ORIGINAL RESEARCH article
Front. Oncol.
Sec. Cancer Epidemiology and Prevention
Liver Cancer Burden Attributable to High Body Mass Index and High Fasting Plasma Glucose in BRICS Countries (1990–2021): A Global Burden of Disease 2021 Analysis with Projections to 2050
Provisionally accepted- 1Quanzhou Medical College, Quanzhou, China
- 2The Second Affiliated Hospital of Fujian Medical University, Quanzhou, China
- 3Zhuhai UM Science & Technology Research Institute, University of Macau, Macau SAR, China
Select one of your emails
You have multiple emails registered with Frontiers:
Notify me on publication
Please enter your email address:
If you already have an account, please login
You don't have a Frontiers account ? You can register here
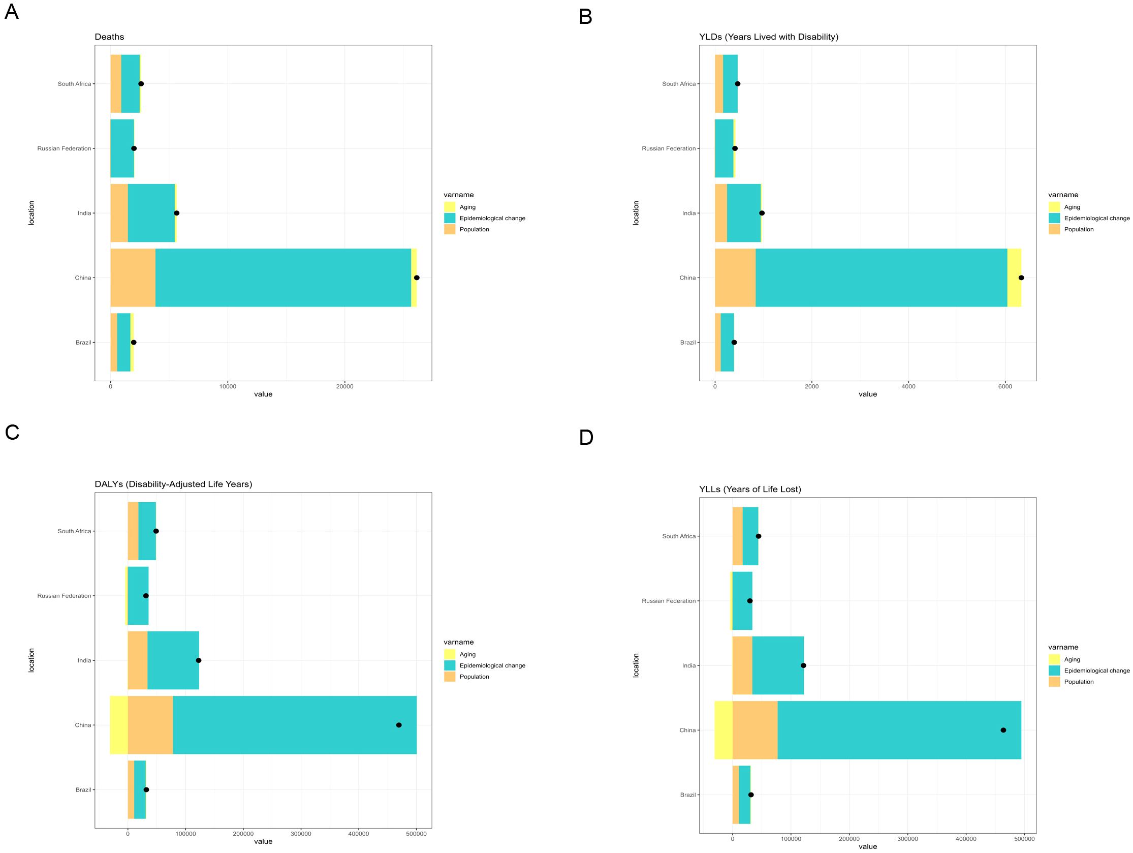
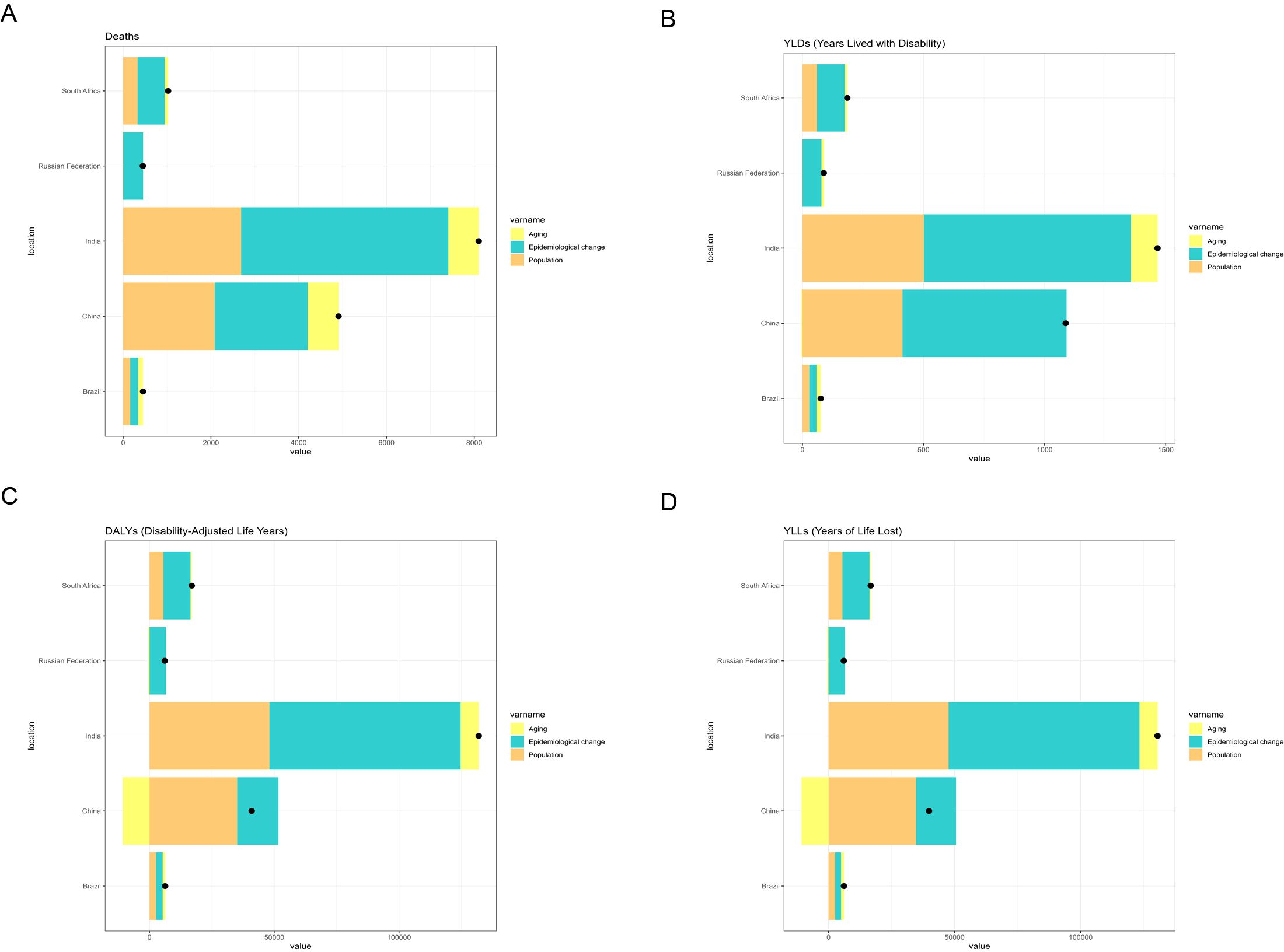
Background: With the escalating prevalence of obesity and diabetes, high body mass index (BMI) and high fasting plasma glucose (HFPG) have emerged as increasingly significant risk factors for liver cancer worldwide. This study evaluates the burden of liver cancer attributable to high BMI and HFPG in BRICS countries from 1990 to 2021 and projects future trends to 2050, drawing upon data from the Global Burden of Disease (GBD) Study 2021. Method: Data on liver cancer burden, stratified by sex and age, were retrieved from the GBD database. Trends were assessed using estimated annual percentage change (EAPC) with 95% confidence intervals. Autoregressive integrated moving average (ARIMA) and exponential smoothing (ES) models were employed to generate future projections. Result: In 2021, South Africa exhibited the highest liver cancer mortality rate attributable to high BMI, whereas India recorded the most rapid growth. Between 1990 to 2021, mortality and disability-adjusted life years (DALYs) associated with high BMI-related liver cancer increased