Abstract
Objectives:
Radiotherapy (RT), particularly stereotactic body radiotherapy (SBRT), is a promising treatment for borderline resectable or locally advanced pancreatic cancer (PC). This study evaluated the association of RT facility volume with overall survival (OS) and examined patterns of care for patients with PC.
Methods:
A retrospective cohort study using National Cancer Database (NCDB) data (2004-2019) included 17,053 PC patients treated with RT, excluding those with metastatic or stage IV disease. RT facility volumes were categorized as low- (<10 cases/year), intermediate- (10–20 cases/year), and high-volume (>20 cases/year). Predictors of OS, including facility volume, RT type, and patient/treatment factors, were evaluated.
Results:
Among 17,053 patients (median age 67 years, 51.4% male), 17.6% received SBRT, and 27.1% were treated at high-volume centers. Treatment at high-volume centers (HR 0.863, p<0.001) and receiving SBRT (HR 0.869, p<0.001) were associated with improved OS. SBRT use increased from 8.5% (2004-2011) to 30% (2016-2019).
Conclusion:
High-volume RT centers are associated with significantly better survival outcomes in PC patients, particularly those receiving SBRT. These findings emphasize the need to expand access to high-volume centers and develop standardized treatment protocols to improve care and outcomes for all patients.
Introduction
Pancreatic cancer (PC) has one of the highest mortality rates of any cancer, with an estimated 5-year survival rate of only 11.5% and a complete surgical resection provides the only chance for cure (1). The role of radiotherapy (RT) in the management of PC remains controversial. However, in cases where the tumor is found to be borderline resectable (BRPC) or locally advanced (LAPC), since complete resection with negative surgical margins (R0) may not be possible, emerging evidence suggest a potential role for RT with the aim of improving negative margin rates or reducing the burden of local disease and enhancing local control when surgery is not possible. Neoadjuvant chemoradiotherapy has recently been shown to improve overall survival (OS) when compared to upfront surgery plus adjuvant chemotherapy in patients with resectable and borderline resectable pancreatic cancer (2–4).
Modern advances in RT delivery, particularly stereotactic body RT (SBRT), allow for the precise delivery of a high radiation dose to the target, steep dose gradients beyond the target, as well as reduced overall treatment time (5, 6). However, due in part to the novelty of SBRT in the management of PC, guidelines standardizing optimal patient selection for pancreas SBRT, dosing, simulation technique, and volume delineation are lacking (6). In fact, SBRT was included in the multi-institutional Alliance A021501 phase II trial of neoadjuvant therapy using FOLFIRINOX combined with SBRT versus FOLFIRINOX alone for patients with BRPC and the R0 resection rate was lower in the SBRT arm (7). This study was also associated with low rates of pancreatectomy (35%) and treatment completion (18%) in the SBRT arm, sharply conflicting with the results of many single institution studies of pre-operative SBRT for BRPC and LAPC (8–10). Incorporating pre-operative SBRT followed by surgery in a national study that was performed at small centers with limited experience using this approach instead of limiting the enrollment to high-volume pancreas cancer centers may have impacted on the outcome of this study.
Treatment at higher-volume radiation oncology centers has been associated with improved OS in patients with various cancers (11–15). This association between OS and high-volume centers has also been established in PC resection, with significantly higher mortality rates in patients treated in low-volume centers (16–18). However, the impact of facility volume on OS in patients with PC that receive RT, particularly SBRT, is not well understood. Additionally, despite expanding evidence on the benefits of SBRT in PC in single-institution studies (8, 9, 19), it remains unknown how practice patterns of radiotherapy in BRPC and LAPC are changing in the United States. Ascertaining this information can better characterize the role of RT in PC, as well as identify variations in treatment that can ultimately be addressed to improve care. In the case of pancreatic cancer, where treatment modalities and their outcomes can vary significantly, an examination of these patterns of care can greatly contribute to our understanding and aid in improving treatment strategies.
Methods
The National Cancer Database
The National Cancer Database (NCDB) is a joint project of the Commission on Cancer of the American College of Surgeons and the American Cancer Society (20). It draws from over 1,500 commission-accredited cancer programs, representing 70% of all cancer cases in the US. This study utilizes de-identified data from the NCDB.
