ORIGINAL RESEARCH article
Front. Oncol.
Sec. Gastrointestinal Cancers: Hepato Pancreatic Biliary Cancers
Right-side versus left-side hemihepatectomy for the treatment of Bismuth type IV perihilar cholangiocarcinoma: a comparative study
Provisionally accepted- 1Institute of Hepatobiliary and Pancreatic Surgery, Department of Hepatobiliary and Pancreatic Surgery, Shanghai East Hospital, School of Medicine, Tongji University, shanghai, China
- 2Department of Biliary Tract Surgery I, the Third Hospital of Naval Medical University, shanghai, China
- 3Shanghai East Hospital, School of Medicine, Tongji University, shanghai, China
Select one of your emails
You have multiple emails registered with Frontiers:
Notify me on publication
Please enter your email address:
If you already have an account, please login
You don't have a Frontiers account ? You can register here
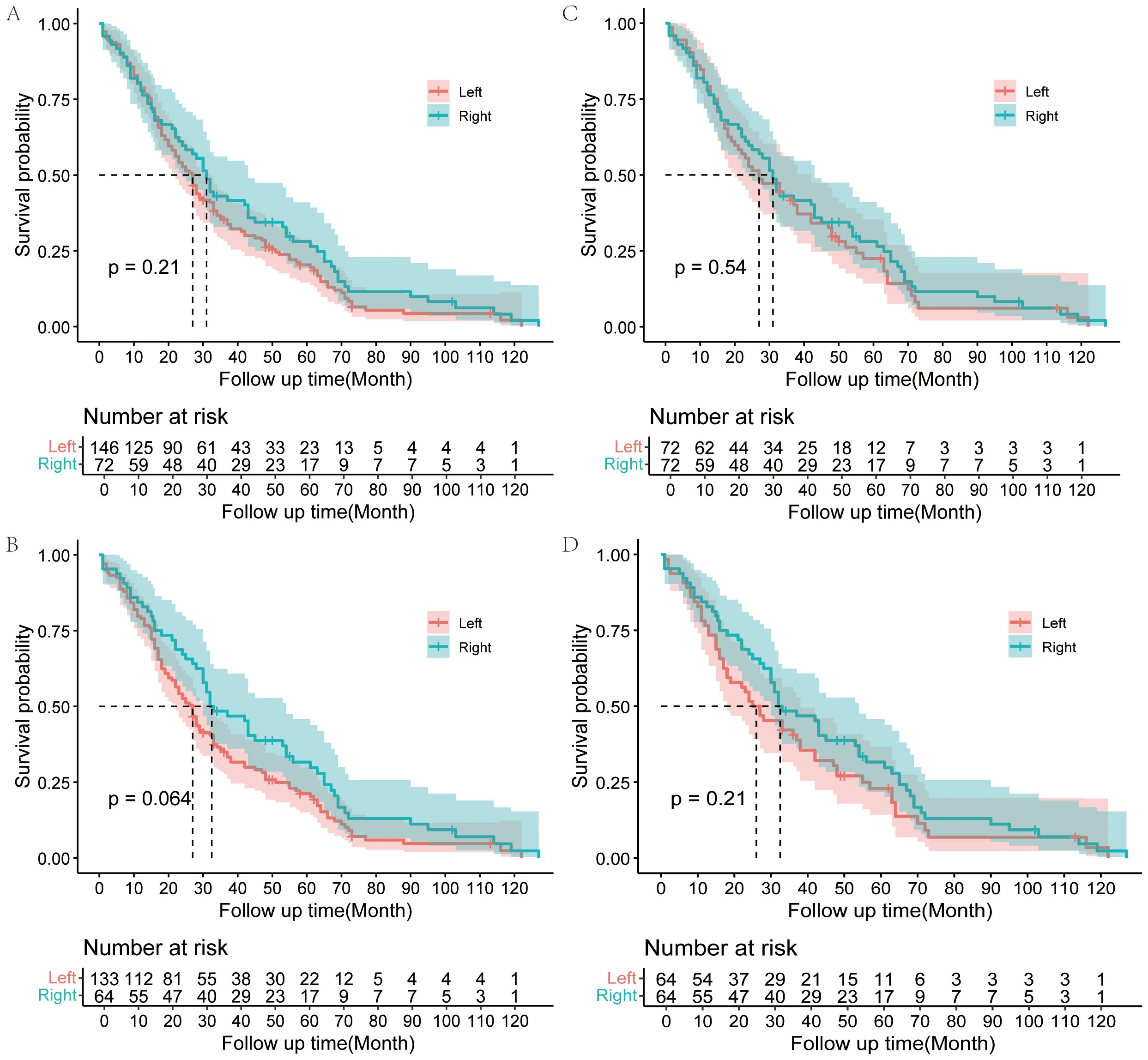
Objective. Radical surgical resection is the only potentially curative treatment for perihilar cholangiocarcinoma (PHC) patients. However, data on left-sided hemihepatectomy (LH) and right-sided hemihepatectomy (RH) outcomes for Bismuth-Corlette type IV PHC are scarce and controversial. This study aimed to explore surgical and long-term outcomes of LH and RH in these patients. Methods. Medical records of Bismuth type IV PHC patients who had liver resection from 2009 to 2018 were retrospectively analyzed. Surgical results and long-term survival were the primary outcomes, compared via one-to-one propensity score matching (PSM). Results. 218 Bismuth type IV PHC patients (146 LH, 72 RH) were analyzed. The RH group had a higher proportion of preoperative biliary drainage (p = 0.02) and more frequent portal vein embolization (p < 0.0001). R0 resection rate was 90.37% (197/218) with no significant LH-RH difference. Post-operative severe complication (grades 3-5) and 90-day mortality rates were comparable. Overall survival was similar (overall cohort: p=0.21; matched cohort: p=0.54). But in the overall cohort, R0-resected RH patients had marginally better survival (p = 0.064). Prognostic factors included carbohydrate antigen 19-9 (CA19-9), age, tumor vascular invasion, and severe postoperative complications. Conclusions. The postoperative morbidity and mortality rate was comparable between LH and RH for Bismuth type IV PHC. Although RH showed a favorable survival from the Kaplan-Meier survival curve, no significant difference was observed in overall survival after LH versus RH for the overall cohort and the matched cohort after PSM.
Keywords: Cholangiocarcinoma, Perihilar cholangiocarcinoma, Locally advanced cholangiocarcinoma, Bismuth type IV, Hemihepatectomy
Received: 10 Jul 2025; Accepted: 03 Nov 2025.
Copyright: © 2025 Ma, hu, Xie, Ao, yan, Huang, wang and jiang. This is an open-access article distributed under the terms of the Creative Commons Attribution License (CC BY). The use, distribution or reproduction in other forums is permitted, provided the original author(s) or licensor are credited and that the original publication in this journal is cited, in accordance with accepted academic practice. No use, distribution or reproduction is permitted which does not comply with these terms.
* Correspondence:
jinghan wang, jinghanwang2023@126.com
xiaoqing jiang, 2100577@tongji.edu.cn
Disclaimer: All claims expressed in this article are solely those of the authors and do not necessarily represent those of their affiliated organizations, or those of the publisher, the editors and the reviewers. Any product that may be evaluated in this article or claim that may be made by its manufacturer is not guaranteed or endorsed by the publisher.
