ORIGINAL RESEARCH article
Front. Oncol.
Sec. Skin Cancer
Survival Nomogram for Melanoma with Bone Metastasis Based on the SEER Database and an External Validation Cohort
Provisionally accepted- 1Fujian Provincial Cancer Hospital, Fuzhou, China
- 2Fujian Medical University, Fuzhou, China
Select one of your emails
You have multiple emails registered with Frontiers:
Notify me on publication
Please enter your email address:
If you already have an account, please login
You don't have a Frontiers account ? You can register here
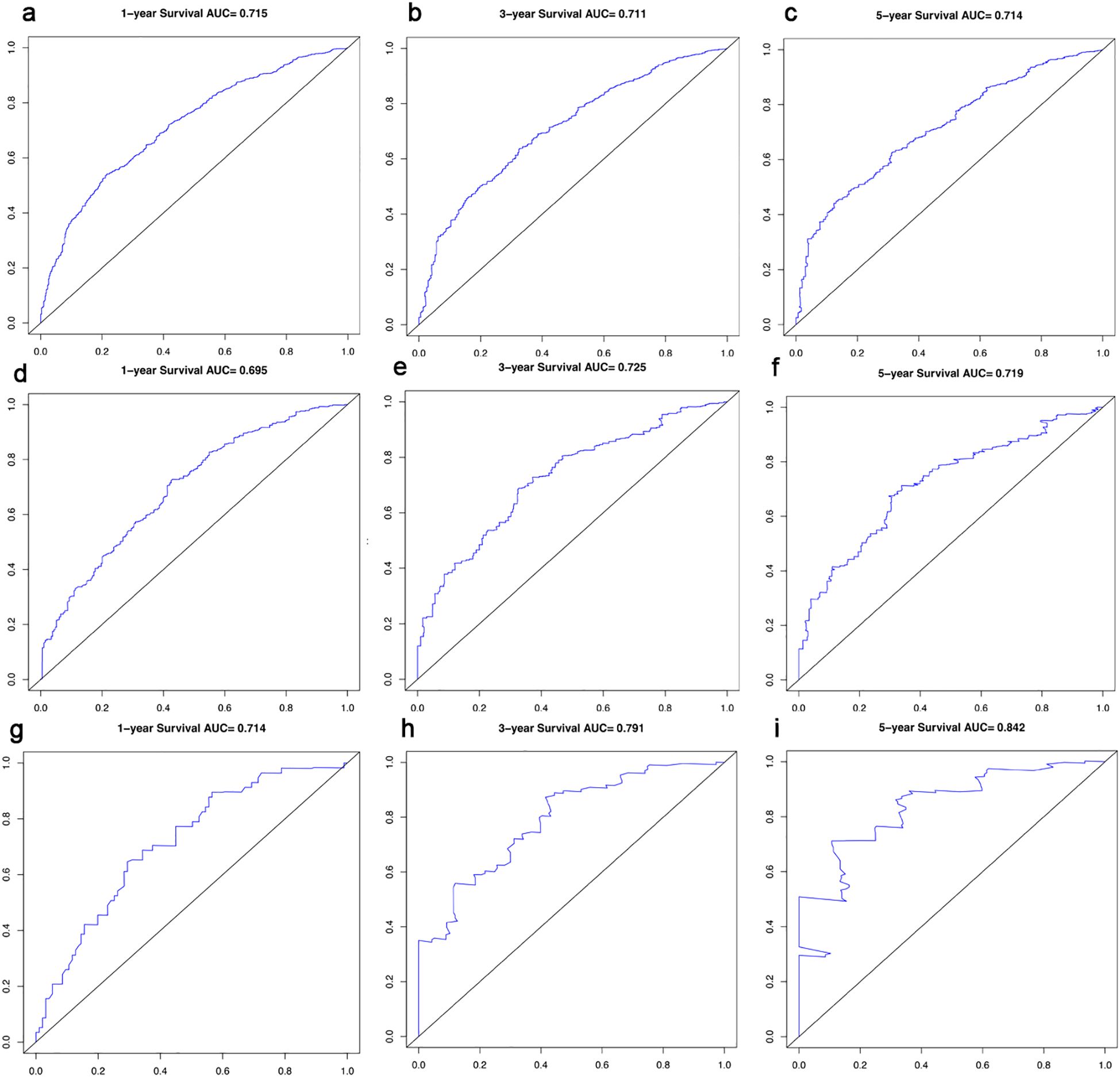
Background: We aimed to develop and validate a comprehensive prognostic model for melanoma bone metastasis. Methods: Data on melanoma bone metastasis patients were obtained from the SEER database and Fujian Cancer Hospital. Cox regression analysis was conducted to identify independent prognostic factors and to establish a Nomogram to predict the overall survival rate of patients. Results: We generated a Nomogram chart incorporating factors such as Age, Site, AJCC T stage, AJCC N stage, Surg Prim, Systemic and Sur Seq, Surg or Rad Seq, DX Brain, DX Liver, DX Distant LN, Tumor number, First malignant primary, Marital status, and Urban. The 1-year, 3-year, and 5-year OS rate AUCs for the training cohort were 0.715, 0.711, and 0.714, respectively, with a c-index of 0.656; the 1-year, 3-year, and 5-year OS rate AUCs for the internal validation cohort were 0.695, 0.725, and 0.719, respectively, with a c-index of 0.650; the 1-year, 3-year, and 5-year OS rate AUCs for the external validation cohort were 0.714, 0.791, and 0.842, respectively, with a c-index of 0.710. Calibration curves showed the consistency between the Nomogram's observed and predicted prognostic outcomes. Conclusion: Our model can be used to predict the prognosis of melanoma bone metastasis.
Keywords: Melanoma, bone metastasis, SEER, prognosis, nomogram
Received: 05 Aug 2025; Accepted: 27 Oct 2025.
Copyright: © 2025 Lu, Chen, Zheng, Li, Wu, Chen and Lin. This is an open-access article distributed under the terms of the Creative Commons Attribution License (CC BY). The use, distribution or reproduction in other forums is permitted, provided the original author(s) or licensor are credited and that the original publication in this journal is cited, in accordance with accepted academic practice. No use, distribution or reproduction is permitted which does not comply with these terms.
* Correspondence:
Yu Chen, chenyu1980@fjmu.edu.cn
Jing Lin, 423559148@qq.com
Disclaimer: All claims expressed in this article are solely those of the authors and do not necessarily represent those of their affiliated organizations, or those of the publisher, the editors and the reviewers. Any product that may be evaluated in this article or claim that may be made by its manufacturer is not guaranteed or endorsed by the publisher.