substantially in China, particularly among older populations. The decomposition analysis revealed that epidemiological change was the dominant driver behind the rising burden in both China and India, with population growth being a secondary yet substantial factor. Epidemiological transitions accounted for the predominant rise in mortality and DALYs in China and India. Forecasts indicate persistent increases in liver cancer mortality and DALYs attributable to high BMI and HFPG through 2050. This is a provisional file, not the final typeset article Conclusion: The liver cancer burden attributable to high BMI and HFPG is anticipated to escalate across BRICS countries. Enhanced efforts in prevention, early screening, and comprehensive management of obesity, diabetes, and metabolic disorders are indispensable to mitigate the projected impact.
Keywords: liver cancer, High BMI, HFPG, burden of disease, projections
Received: 13 May 2025; Accepted: 24 Oct 2025.
Copyright: © 2025 Cai, Lan, Wang, Cheng and Xu. This is an open-access article distributed under the terms of the Creative Commons Attribution License (CC BY). The use, distribution or reproduction in other forums is permitted, provided the original author(s) or licensor are credited and that the original publication in this journal is cited, in accordance with accepted academic practice. No use, distribution or reproduction is permitted which does not comply with these terms.
* Correspondence:
Hongwei Cheng, zumri.hwcheng@um.edu.mo
Shuangta Xu, xushuangta@fjmu.edu.cn
Disclaimer: All claims expressed in this article are solely those of the authors and do not necessarily represent those of their affiliated organizations, or those of the publisher, the editors and the reviewers. Any product that may be evaluated in this article or claim that may be made by its manufacturer is not guaranteed or endorsed by the publisher.
