ORIGINAL RESEARCH article
Front. Oncol.
Sec. Gastrointestinal Cancers: Gastric and Esophageal Cancers
This article is part of the Research TopicReal-World Clinical and Translational Research in Gastrointestinal CancersView all 22 articles
Survival Outcomes of Neoadjuvant Chemoradiation (NCR) followed by surgery versus Definitive Chemoradiation (DCR) in ESCC: Real-World Data
Provisionally accepted- Cleveland Clinic Florida, Weston, United States
Select one of your emails
You have multiple emails registered with Frontiers:
Notify me on publication
Please enter your email address:
If you already have an account, please login
You don't have a Frontiers account ? You can register here
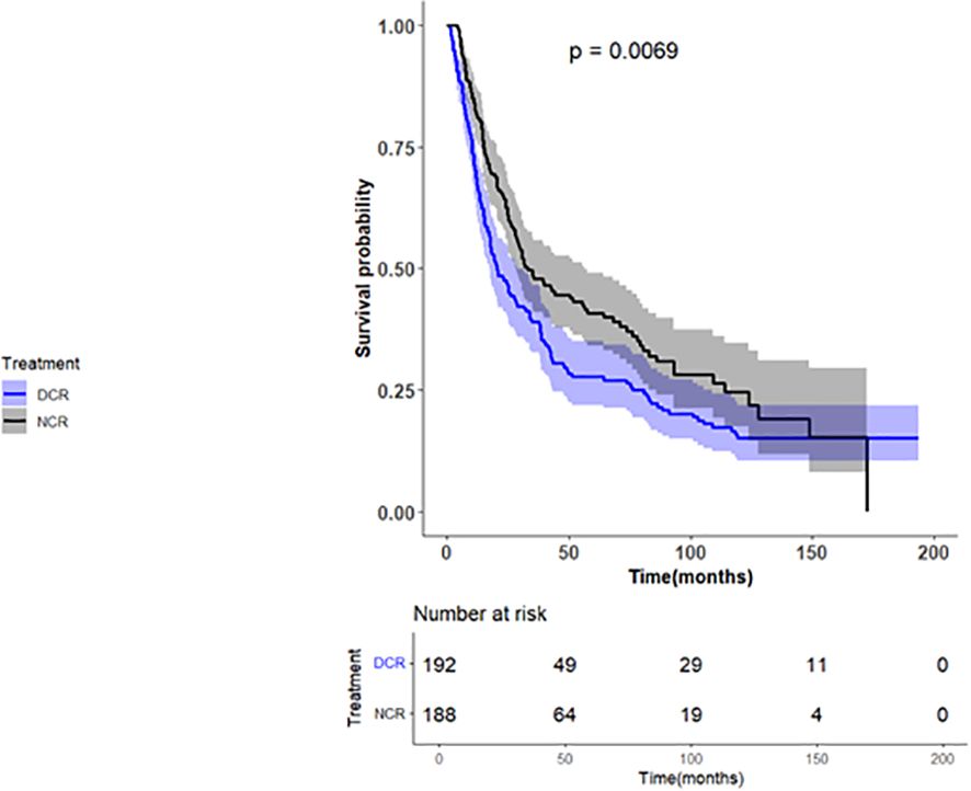
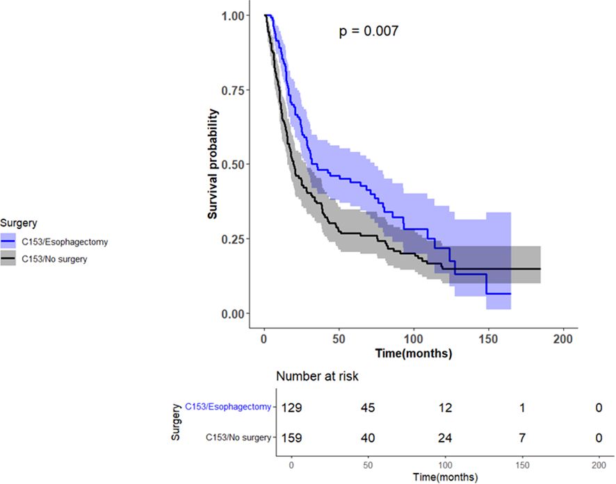
Background: Esophageal squamous cell carcinoma (ESCC) is an aggressive malignancy that has poor survival. Management of ESCC depends on the resectability of the disease, certain patient characteristics, fitness for surgery, and the anatomic complexity of the disease location. Treatment options include either Neoadjuvant chemoradiotherapy (NCR) followed by surgery or definitive Chemoradiation (DCR). While randomized trials have provided insights into both strategies, no large-scale retrospective real-world studies have been conducted to compare these approaches in diverse, unselected populations. This study assesses real-world outcomes of NCR versus DCR using the National Cancer Database (NCDB). Methods: A retrospective cohort study was conducted using data from the NCDB, focusing on patients with ESCC from 2004 to 2020. Propensity score matching (PSM) (1:1) was utilized. Univariate and multivariate Cox regression analyses were employed. Results: N = 386 patients with esophageal cancer, with a median age of 64 years (IQR, 57.0-70.0), were identified. Patients were evenly distributed between the DCR and NCR groups, with a total of N = 193 participants. We further selected patients with ESCC, a total of N= 311 patients. NCR demonstrated a significantly extended overall survival (OS) compared to those who received DCR, with a median of 33.15 months vs. 20.5 months (P-value: 0.0069), respectively. Patients receiving DCR had significantly worse OS compared to patients receiving NCR with HR 1.38, 95% CI 1.05–1.81, p=0.0206. Patients with tumors in the thoracic esophagus (C15.3) showed significant survival benefit from surgery (p=0.0070), whereas no benefit was seen for cervical tumors (C15.0), likely due to anatomical complexity and limited sample size. Conclusion: NCR followed by surgery, when feasible, offers survival benefits for patients with ESCC, especially for locally advanced tumors in the thoracic esophagus.
Keywords: esophageal cancer1, Squamous cell carcinoma2, neoadjuvant chemoradiotherapy3, Definitive Chemoradiotherapy4, real-world data6, NCDB7
Received: 02 Jul 2025; Accepted: 14 Nov 2025.
Copyright: © 2025 Alhalabi, Abdo, Sabbagh, Herrán, Sarna, Tfayli, Nahleh and Nagarajan. This is an open-access article distributed under the terms of the Creative Commons Attribution License (CC BY). The use, distribution or reproduction in other forums is permitted, provided the original author(s) or licensor are credited and that the original publication in this journal is cited, in accordance with accepted academic practice. No use, distribution or reproduction is permitted which does not comply with these terms.
* Correspondence:
Ahmad Alhalabi, a7madhalabi@gmail.com
Theresa Abdo, abdot@ccf.org
Disclaimer: All claims expressed in this article are solely those of the authors and do not necessarily represent those of their affiliated organizations, or those of the publisher, the editors and the reviewers. Any product that may be evaluated in this article or claim that may be made by its manufacturer is not guaranteed or endorsed by the publisher.
