature importance. Results: Baseline characteristics showed no significant differences between the training and validation cohorts (P>0.05). The TabNet model demonstrated high discriminative ability in predicting both 5-year OS and CSS within the training cohort, with net benefits surpassing those of logistic regression, and showed good calibration. In the validation cohort, the TabNet model exhibited excellent performance in predicting 5-year OS and CSS. SHAP analysis revealed that age, T stage, and N stage were the most influential factors. Conclusion: The TabNet model showed robust performance in predicting bladder cancer survival, offering valuable insights for community-based management and follow-up strategies.
Keywords: deep learning, Bladder cancer, Survival, Logistic regression, 5-year
Received: 28 Apr 2025; Accepted: 10 Nov 2025.
Copyright: © 2025 Wang, Yuan, Feiya, Lijuan and Yicen. This is an open-access article distributed under the terms of the Creative Commons Attribution License (CC BY). The use, distribution or reproduction in other forums is permitted, provided the original author(s) or licensor are credited and that the original publication in this journal is cited, in accordance with accepted academic practice. No use, distribution or reproduction is permitted which does not comply with these terms.
* Correspondence: Shen Yuan, zlfzk207@126.com
Disclaimer: All claims expressed in this article are solely those of the authors and do not necessarily represent those of their affiliated organizations, or those of the publisher, the editors and the reviewers. Any product that may be evaluated in this article or claim that may be made by its manufacturer is not guaranteed or endorsed by the publisher.