Study population
The subset of the NCDB from 2004–2019 that includes all cases coded for pancreatic cancer were included (n=498,987). Only patients with known vital status and follow-up were included (n=458,750). Inclusion was limited to patients who received RT with a dose and number of fractions consistent with either SBRT or Standard Fractionation (n=36,542), however patients who received hypofractionated ablative RT (6000–7500 cGy over 15–25 fractions) were excluded due to low numbers. All patients with metastatic disease or Stage IV disease were excluded from this study (n=31,231). To better ensure that patients were being treated curatively and not palliatively, only patients receiving chemotherapy were included (n=29,436). Additionally, only patients who received surgery after radiation or did not undergo surgery at all were included (n=17,053).
Study design and measures
This is a retrospective cohort study. The included variables were race, ethnicity, age, year of diagnosis, facility type, insurance status, facility volume, distance to facility, rurality, Charlsson-Deyo comorbidity score, radiation type, and chemotherapy type. Year of diagnosis was categorized into four groups of four years. Facility type was dichotomized by academic/research program status.
Facility volume was measured by utilizing the yearly average RT cases for each institution. These facilities were categorized into low- (<10 cases/yr), intermediate- (10–20 cases/yr), and high-volume (>20 cases/yr) facilities. This volume stratification was determined utilizing the surgical literature as a reference (18). The RT modalities extracted from the NCDB included SBRT and standard fractionation. SBRT was defined as a total dose between 3000–5000 cGy over 6 or less fractions, and standard fractionation was defined as a total dose between 4500–5600 cGy between 25 and 30 fractions.
Statistical analysis
Statistical analyses were performed in R using the finalfit and survival packages with a significance level at 0.05. Univariate survival analysis was performed with the log-rank test, to assess each variable’s association with overall survival. Patient, clinical, and treatment variables were selected a priori; academic/research program status was excluded from the multivariable analysis due to collinearity with facility volume. Cox regression was used to complete multivariable analysis and to estimate hazard ratios (HR) for overall survival with a significance level at 0.05. Overall survival was plotted using the Kaplan-Meier method.
Results
Patient characteristics
This retrospective study included 17,053 patients diagnosed with pancreatic cancer between 2004 and 2019 who received radiation therapy (Table 1). The cohort was relatively evenly split between sexes (51.4% male, 48.6% female) and predominantly white (82.6%) and non-Hispanic (92.0%). Median age was 67 at diagnosis. Over half of patients had government insurance (59.8%), received care at a non-academic/research center (52.5%), and the majority lived in a metropolitan area (80.7%). Most patients received standard fractionated radiation (82.4%) and multiagent chemotherapy (57.6%).
Table 1
| Characteristic | Number | Percentage |
|---|---|---|
| Sex | ||
| Male | 8765 | 51.4 |
| Female | 8288 | 48.6 |
| Race | ||
| White | 14083 | 82.6 |
| Black | 2281 | 13.4 |
| Unknown | 123 | 0.7 |
| Other | 566 | 3.3 |
| Ethnicity | ||
| Hispanic | 676 | 4.0 |
| Non-Hispanic | 15681 | 92.0 |
| Unknown | 696 | 4.1 |
| Age | ||
| < 70 | 10354 | 60.7 |
| >= 70 | 6699 | 39.3 |
| Year of diagnosis | ||
| 2004-2007 | 1734 | 10.2 |
| 2008-2011 | 4797 | 28.1 |
| 2012-2015 | 5634 | 33.0 |
| 2016-2019 | 4888 | 28.7 |
| Academic/Research program | ||
| Yes | 7993 | 47.5 |
| No | 8940 | 52.5 |
| Insurance status | ||
| None | 344 | 2.0 |
| Private | 6227 | 36.5 |
| Unknown | 280 | 1.6 |
| Government | 10202 | 59.8 |
| Facility volume | ||
| High | 4617 | 27.1 |
| Intermediate | 3964 | 23.2 |
| Low | 8472 | 49.7 |
| Distance to facility | ||
| <= 12.7 | 7630 | 44.7 |
| > 12.7 | 7690 | 45.1 |
| (Missing) | 1733 | 10.2 |
| Rurality | ||
| Metropolitan | 13755 | 80.7 |
| Rural | 315 | 1.8 |
| Urban | 2307 | 13.5 |
| Radiation type | ||
| SBRT | 3008 | 17.6 |
| Standard Fractionation | 14045 | 82.4 |
| Chemotherapy type | ||
| Yes, Unk type | 426 | 2.5 |
| Single Agent | 6803 | 39.9 |
| Multiagent | 9824 | 57.6 |
| Surgery | ||
| Yes | 3703 | 21.7 |
| No | 13350 | 78.3 |
Patient characteristics.
