ORIGINAL RESEARCH article
Front. Oncol.
Sec. Radiation Oncology
This article is part of the Research TopicOptimizing Precision Radiotherapy for Locally Advanced Non-Small Cell Lung Cancer: recent advances and innovationsView all articles
Integration of Intratumoral/Peritumoral Radiomics and Deep Learning for Predicting Overall Survival in Non-small Cell Lung Cancer Patients: A Multicenter Study
Provisionally accepted- 1The Seventh Medical Center of PLA General Hospital, Beijing, China
 - 2Shandong First Medical University - Tai'an Campus, Tai'an, China
 - 3Beihang University, Beijing, China
 - 4The First Affiliated Hospital of Shandong First Medical University, Jinan, China
 
Select one of your emails
You have multiple emails registered with Frontiers:
Notify me on publication
Please enter your email address:
If you already have an account, please login
You don't have a Frontiers account ? You can register here
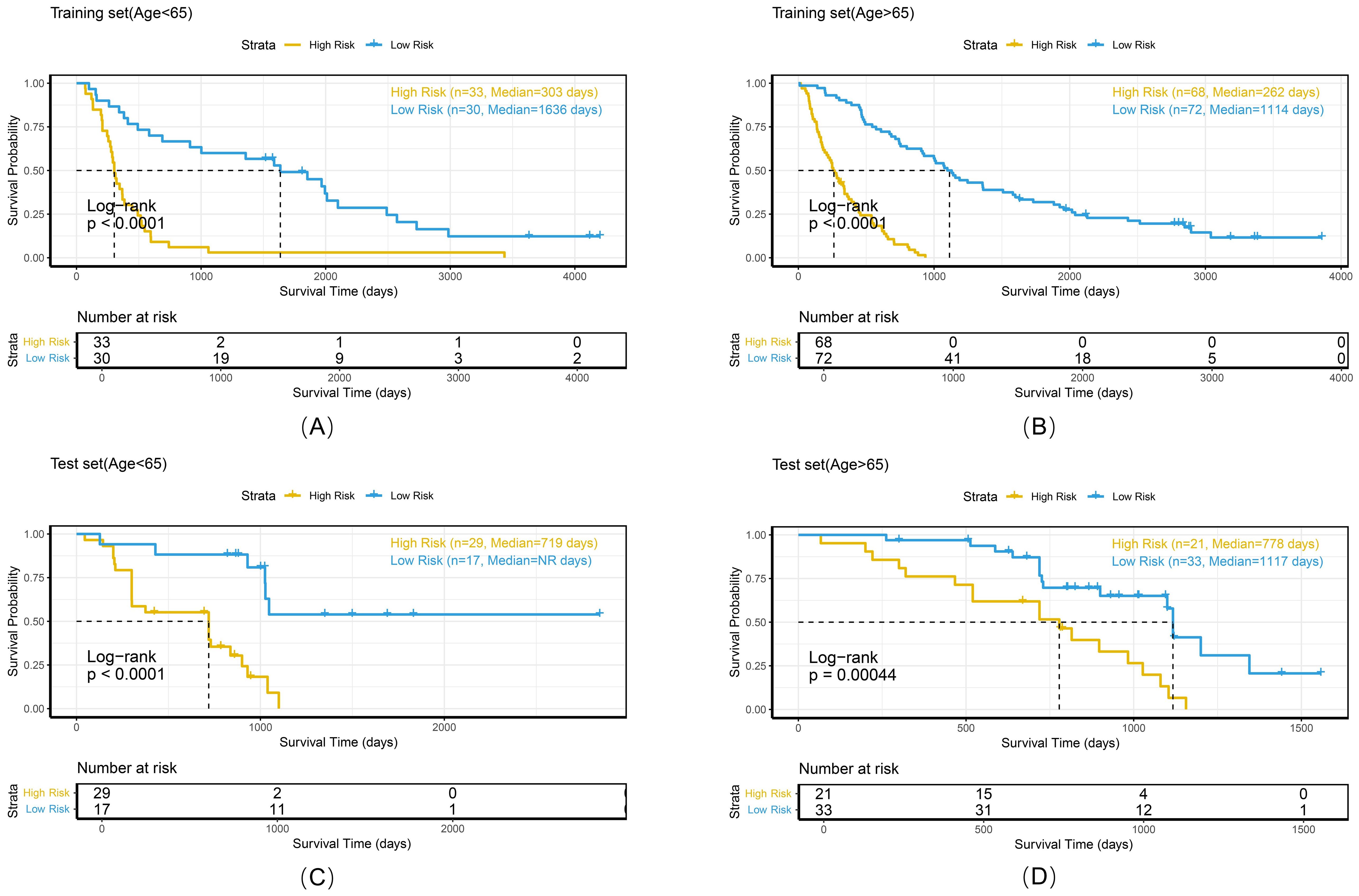
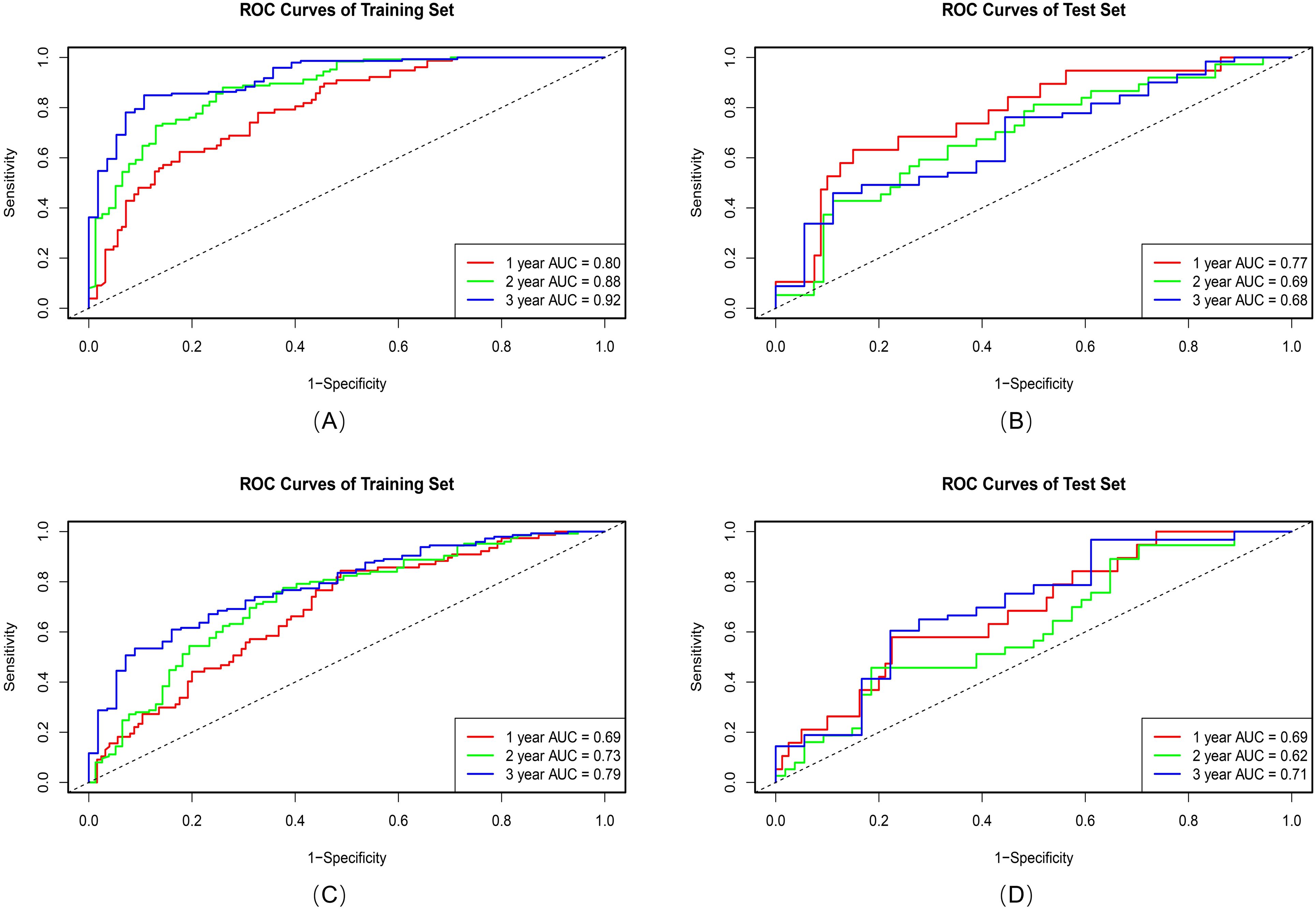
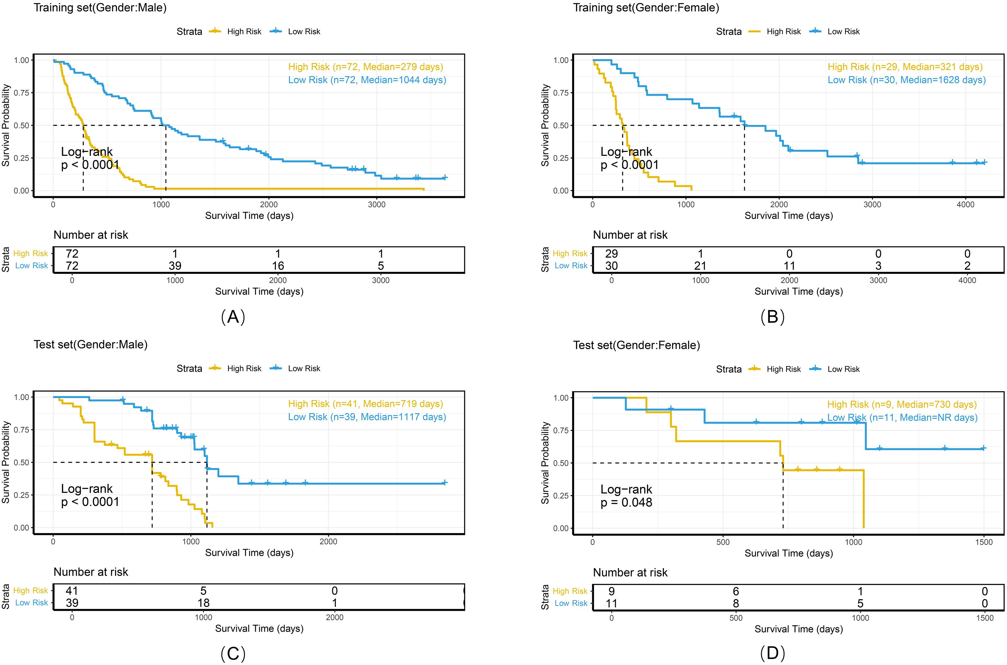
