ORIGINAL RESEARCH article
Front. Oncol.
Sec. Breast Cancer
This article is part of the Research TopicLymphedema and AutoimmunityView all articles
Nomogram for Predicting Risk of Arm Lymphedema Following Axillary Lymph Node Dissection in Breast Cancer Patients
Provisionally accepted- 1Department of Breast Surgery, Shanxi Bethune Hospital, Taiyuan, China
- 2Huazhong University of Science and Technology Tongji Medical College Tongji Hospital, Wuhan, China
Select one of your emails
You have multiple emails registered with Frontiers:
Notify me on publication
Please enter your email address:
If you already have an account, please login
You don't have a Frontiers account ? You can register here
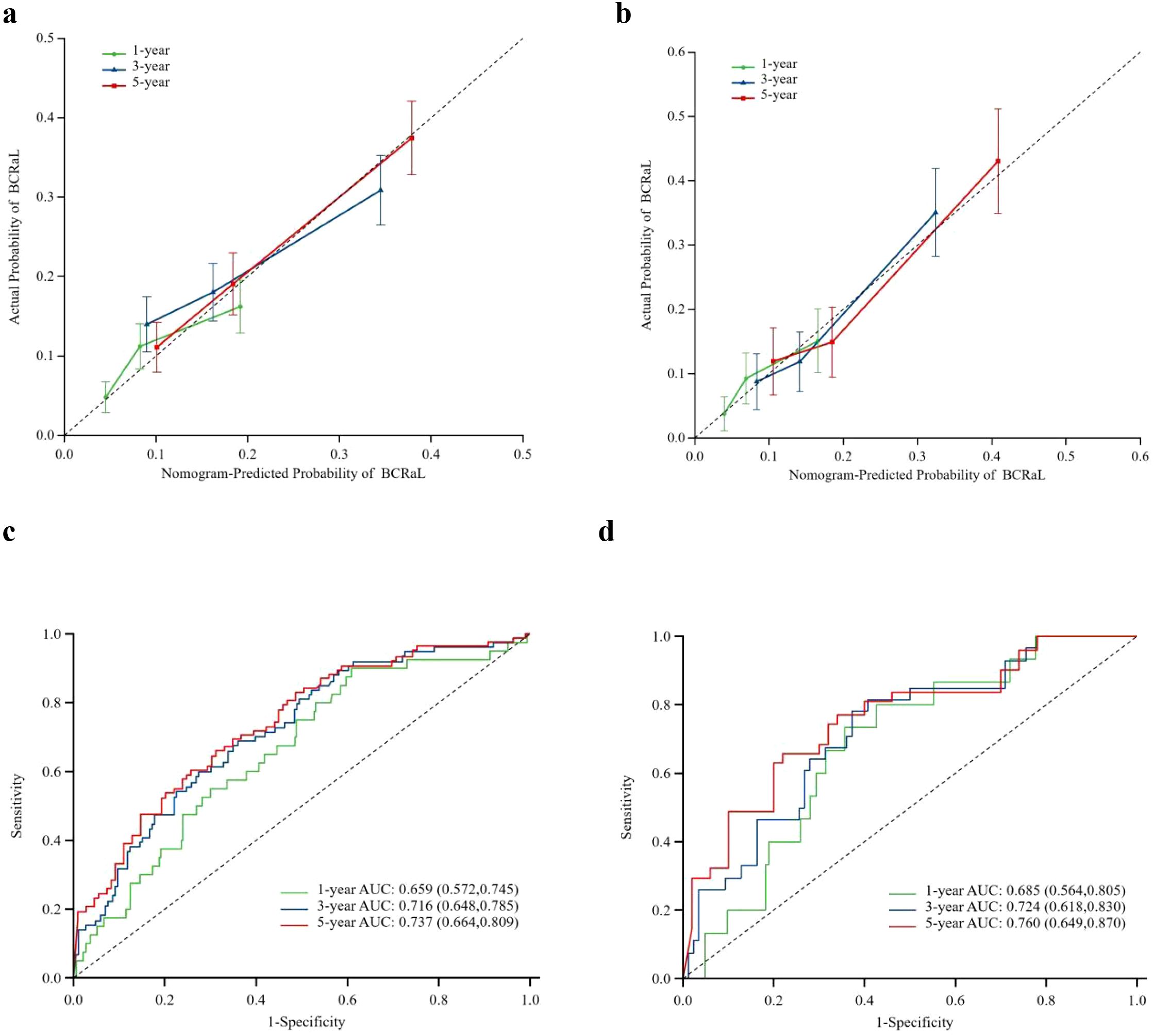
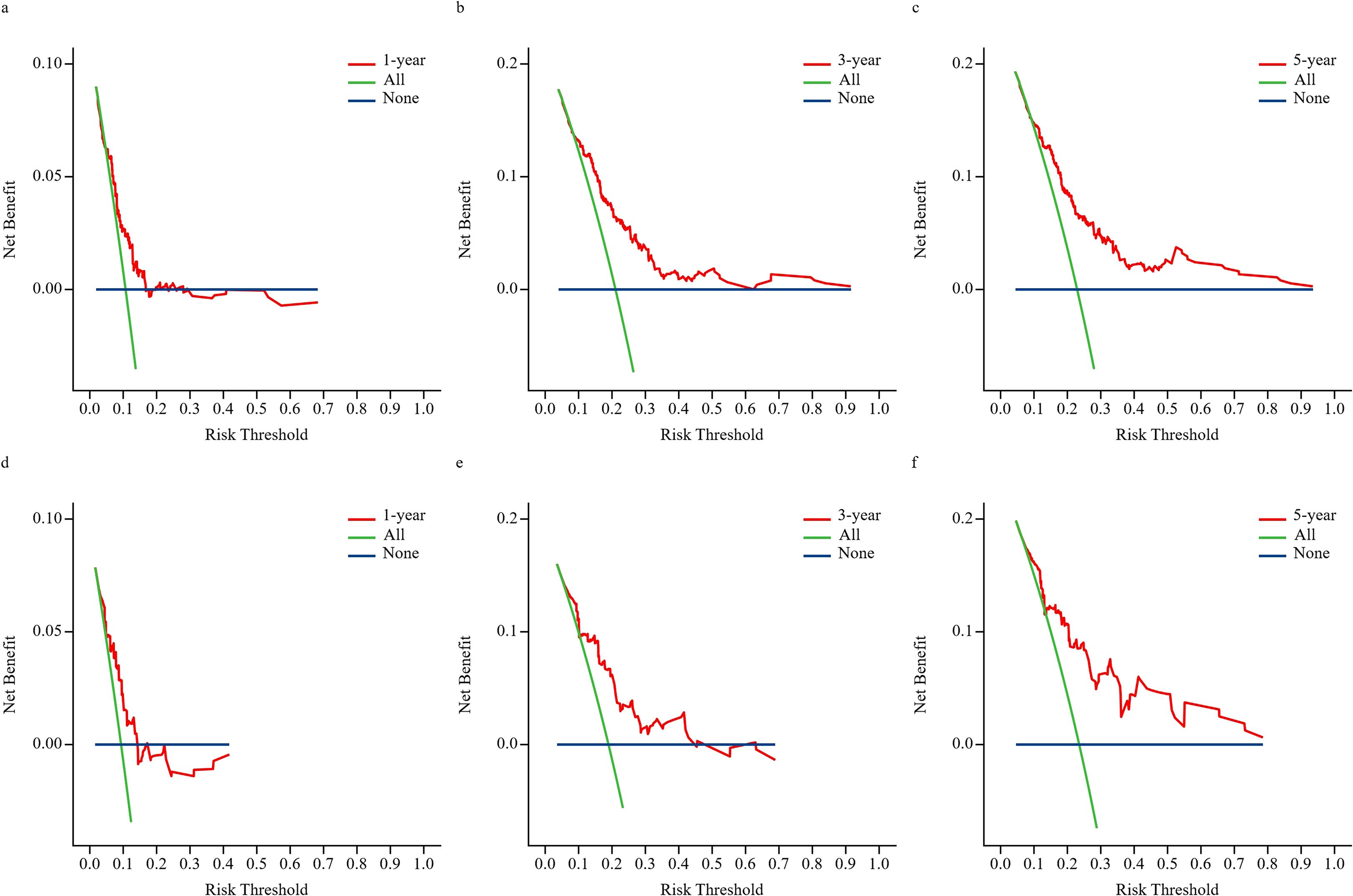
Purpose: Breast cancer-related arm lymphedema (BCRaL) is a prevalent and severe complication post-breast cancer treatment, especially following axillary lymph node dissection (ALND). This study aimed to develop a nomogram for BCRaL risk prediction by identifying and integrating key risk factors, including chemotherapy type (neoadjuvant vs. adjuvant), to enhance individualized patient monitoring and prevention strategies. Patients and Methods: We conducted a retrospective analysis of clinical data from 535 breast cancer patients who received ALND and chemotherapy. Patients were divided into a training cohort (70%) and a validation cohort (30%). Univariate and multivariate Cox regression analyses identified independent risk factors for BCRaL, which were subsequently used to construct a nomogram. The model's performance was assessed through calibration curves, ROC curves, and clinical decision curve analysis (DCA). Results: The incidence of BCRaL in our cohort was 20.6%. Multivariate analysis identified several independent risk factors for BCRaL, including elevated body mass index (BMI), increased number of positive axillary lymph nodes, neoadjuvant chemotherapy (NAC), HER2-targeted therapy, and supraclavicular radiotherapy (SCRT). The nomogram developed