Treatment characteristics
From 2004 to 2019, RT utilization in PC treatment increased; between 2004-2011, there were 6,531 patients treated with RT, and between 2012-2019, there were 10,522 patients treated with RT. Additionally, SBRT utilization increased; between 2004 to 2011, only 8.5% of PC cases were treated with SBRT, however, from 2016 to 2019, 30.0% of PC cases were treated with SBRT. Most patients were treated in low-volume RT centers (49.7%), while intermediate- and high-volume centers treated 23.2% and 27.1% of patients, respectively. SBRT utilization increased across all facility volume categories from 2004–2019, with the most rapid adoption at high-volume centers. Among high-volume facilities, SBRT use rose from 7.7% in 2004–2007 to 45.3% in 2016–2019, compared with increases from 5.9% to 20.4% at low-volume centers and from 5.2% to 30.9% at intermediate-volume centers (Supplementary Table 1).
Univariable survival analysis
In univariable analyses, several factors were significantly associated with survival (Table 2). Male sex was associated with slightly improved survival (HR 0.962, p=0.0206). Older age (≥70 years) was associated with worse survival (HR 1.233, p<0.001). More recent year of diagnosis was associated with improved survival (p<0.001). Receiving care at a high-volume center (HR 0.665, p<0.001), an academic center (HR 0.741, p<0.001), not having government insurance (HR 0.806 for private insurance, p<0.001), and living farther from a treatment facility (>12.7 miles, HR 0.898, p<0.001) were also predictive of survival. Compared to standard fractionated radiation, SBRT was associated with improved survival (HR 0.717, p<0.001). Patients who received single-agent chemotherapy (HR 1.728, p<0.001) or did not undergo surgery (HR 2.757, p<0.001) had worse survival.
Table 2
| Variable | Univariable | Multivariable | ||||
|---|---|---|---|---|---|---|
| HR | 95% CI | P | HR | 95% CI | P | |
| Sex | ||||||
| Female | 1 | 1 | ||||
| Male | 0.962 | 0.932-0.994 | 0.021 | 0.961 | 0.927-0.996 | 0.031 |
| Race | ||||||
| White | 1 | 1 | ||||
| Black | 1.005 | 0.958-1.054 | 0.851 | 0.911 | 0.863-0.961 | 0.001 |
| Other | 0.830 | 0.755-0.914 | <0.001 | 0.831 | 0.748-0.925 | 0.001 |
| Ethnicity | ||||||
| Non-Hispanic | 1 | |||||
| Hispanic | 0.823 | 0.755-0.897 | <0.001 | |||
| Age | ||||||
| < 70 | 1 | 1 | ||||
| >= 70 | 1.233 | 1.193-1.274 | <0.001 | 1.060 | 1.016-1.105 | 0.007 |
| Year of Diagnosis | ||||||
| 2004-2007 | 1 | 1 | ||||
| 2008-2011 | 0.800 | 0.756-0.846 | <0.001 | 0.870 | 0.819-0.925 | <0.001 |
| 2012-2015 | 0.596 | 0.564-0.630 | <0.001 | 0.771 | 0.725-0.820 | <0.001 |
| 2016-2019 | 0.461 | 0.435-0.489 | <0.001 | 0.647 | 0.604-0.692 | <0.001 |
| Academic/Research Program | ||||||
| Yes | 1 | |||||
| No | 1.350 | 1.307-1.395 | <0.001 | |||
| Insurance Status | ||||||
| Private | 1 | 1 | ||||
| None | 1.307 | 1.162-1.470 | <0.001 | 1.068 | 0.942-1.212 | 0.302 |
| Government | 1.240 | 1.198-1.283 | <0.001 | 1.114 | 1.067-1.162 | <0.001 |
| Facility Volume | ||||||
| Low (<10) | 1 | 1 | ||||
| Intermediate (10-20) | 0.822 | 0.790-0.857 | <0.001 | 0.967 | 0.923-1.012 | 0.146 |
| High (20+) | 0.665 | 0.640-0.692 | <0.001 | 0.863 | 0.823-0.904 | <0.001 |
| Distance to Facility | ||||||
| <= 12.7 | 1 | 1 | ||||
| > 12.7 | 0.898 | 0.868-0.929 | <0.001 | 1.051 | 1.009-1.094 | 0.017 |
| Rurality | ||||||
| Metropolitan | 1 | 1 | ||||
| Rural | 1.206 | 1.072-1.357 | 0.002 | 1.099 | 0.962-1.255 | 0.166 |
| Urban | 1.099 | 1.048-1.152 | <0.001 | 0.999 | 0.946-1.055 | 0.968 |
| Charlsson-Deyo | ||||||
| 0 | 1 | 1 | ||||
| 1+ | 1.046 | 1.010-1.082 | 0.011 | 1.071 | 1.031-1.112 | <0.001 |
| Radiation Type | ||||||
| Standard Fractionation | 1 | 1 | ||||
| SBRT | 0.717 | 0.686-0.750 | <0.001 | 0.869 | 0.827-0.914 | <0.001 |
| Chemotherapy Type | ||||||
| Multiagent | 1 | 1 | ||||
| Single Agent | 1.728 | 1.672-1.786 | <0.001 | 1.409 | 1.354-1.466 | <0.001 |
| Surgery | ||||||
| Yes | 1 | 1 | ||||
| No | 2.757 | 2.639-2.879 | <0.001 | 2.467 | 2.348-2.593 | <0.001 |
Univariable and Multivariable Predictors of Overall Survival.
