ORIGINAL RESEARCH article
Front. Oncol.
Sec. Cancer Epidemiology and Prevention
Prognostic Value of Serum Free Light Chain Abnormalities in Diffuse Large B-cell Lymphoma
Provisionally accepted- 1The Second People's Hospital of Changzhou, Changzhou, China
- 2First Affiliated Hospital of Nanjing Medical University, Nanjing, China
Select one of your emails
You have multiple emails registered with Frontiers:
Notify me on publication
Please enter your email address:
If you already have an account, please login
You don't have a Frontiers account ? You can register here
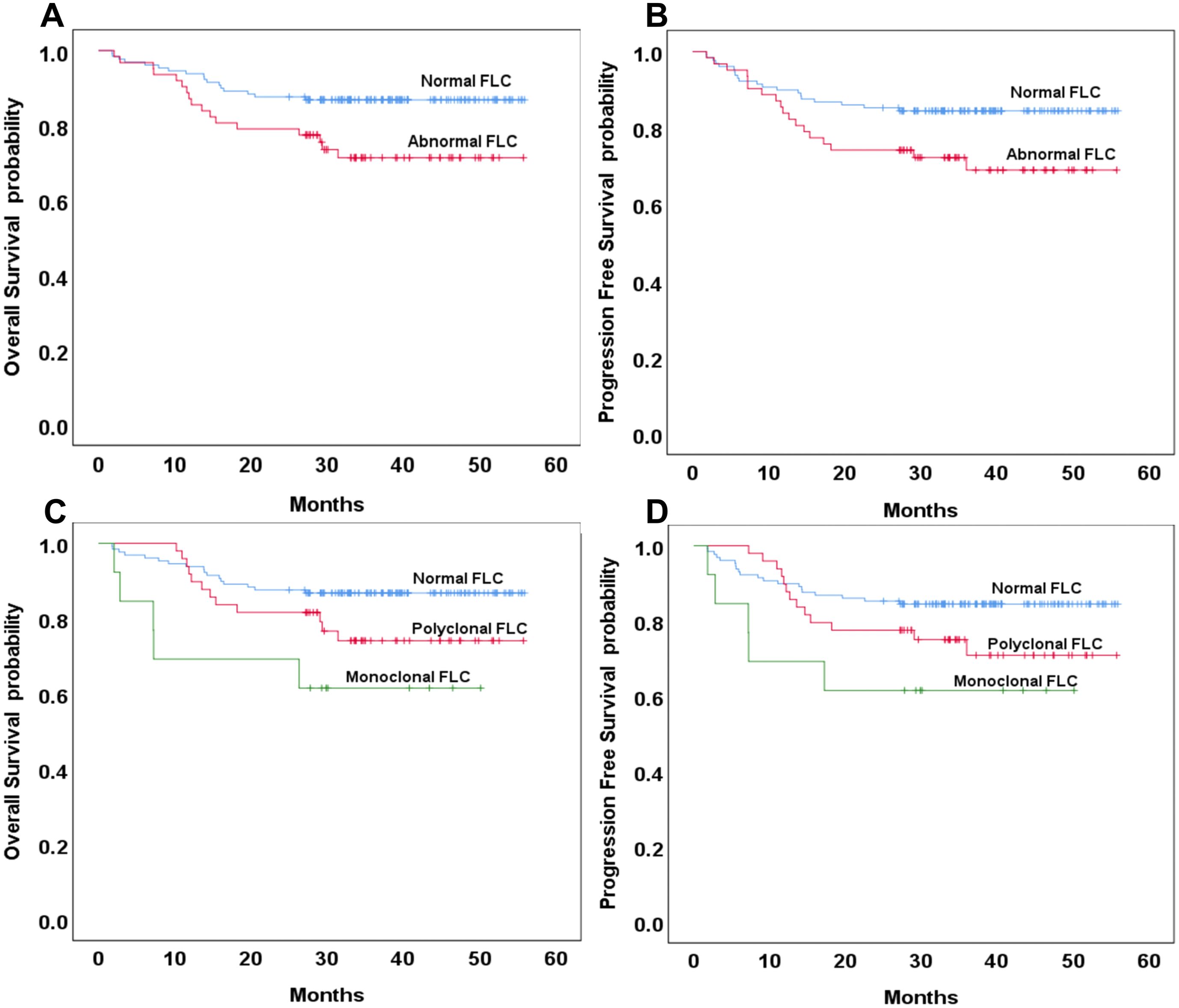
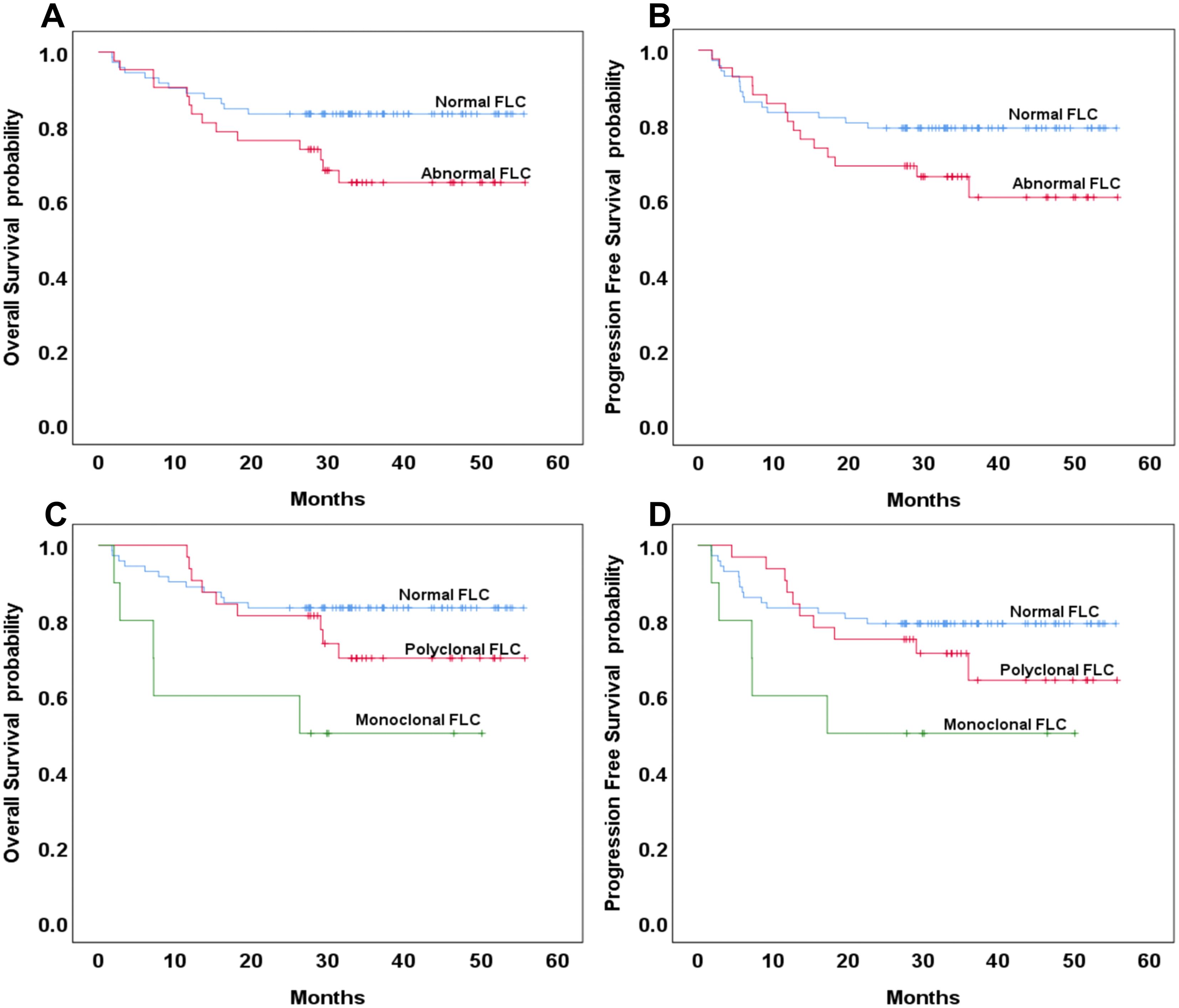
Introduction: This study aimed to evaluate the prognostic significance of serum free light chain (FLC) abnormalities in patients diagnosed with diffuse large B-cell lymphoma (DLBCL), with an emphasis on associations with clinical characteristics and survival outcomes. Methods: This retrospective study included 259 patients newly diagnosed with DLBCL. Serum FLC levels in patients diagnosed with DLBCL were measured prior to the initiation of chemotherapy. Results: Comparing to normal FLC, abnormal serum FLC levels were significantly associated with several clinical features including age > 60 years (p = 0.01), advanced diseased stage (stage III/IV, p < 0.001), involvement of multiple extra nodal sites (p = 0.019), elevated lactate