ORIGINAL RESEARCH article
Front. Oncol.
Sec. Cancer Imaging and Image-directed Interventions
This article is part of the Research TopicPrecision Medical Imaging for Cancer Diagnosis and Treatment Volume IIIView all 6 articles
Computed Tomography Features and Clinicopathological Characteristics of Resectable Esophageal Sarcomatoid Carcinoma: A Retrospective Study
Provisionally accepted- 1Department of Radiology, Fourth Hospital of Hebei Medical University, Shijiazhuang, China
- 2Department of Thoracic Surgery, Fourth Hospital of Hebei Medical University, Shijiazhuang, China
- 3Department of Pathology, Fourth Hospital of Hebei Medical University, Shijiazhuang, China
- 4Department of Radiotherapy, Fourth Hospital of Hebei Medical University, Shijiazhuang, China
- 5GE Healthcare China Co Ltd, Beijing, China
Select one of your emails
You have multiple emails registered with Frontiers:
Notify me on publication
Please enter your email address:
If you already have an account, please login
You don't have a Frontiers account ? You can register here
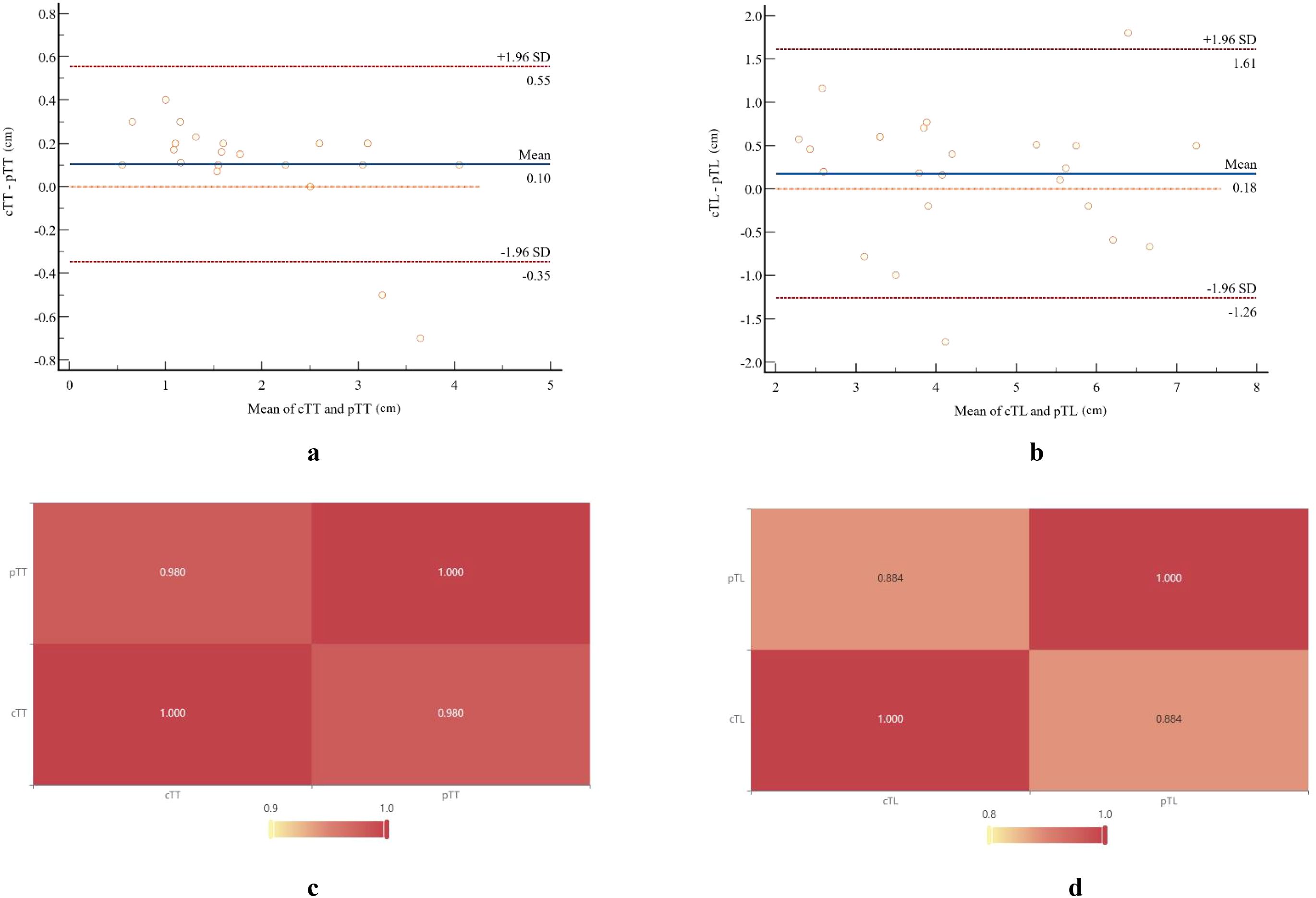
Objectives: Esophageal sarcomatoid carcinoma (ESC) is a rare malignant tumor. This study analyzes the computed tomography (CT) features and clinicopathological characteristics of resectable ESC. Methods: A retrospective analysis was conducted on the CT and clinicopathological data of 25 patients with ESC, confirmed by postoperative pathology. The preoperative CT features included the average tumor CT attenuation value (CTTumor), normal esophagus CT attenuation value (CTNormal), tumor-to-normal esophagus attenuation ratio (TNR), enhancement pattern, tumor margin, and morphology, classified into mass-forming type and wall-thickening type. Additionally, CT-measured tumor thickness (cTT), length (cTL), and volume (cTV) were documented. Clinicopathological characteristics included age, gender, clinical symptoms, pathological tumor thickness (pTT), length (pTL), T stage, N stage, lymphovascular invasion, and neural invasion status. Bland-Altman plots and Pearson correlation coefficient analyses were performed to assess agreement between CT features and pathological results. Results: Among the 25 