Multivariable survival analysis
In multivariable survival analysis, many factors remained independently predictive of survival (Table 2). Older age (HR 1.060, p=0.007), and having government insurance (HR 1.114, p<0.001) were predictive of worse outcomes. Male sex (HR 0.961, p=0.031) and more recent year of diagnosis (p<0.001) remained associated with improved survival. Receiving care at a high-volume center (HR 0.863, p<0.001) or receiving SBRT (HR 0.869, p<0.001) remained significant predictors of improved survival. Patients receiving single-agent chemotherapy had worse survival than those receiving multiagent therapy (HR 1.409, p <0.001), and those who did not undergo surgery had worse survival than those who did (HR 2.467, p <0.001).
Kaplan-Meier survival curves
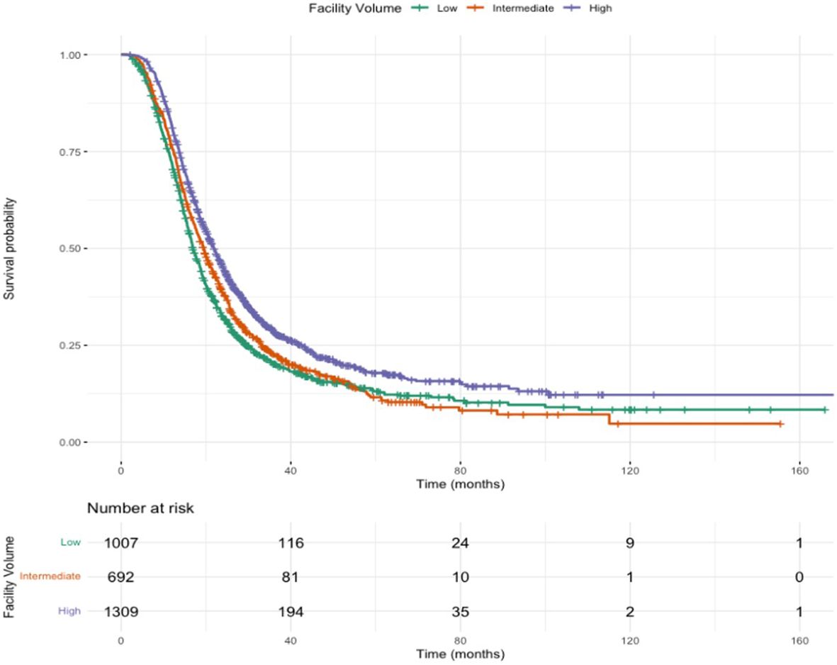
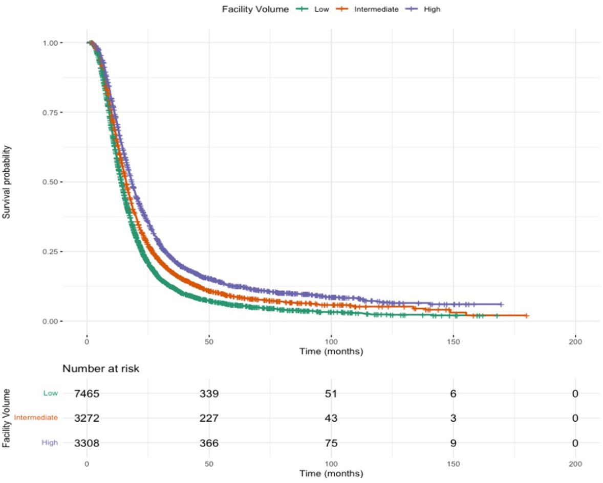
Kaplan-Meier survival curves for patients receiving SBRT or standard fractionation in low, intermediate, or high-volume centers are show in Figures 1 and 2. Patients receiving SBRT at high-volume centers had significantly higher median survival (21.9 months [20.7-23.2]) than those receiving SBRT at low-volume centers (16.9 months [16.3-18.0]). Additionally, patients receiving SBRT at high-volume centers had significantly higher median survival than those receiving standard fractionation at high-volume centers (21.9 months [20.7-23.2] v. 18.3 months [17.8-19.0]).