dehydrogenase (LDH) (p = 0.005), Eastern Cooperative Oncology Group performance status (ECOG PS) scores of >1 (p = 0.02), high-intermediate to high International Prognostic Index (IPI) scores (p = 0.005), bone marrow infiltration (p = 0.001), presence of B symptoms, and a higher prevalence of non-germinal center B-cell (non-GCB) subtype. While monoclonal FLC expression was associated with advanced disease stages (stage III/IV, p < 0.001), high-intermediate to high IPI scores (p < 0.001), bone marrow infiltration (p < 0.001), elevated LDH (p < 0.001), and categorization within high-risk prognostic groups. Distinct clinical characteristics were also observed between patients with normal and abnormal serum FLC levels based on molecular classification. Among 259 patients, patients with abnormal or monoclonal FLC profiles had significantly reduced three-year overall survival (OS) and progression-free survival (PFS) (p = 0.016 and 0.032 and p = 0.008 and 0.024, respectively) compared to normal FLC profiles. Among patients with non-GCB DLBCL, monoclonal FLC was associated with a significantly reduced three-year OS compared to normal FLC levels (p = 0.008). Results of multivariate Cox regression analysis for FLC as an independent prognostic factor were not statistically significant. Conclusions: Abnormal serum FLC levels were associated with adverse clinical features and inferior survival outcomes in DLBCL, particularly monoclonal FLC in the non-GCB subtype. These findings support the utility of serum FLC assessment as a simple, accessible biomarker for risk stratification in DLBCL, though it was not confirmed as an independent risk factor in multivariate analysis.
Keywords: Diffuse large B-cell lymphoma, International Prognostic Index, Overallsurvival, prognostic biomarker, serum Free Light Chain
Received: 28 Aug 2025; Accepted: 14 Nov 2025.
Copyright: © 2025 Jia, Li, Liu, Han, Xu and Lu. This is an open-access article distributed under the terms of the Creative Commons Attribution License (CC BY). The use, distribution or reproduction in other forums is permitted, provided the original author(s) or licensor are credited and that the original publication in this journal is cited, in accordance with accepted academic practice. No use, distribution or reproduction is permitted which does not comply with these terms.
* Correspondence:
Wei Xu, xuweixuwnkf@126.com
Xu-zhang Lu, xuzhang_lulxz@126.com
Disclaimer: All claims expressed in this article are solely those of the authors and do not necessarily represent those of their affiliated organizations, or those of the publisher, the editors and the reviewers. Any product that may be evaluated in this article or claim that may be made by its manufacturer is not guaranteed or endorsed by the publisher.