Background: Prognostic assessment of non-small cell lung cancer (NSCLC) relies on TNM staging, yet tumor heterogeneity limits its accuracy. This study aimed to develop a model for improving the prediction of overall survival (OS) in NSCLC patients receiving radiotherapy, which integrated intratumoral/peritumoral radiomics features and 3D deep learning (DL) features. Methods: A total of 303 NSCLC patients from three centers were retrospectively enrolled. Radiomics features were extracted from intratumoral and 3/6/9 mm peritumoral regions on CT scans. A network named 3D-SE-ResNet was proposed to extract DL features. Lasso-Cox and principal component analysis (PCA) were used to integrate multidimensional features to establish a combined model. Performance was evaluated via the concordance index (C-index) and area under the curve (AUC). Survival differences were visualized through Kaplan‒Meier curves. Results: The 6 mm expansion peritumoral radiomics features analysis showed the best performance (C-index: 0.63). The DL features outperformed the radiomics features (C-index: 0.74 vs 0.63). The combined model achieved the highest accuracy (C-index: 0.77/0.73 across datasets). K‒M analysis confirmed significant survival differences (log-rank P < 0.001). Conclusion: The combined model integrates intratumoral/peritumoral radiomics features and 3D DL features and effectively predicts the OS of NSCLC patients, offering a novel tool for personalized radiotherapy strategies.
Keywords: Non-small cell lung cancer, CT, Radiomics, deep learning, overall survival
Received: 19 Jul 2025; Accepted: 03 Nov 2025.
Copyright: © 2025 Liu, Pan, Wang, Jiang, Lu, Chen, Yu, Gao, Zhang, Sun, Qiu and Zhang. This is an open-access article distributed under the terms of the Creative Commons Attribution License (CC BY). The use, distribution or reproduction in other forums is permitted, provided the original author(s) or licensor are credited and that the original publication in this journal is cited, in accordance with accepted academic practice. No use, distribution or reproduction is permitted which does not comply with these terms.
* Correspondence: 
Yinglun  Sun, sunyinglun@sdfmu.edu.cn
Jianfeng  Qiu, jfqiu100@gmail.com
Fuli  Zhang, radiozfli@163.com
Disclaimer: All claims expressed in this article are solely those of the authors and do not necessarily represent those of their affiliated organizations, or those of the publisher, the editors and the reviewers. Any product that may be evaluated in this article or claim that may be made by its manufacturer is not guaranteed or endorsed by the publisher.