Figure 1

Overall survival for SBRT.
Figure 2

Overall survival for standard fractionation.
Discussion
While high-volume radiation oncology centers are generally linked to better survival outcomes in various cancers (11–15), the impact of facility volume on PC patients, especially in the context of evolving RT practices for BRPC and LAPC in the U.S., remains poorly understood. This study examined how facility volume affects OS in PC patients receiving RT, particularly SBRT. These findings suggest that high-volume centers are associated with improved OS in patients with LAPC or BRPC treated with RT across the United States, as well as characterize some patterns of care of RT in PC.
High-volume RT centers demonstrated superior OS compared to low-volume RT centers (HR 0.863, p<0.001), consistent with other RT studies examining the association of institutional volume with OS (11, 12). This trend highlights the potential benefits of treatment at high-volume centers, which could be due to factors such as higher rates of compliance with national treatment guidelines, more specialization among radiation oncologists leading to increased experience with tumor identification and contouring, more sophisticated motion management and treatment planning techniques, improved multidisciplinary collaboration, more robust RT quality assurance, and a greater availability of experienced diagnostic, therapeutic, and supportive services (15).
These findings are also consistent with the surgical literature that pancreatic cancer resection at high-volume centers is associated with improved survival outcomes (17, 18, 21). In PC, where resection can be complex due to factors such as anatomical positioning, major blood vessel involvement, and late presentation, underscoring the importance of surgeon experience in navigating these high-risk procedures and the enhanced post-operative care and comprehensive ancillary services in high-volume centers (21). Similarly, the complexity of SBRT for PC, characterized by its novelty, technical and planning sophistication, precise targeting, and lack of guideline standardization emphasizes the role of radiation oncologist expertise. In short, the multidisciplinary team experience and specialization that can be found in high volumes centers likely contribute to improved outcomes in patients receiving complex procedures.
Studies in other cancers such as prostate and lung demonstrate exponential growth in the utilization of SBRT over the past two decades (22, 23). This study suggests a similar increase in the utilization of SBRT in PC; from 2004 to 2011, only 8.5% of PC cases were treated with SBRT, however, from 2016 to 2019, 30% of PC cases were treated with SBRT. When stratified by facility volume, SBRT adoption increased across all center types but was most pronounced at high-volume institutions. SBRT use rose from 7.7% to 45.3% in high-volume centers, compared with 5.9% to 20.4% in low-volume centers and 5.2% to 30.9% in intermediate-volume centers (Supplementary Table 1). The slower rise among low- and intermediate-volume centers suggests ongoing disparities in access to SBRT capabilities and experience.
Previous single-institution studies at high-volume centers demonstrate improved OS following neoadjuvant SBRT (8, 9, 19). This study suggests that these findings are consistent among patients treated across the United States, suggesting that there may be improved OS in patients receiving SBRT (HR 0.869, p<0.001) compared to standard fractionation. The Kaplan-Meier curves demonstrate that this trend is not limited to only high-volume centers but is consistent across low- and intermediate-volume centers as well.
Despite the superior OS associated with SBRT, only 17.6% of patients in this study received SBRT, and the majority of these patients were treated in high-volume centers. One explanation could be the extensive multidisciplinary preparation SBRT requires including placing gold fiducial markers endoscopically, high quality treatment planning capabilities, and experienced physicists and radiation therapy staff to implement motion management techniques (24).
The study demonstrated that although low-volume centers utilize SBRT less than high-volume centers, most patients are treated in low-volume RT centers (49.7%). This is a significant finding as it underscores the need to enhance access to treatment options that show significantly improved survival, such as SBRT, in these settings.
In general, our findings suggest that there is a significant increase in OS in patients with PC treated with RT from 2004-2019, across all institutions and treatment types. In addition to more effective chemotherapy regimens such as FOLFIRINOX and gemcitabine/nab-paclitaxel, other contributing factors include advancements in diagnostic techniques, better palliative care, improved chemotherapy and surgery guidelines, as well as advancements in RT such as SBRT.