based on these factors demonstrated strong predictive accuracy, with C-index values of 0.692 in the training cohort and 0.719 in the validation cohort. ROC curve analysis revealed AUC values reaching 0.760, indicating good discriminative ability. Time-dependent ROC curves further confirmed the model's consistency across different follow-up periods. DCA validated the clinical utility of the nomogram, while survival analysis clearly distinguished between high-risk and low-risk BCRaL groups. Conclusion: This study developed and internally validated a predictive model that integrates modern treatment modalities (NAC, HER2-targeted therapy, SCRT) with traditional risk factors to identify high-risk BCRaL patients undergoing ALND and chemotherapy. The model requires external validation in future studies. Consequently, the nomogram presents a potential tool for strategizing precision prevention, necessitating further evaluation before its broader adoption in clinical practice.
Keywords: breast cancer, Lymphedema, Risk factors, Neoadjuvant chemotherapy, nomogram
Received: 17 Jul 2025; Accepted: 07 Nov 2025.
Copyright: © 2025 Jia, Pan, Yang, Gao, Shen and Zhang. This is an open-access article distributed under the terms of the Creative Commons Attribution License (CC BY). The use, distribution or reproduction in other forums is permitted, provided the original author(s) or licensor are credited and that the original publication in this journal is cited, in accordance with accepted academic practice. No use, distribution or reproduction is permitted which does not comply with these terms.
* Correspondence:
Wenzhuang Shen, swz2776@sina.com
Xiaojun Zhang, zhangxiaojun@sxbqeh.com.cn
Disclaimer: All claims expressed in this article are solely those of the authors and do not necessarily represent those of their affiliated organizations, or those of the publisher, the editors and the reviewers. Any product that may be evaluated in this article or claim that may be made by its manufacturer is not guaranteed or endorsed by the publisher.