patients, 19 were male and 6 female, with ages ranging from 47 to 73 years (mean 65.48 ± 6.85 years). Pathological staging revealed 14 cases at T1, 5 at T2, 5 at T3, and 1 at T4. Lymph node metastasis was identified in 12 cases (5 N1, 4 N2, 3 N3). The pTT ranged from 0.50 to 4.00 cm (mean 1.92 ± 1.02 cm), while cTT ranged from 0.60 to 4.10 cm (mean 2.02 ± 0.90 cm). Bland-Altman analysis showed a mean difference of 0.10 cm between cTT and pTT, with 92.0% of cases within the 95% limits of agreement. The Pearson correlation coefficient was 0.980. The pTL ranged from 2.00 to 7.00 cm (mean 4.24 ± 1.50 cm), and cTL from 2.57 to 7.50 cm (mean 4.41 ± 1.48 cm). A mean difference of 0.18 cm was found between cTL and pTL, with a Pearson correlation coefficient of 0.884. The cTV ranged from 1.56 cm³ to 41.49 cm³ (median 8.25 cm³). Tumor morphology revealed 20 cases as mass-forming type and 5 as wall-thickening type, with significant differences in pTT and cTT between types. Conclusion:ESC is characterized by distinctive CT features, predominantly as mass-forming type, with diagnosis reliant on pathological examination.
Keywords: computed tomography, Clinicopathological, Resectable, esophageal, sarcomatoid carcinoma
Received: 29 Jun 2025; Accepted: 19 Nov 2025.
Copyright: © 2025 Li, Li, Wang, Deng, Wang, Shi, Zhang and Ren. This is an open-access article distributed under the terms of the Creative Commons Attribution License (CC BY). The use, distribution or reproduction in other forums is permitted, provided the original author(s) or licensor are credited and that the original publication in this journal is cited, in accordance with accepted academic practice. No use, distribution or reproduction is permitted which does not comply with these terms.
* Correspondence:
Xiangming Wang, radiologywxm@163.com
Gaofeng Shi, gaofengs62@sina.com
Disclaimer: All claims expressed in this article are solely those of the authors and do not necessarily represent those of their affiliated organizations, or those of the publisher, the editors and the reviewers. Any product that may be evaluated in this article or claim that may be made by its manufacturer is not guaranteed or endorsed by the publisher.