Despite the large sample size and plethora of variables available through the NCDB, it is limited by its retrospective nature. RT modality was not coded for most patients, hence modality was determined from RT dosing and fractionation. Additionally, the significant underrepresentation of Hispanic patients in our cohort, at only 4.0% versus the national average of 19.1% (25), suggests potential issues in either the NCDB’s ethnicity data collection or access to care at NCDB affiliated centers. This discrepancy is consistent with previous literature, which has documented challenges in accurately capturing ethnicity data from the NCDB, and thus it was excluded from the multivariable analysis (26). Facility-level surgical and radiotherapy volumes are likely correlated in pancreatic cancer, as both treatments are typically concentrated at tertiary centers. While this overlap is unavoidable in real-world data, it should be recognized as a general limitation of national database analyses. The NCDB also does not code for certain factors potentially affecting survival outcomes by radiation facility volume, such as protocol adherence, diagnostic imaging availability, supportive services, and multidisciplinary tumor boards or clinics.
These findings suggest that radiation oncologists’ expertise is critical for providing high-quality RT in PC, especially for SBRT. However, given that most patients receive treatment in low-volume centers, it is crucial to ensure that the high standards of care and treatment protocols established in high-volume centers are consistently implemented in these lower-volume settings.
In conclusion, this study highlights the importance of facility volume in the survival outcomes of PC patients, particularly with the use of SBRT. The increasing adoption of SBRT, its impact on survival, and the current underutilization in lower-volume centers point to the need for broader access to advanced radiation therapies and dissemination of standardized guidelines for contouring, treatment planning and treatment delivery. Educational opportunities should be provided through radiation oncology national societies to ensure that radiation oncologists who may not have training in pancreas SBRT are given the tools they need to incorporate the new techniques into their practices. Incentivizing physicians to pursue further training can be achieved through providing accreditation to radiation oncology sites for specialized techniques such as SBRT based on performance. The observed improvement in survival over time underscores the ongoing advancements in PC treatment, while also indicating areas for future research and guideline development.
Statements
Data availability statement
Publicly available datasets were analyzed in this study. This data can be found here: The data that support the findings of this study are available from the National Cancer Database (NCDB).
Ethics statement
This study was exempt from IRB approval, as it was conducted with de-identified data from the NCDB (UNC 20-1493. The studies were conducted in accordance with the local legislation and institutional requirements. Written informed consent for participation was not required from the participants or the participants’ legal guardians/next of kin in accordance with the national legislation and institutional requirements.
Author contributions
AR: Visualization, Software, Data curation, Investigation, Writing – original draft, Methodology, Funding acquisition, Formal analysis, Writing – review & editing. EG: Methodology, Writing – review & editing, Writing – original draft, Investigation, Supervision, Resources, Formal analysis. VP: Resources, Investigation, Writing – review & editing, Project administration. KG: Resources, Project administration, Data curation, Validation, Formal analysis, Supervision, Writing – review & editing, Conceptualization, Writing – original draft, Investigation, Methodology.
Funding
The author(s) declared that financial support was received for this work and/or its publication. This work was supported by grant number T35-DK007386 from the National Institutes of Health.
Conflict of interest
The authors declare that the research was conducted in the absence of any commercial or financial relationships that could be construed as a potential conflict of interest.
Generative AI statement
The author(s) declare that no Generative AI was used in the creation of this manuscript.
Any alternative text (alt text) provided alongside figures in this article has been generated by Frontiers with the support of artificial intelligence and reasonable efforts have been made to ensure accuracy, including review by the authors wherever possible. If you identify any issues, please contact us.
Publisher’s note
All claims expressed in this article are solely those of the authors and do not necessarily represent those of their affiliated organizations, or those of the publisher, the editors and the reviewers. Any product that may be evaluated in this article, or claim that may be made by its manufacturer, is not guaranteed or endorsed by the publisher.
Supplementary material
The Supplementary Material for this article can be found online at: https://www.frontiersin.org/articles/10.3389/fonc.2025.1654223/full#supplementary-material
References
1
Cancer of the Pancreas - Cancer Stat Facts . SEER. Available online at: https://seer.cancer.gov/statfacts/html/pancreas.html (Accessed February 19, 2023).
