ORIGINAL RESEARCH article
Front. Oncol.
Sec. Surgical Oncology
Association between Intraoperative Dexmedetomidine and Survival Outcomes 1 after Colorectal Cancer Surgery: A Retrospective Cohort Study
Provisionally accepted- Nanfang Hospital, Southern Medical University, Guangzhou, China
Select one of your emails
You have multiple emails registered with Frontiers:
Notify me on publication
Please enter your email address:
If you already have an account, please login
You don't have a Frontiers account ? You can register here
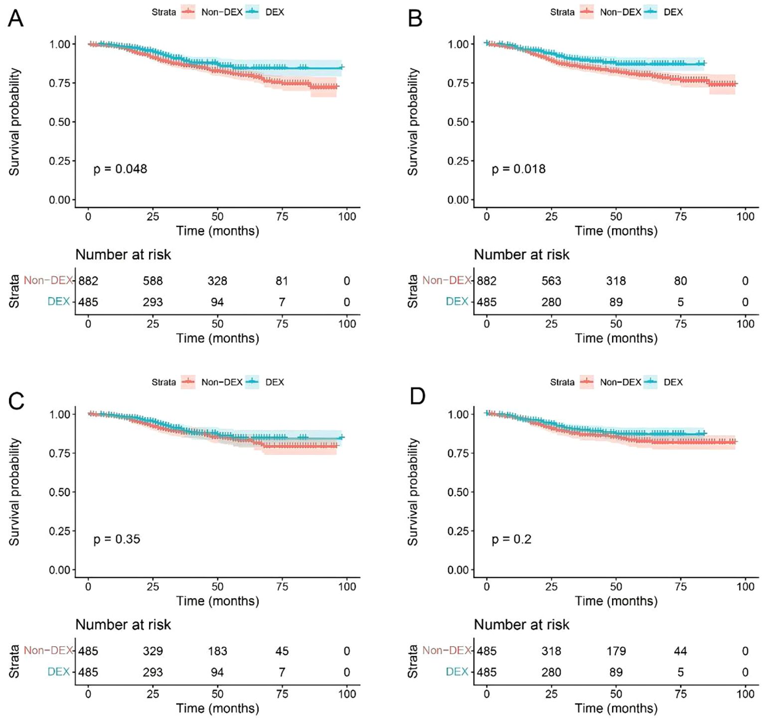
Abstract Background: The impact of dexmedetomidine (DEX) on postoperative survival outcomes in cancer remains controversial. Our study aimed investigate the influence of intraoperative DEX administration on postoperative mortality outcomes in colorectal cancer patients. Methods: This was a retrospective cohort study of adult patients undergoing colorectal cancer surgery in a large academic hospital in southern China between 2011 and 2018. Patients were divided into two groups: the DEX group, in which patients received intravenous DEX during operation, and the non-DEX group. The primary endpoint was overall death or tumor recurrence, deriving two outcome variables: "all-cause death", and "recurrence or death". Secondary endpoints included total hospital stay, postoperative hospital stay, and postoperative complications. Multivariable Cox regression and propensity score matching were used to control confounders. Results: A total of 1367 adult patients were included, in which 485 pairs were matched. Patients received intraoperative DEX had a lower all-cause death rate (8.0% vs. 14.2%, P = 0.002) and a lower recurrence or death rate (14.8% vs. 23.1%, P = 0.001). Intraoperative DEX administration was associated with lower risk of all-cause death postoperatively (adjusted hazard ratio [HR] and 95% confidence interval [CI]: 0.74, 0.52‒1.07 in overall patients, 0.66, 0.45‒0.98 in matched patients) compared with non-DEX. The risk of recurrence or death was lower with a marginal significance (HR and 95% CI: 0.75, 0.56‒1.01) in matched patients. The total hospital stay and postoperative hospital stay were lower in patients used DEX than those did not use (β and 95% CI: -0.96 [-1.71, -0.22] and -0.95 [-1.47, -0.43], respectively, in matched patients). While the risk of postoperative complications was not associated with DEX. Conclusions: In patients undergoing colorectal cancer surgery, intraoperative DEX administration was associated with better postoperative survival.
Keywords: Dexmedetomidine, colorectal cancer, postoperative outcomes, All-cause death, tumor recurrence
Received: 27 Aug 2025; Accepted: 18 Nov 2025.
Copyright: © 2025 Chen, Gan, Zhang, Huang, Li, Ni, Liu, Liu and Li. This is an open-access article distributed under the terms of the Creative Commons Attribution License (CC BY). The use, distribution or reproduction in other forums is permitted, provided the original author(s) or licensor are credited and that the original publication in this journal is cited, in accordance with accepted academic practice. No use, distribution or reproduction is permitted which does not comply with these terms.
* Correspondence: Cai Li, 10414985@qq.com
Disclaimer: All claims expressed in this article are solely those of the authors and do not necessarily represent those of their affiliated organizations, or those of the publisher, the editors and the reviewers. Any product that may be evaluated in this article or claim that may be made by its manufacturer is not guaranteed or endorsed by the publisher.
