ORIGINAL RESEARCH article
Front. Oncol.
Sec. Thoracic Oncology
Correlation analysis between EGFR gene mutation status, ALK positivity and demographic data, tumor biomarkers, radiological and pathological features in patients with lung adenocarcinoma
Provisionally accepted- 1Affiliated Zhongshan Hospital of Dalian University, Dalian, China
- 2Second Hospital of Dalian Medical University, Dalian, China
- 3School of Software Technology, Dalian University of Technology, Dalian, China
Select one of your emails
You have multiple emails registered with Frontiers:
Notify me on publication
Please enter your email address:
If you already have an account, please login
You don't have a Frontiers account ? You can register here
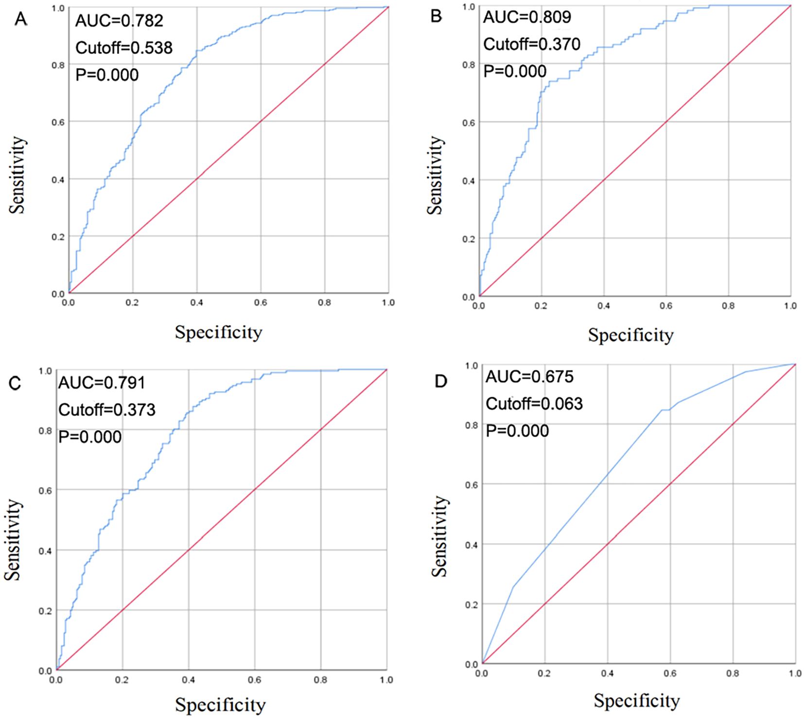
Objective: This study aimed to explore the relationship between EGFR mutations, ALK positivity, and demographic, tumor, radiological, and pathological characteristics in lung adenocarcinoma patients. Methods: This study included 626 patients with early-stage lung adenocarcinoma who underwent surgical resection between October 2017 and December 2023.EGFR and ALK mutations were analyzed postoperatively. Clinical, pathological, and imaging features such as gender, age, smoking status, and tumor characteristics were assessed. Patients were categorized based on their mutation status, and comparisons were made regarding their clinical and imaging features. Results: Results indicated that EGFR-positive patients were predominantly female, younger, and had a higher frequency of non-smokers compared to the wild-type (WT) group. EGFR mutations, particularly the exon 19 deletions and L858R mutations, were more common in patients with moderate differentiation and lepidic or acinar predominant histological subtypes. CT imaging revealed that EGFR-positive tumors were smaller in size and had fewer solid components compared to WT tumors. Additionally, certain CT features such as the spicule sign and air bronchogram were significantly associated with EGFR mutations. For ALK mutations, the analysis showed that patients with ALK-positive tumors had distinct radiological features, including a higher occurrence in the lower lobes and fewer ground glass nodules compared to the WT group. Conclusions: The study concluded that specific radiological and pathological characteristics, along with EGFR and ALK mutation statuses, could be used to guide the treatment and diagnosis of lung adenocarcinoma.
Keywords: Lung adenocarcinomas, EGFR gene mutation, ALK positivity, Demographic data, Tumor biomarkers, imaging, Pathology
Received: 12 May 2025; Accepted: 07 Nov 2025.
Copyright: © 2025 Zhang, Zhang, Zhao and Zhao. This is an open-access article distributed under the terms of the Creative Commons Attribution License (CC BY). The use, distribution or reproduction in other forums is permitted, provided the original author(s) or licensor are credited and that the original publication in this journal is cited, in accordance with accepted academic practice. No use, distribution or reproduction is permitted which does not comply with these terms.
* Correspondence:
Liang Zhao, liangzhao@dlut.edu.cn
Zhi Long Zhao, zzlhospital_ln@163.com
Disclaimer: All claims expressed in this article are solely those of the authors and do not necessarily represent those of their affiliated organizations, or those of the publisher, the editors and the reviewers. Any product that may be evaluated in this article or claim that may be made by its manufacturer is not guaranteed or endorsed by the publisher.