2
van Dam JL Janssen QP Besselink MG Homs MYV van Santvoort HC van Tienhoven G et al . Neoadjuvant therapy or upfront surgery for resectable and borderline resectable pancreatic cancer: A meta-analysis of randomised controlled trials. Eur J Cancer Oxf Engl 1990. (2022) 160:140–9. doi: 10.1016/j.ejca.2021.10.023
3
Versteijne E van Dam JL Suker M Janssen QP Groothuis K Akkermans-Vogelaar JM et al . Neoadjuvant chemoradiotherapy versus upfront surgery for resectable and borderline resectable pancreatic cancer: long-term results of the dutch randomized PREOPANC trial. J Clin Oncol Off J Am Soc Clin Oncol. (2022) 40:1220–30. doi: 10.1200/JCO.21.02233
4
Jang JY Han Y Lee H Kim SW Kwon W Lee KH et al . Oncological benefits of neoadjuvant chemoradiation with gemcitabine versus upfront surgery in patients with borderline resectable pancreatic cancer: A prospective, randomized, open-label, multicenter phase 2/3 trial. Ann Surg. (2018) 268:215–22. doi: 10.1097/SLA.0000000000002705
5
Potters L Kavanagh B Galvin JM Hevezi JM Janjan NA Larson DA et al . American society for therapeutic radiology and oncology (ASTRO) and american college of radiology (ACR) practice guideline for the performance of stereotactic body radiation therapy. Int J Radiat Oncol. (2010) 76:326–32. doi: 10.1016/j.ijrobp.2009.09.042
6
Australasian Gastrointestinal Trials Group (AGITG) Trans-Tasman Radiation Oncology Group (TROG) . Guidelines for Pancreatic Stereotactic Body Radiation Therapy (SBRT) . ClinicalKey. Available online at: https://www.clinicalkey.com/!/content/playContent/1-s2.0-S1879850019302334 (Accessed February 19, 2023).
7
Katz MHG Shi Q Meyers J Herman JM Chuong M Wolpin BM et al . Efficacy of Preoperative mFOLFIRINOX vs mFOLFIRINOX Plus Hypofractionated Radiotherapy for Borderline Resectable Adenocarcinoma of the Pancreas: The A021501 Phase 2 Randomized Clinical Trial. JAMA Oncol. (2022) 8:1263–70. doi: 10.1001/jamaoncol.2022.2319
8
Shaib WL Hawk N Cassidy RJ Chen Z Zhang C Brutcher E et al . A phase 1 study of stereotactic body radiation therapy dose escalation for borderline resectable pancreatic cancer after modified FOLFIRINOX (NCT01446458). Int J Radiat Oncol Biol Phys. (2016) 96:296–303. doi: 10.1016/j.ijrobp.2016.05.010
9
Zakem SJ Mueller AC Meguid C Torphy RJ Holt DE Schefter T et al . Impact of neoadjuvant chemotherapy and stereotactic body radiation therapy (SBRT) on R0 resection rate for borderline resectable and locally advanced pancreatic cancer. HPB. (2021) 23:1072–83. doi: 10.1016/j.hpb.2020.11.004
10
Barrord M Ahmad S Patel S Olowokure O Sussman J Smith M et al . Patterns of failure after neoadjuvant stereotactic body radiation therapy or fractionated chemoradiation in resectable and borderline resectable pancreatic cancer. Pancreas. (2020) 49:941–6. doi: 10.1097/MPA.0000000000001602
11
Chen AY Fedewa S Pavluck A Ward EM . Improved survival is associated with treatment at high-volume teaching facilities for patients with advanced stage laryngeal cancer. Cancer. (2010) 116:4744–52. doi: 10.1002/cncr.25364
12
Lin JF Berger JL Krivak TC Beriwal S Chan JK Sukumvanich P et al . Impact of facility volume on therapy and survival for locally advanced cervical cancer. Gynecol Oncol. (2014) 132:416–22. doi: 10.1016/j.ygyno.2013.12.013
13
Boero IJ Paravati AJ Xu B Cohen EEW Mell LK Le QT et al . Importance of radiation oncologist experience among patients with head-and-neck cancer treated with intensity-modulated radiation therapy. J Clin Oncol Off J Am Soc Clin Oncol. (2016) 34:684–90. doi: 10.1200/JCO.2015.63.9898
14
Chen YW Mahal BA Muralidhar V Nezolosky M Beard CJ Den RB et al . Association between treatment at a high-volume facility and improved survival for radiation-treated men with high-risk prostate cancer. Int J Radiat Oncol Biol Phys. (2016) 94:683–90. doi: 10.1016/j.ijrobp.2015.12.008
15
Wang EH Rutter CE Corso CD Decker RH Wilson LD Kim AW et al . Patients selected for definitive concurrent chemoradiation at high-volume facilities achieve improved survival in stage III non-small-cell lung cancer. J Thorac Oncol Off Publ Int Assoc Study Lung Cancer. (2015) 10:937–43. doi: 10.1097/JTO.0000000000000519
16
Birkmeyer JD Siewers AE Finlayson EVA Stukel TA Lucas FL Batista I et al . Hospital volume and surgical mortality in the United States. N Engl J Med. (2002) 346:1128–37. doi: 10.1056/NEJMsa012337
17
Reames BN Ghaferi AA Birkmeyer JD Dimick JB . Hospital volume and operative mortality in the modern era. Ann Surg. (2014) 260:244–51. doi: 10.1097/SLA.0000000000000375
18
Ghauri MS Juste J Shabbir T Berry N Reddy AJ Farkoufar N et al . Exploring the surgical outcomes of pancreatic cancer resections performed in low- versus high-volume centers. Cureus. (2023) 15:e37112. doi: 10.7759/cureus.37112
19
Mellon EA Hoffe SE Springett GM Frakes JM Strom TJ Hodul PJ et al . Long-term outcomes of induction chemotherapy and neoadjuvant stereotactic body radiotherapy for borderline resectable and locally advanced pancreatic adenocarcinoma. Acta Oncol Stockh Swed. (2015) 54:979–85. doi: 10.3109/0284186X.2015.1004367
20
Bilimoria KY Stewart AK Winchester DP Ko CY . The National Cancer Data Base: a powerful initiative to improve cancer care in the United States. Ann Surg Oncol. (2008) 15:683–90. doi: 10.1245/s10434-007-9747-3
21
Birkmeyer JD Stukel TA Siewers AE Goodney PP Wennberg DE Lucas FL . Surgeon volume and operative mortality in the United States. N Engl J Med. (2003) 349:2117–27. doi: 10.1056/NEJMsa035205
22
Malouff TD Stross WC Seneviratne DS Waddle MR May BC Buskirk SJ et al . Current use of stereotactic body radiation therapy for low and intermediate risk prostate cancer: A National Cancer Database Analysis. Prostate Cancer Prostatic Dis. (2020) 23:349–55. doi: 10.1038/s41391-019-0191-9
23
Stahl JM Corso CD Verma V Park HS Nath SK Husain ZA et al . Trends in stereotactic body radiation therapy for stage I small cell lung cancer. Lung Cancer Amst Neth. (2017) 103:11–6. doi: 10.1016/j.lungcan.2016.11.009
24
Burkoň P Trna J Slávik M Němeček R Kazda T Pospíšil P et al . Stereotactic body radiotherapy (SBRT) of pancreatic cancer—A critical review and practical consideration. Biomedicines. (2022) 10:2480. doi: 10.3390/biomedicines10102480
25
U.S. Census Bureau QuickFacts . United States. Available online at: https://www.census.gov/quickfacts/fact/table/US/RHI725222qf-headnote-b (Accessed June 11, 2024).
26
Bazan JG Obeng-Gyasi S Gamez ME . Reporting of race and hispanic ethnicity in breast cancer studies from the national cancer database. JAMA Oncol. (2022) 8:1507–9. doi: 10.1001/jamaoncol.2022.3527
Summary
Keywords
radiotherapy, pancreatic cancer, stereotactic body radiotherapy (SBRT), facility volume, overall survival (OS)
Citation
Rajan A, Gleeson EM, Pham V and Goodman KA (2025) Patterns of care in pancreatic cancer radiotherapy: impact of facility volume on outcomes. Front. Oncol. 15:1654223. doi: 10.3389/fonc.2025.1654223
Received
26 June 2025
Revised
03 November 2025
Accepted
10 November 2025
Published
05 December 2025
Volume
15 - 2025
Edited by
Francesco Cuccia, ARNAS Ospedali Civico Di Cristina Benfratelli, Italy
Reviewed by
Fidel Lopez-Verdugo, University of Utah Hospital, United States
Valeria Dionisi, Integrated University Hospital Verona, Italy
Updates
Copyright
© 2025 Rajan, Gleeson, Pham and Goodman.
This is an open-access article distributed under the terms of the Creative Commons Attribution License (CC BY). The use, distribution or reproduction in other forums is permitted, provided the original author(s) and the copyright owner(s) are credited and that the original publication in this journal is cited, in accordance with accepted academic practice. No use, distribution or reproduction is permitted which does not comply with these terms.
*Correspondence: Karyn A. Goodman, Karyn.Goodman@mountsinai.org
Disclaimer
All claims expressed in this article are solely those of the authors and do not necessarily represent those of their affiliated organizations, or those of the publisher, the editors and the reviewers. Any product that may be evaluated in this article or claim that may be made by its manufacturer is not guaranteed or endorsed by the publisher.