SYSTEMATIC REVIEW article
Front. Oncol.
Sec. Gastrointestinal Cancers: Hepato Pancreatic Biliary Cancers
This article is part of the Research TopicImmuno-metabolic Approaches for the Treatment of Hepatobiliary and Pancreatic TumorsView all 11 articles
Efficacy of TACE plus tyrosine kinase inhibitors and immune checkpoint inhibitors in the treatment of patients with unresectable hepatocellular carcinoma: A systematic review and Meta-analysis
Provisionally accepted- 1Chengdu Medical College, Chengdu, China
- 2The First People's Hospital of Neijiang, Neijiang, China
- 3The Second Hospital of Jilin University, Changchun, China
Select one of your emails
You have multiple emails registered with Frontiers:
Notify me on publication
Please enter your email address:
If you already have an account, please login
You don't have a Frontiers account ? You can register here
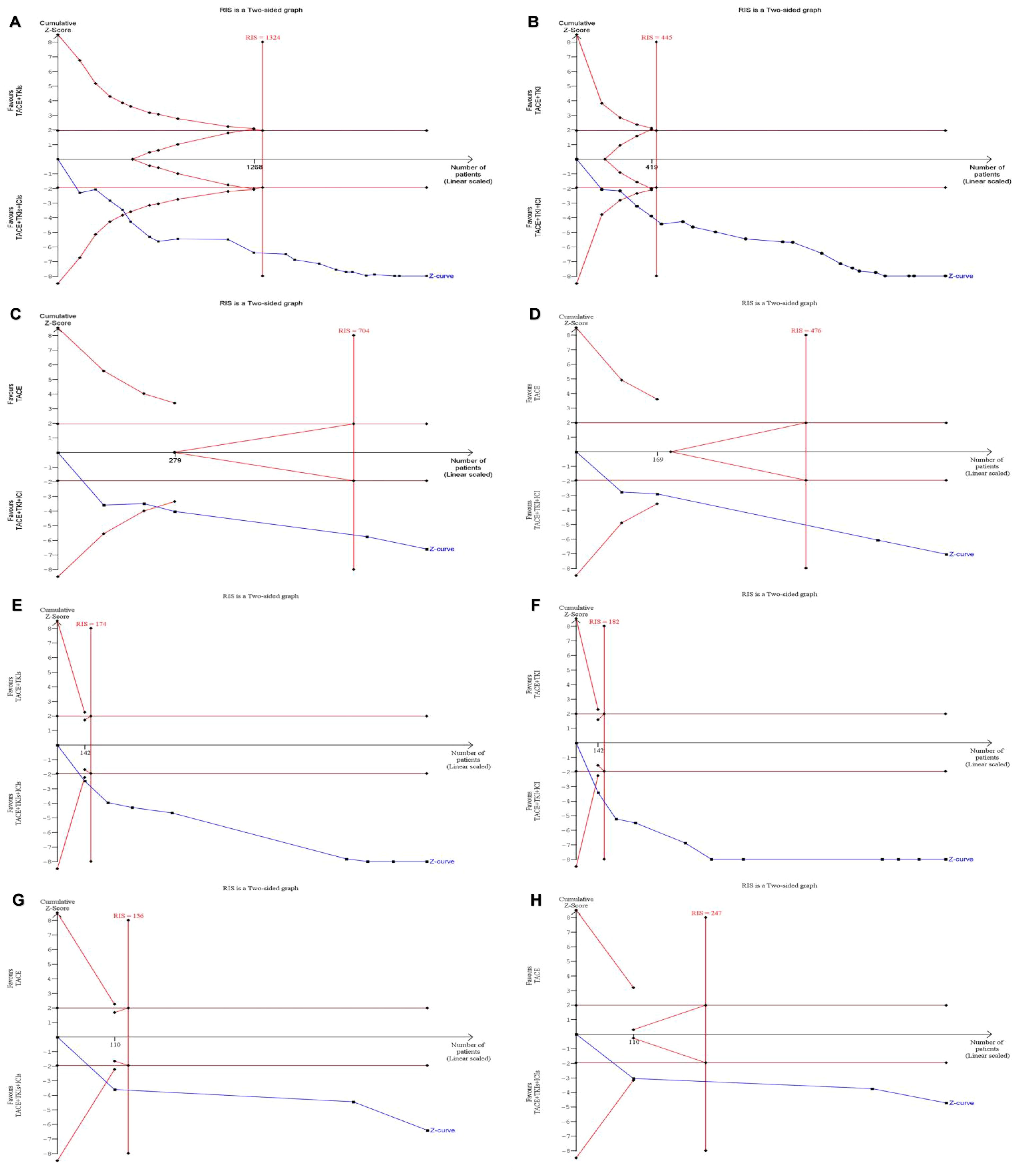
Background: Currently, transarterial chemoembolization (TACE) has been widely used in the treatment of patients with unresectable hepatocellular carcinoma. However, there remains controversy over whether to combine TACE with tyrosine kinase inhibitors (TKIs) and immune checkpoint inhibitors (ICIs) during treatment. This study aims to evaluate the efficacy and safety of TACE combined with TKIs and ICIs in patients with unresectable hepatocellular carcinoma, and to compare this approach with other treatment regimens. Method: We conducted a systematic search of relevant studies from multiple online databases, with the search deadline being March 2025. We use fixed or random effects models based on heterogeneity assessment results and employ sequential analysis of trials (TSA) to determine whether the research findings have sufficient conclusive power. Result: This study included 24 cohort studies involving 3906 patients. Compared with TACE plus TKIs therapy and TACE monotherapy, the combination therapy of TACE plus TKIs plus ICIs significantly improved the objective response rate (ORR) (RR = 1.49 [95% CI 1.35–1.63], P < 0.001 and RR = 1.75 [95% CI 1.48–2.06], P < 0.001), disease control rate (DCR) (RR = 1.27 [95% CI 1.20–1.34], P < 0.001 and RR = 1.39 [95% CI 1.23 – 1.58], P < 0.001), and median progression-free survival (mPFS) (MD = 6.05 months [95% CI 4.77–7.33], P < 0.001 and MD = 7.84 months [95% CI 5.44–10.24], P < 0.001), and median overall survival (mOS) (MD = 2.93 months [95% CI 2.57–3.29], P < 0.001 and MD =4.63 months [95% CI 2.32–6.95], P < 0.001). The sequential analysis (TSA) validated that the current sample size was adequate to reach these conclusions. Univariate and multivariate prognostic analyses indicated that the combination therapy of TACE, TKIs, and ICIs, akin to clinical factors in hepatocellular carcinoma, can function as a prognostic assessment indicator for patients with unresectable hepatocellular carcinoma. Conclusion: This study demonstrates that, in comparison to TACE combined with TKIs and TACE monotherapy, TACE + TKIs + ICIs combination therapy can substantially enhance the prognosis of patients with unresectable hepatocellular carcinoma while maintaining manageable safety profiles.
Keywords: Hepatocellular Carcinoma, TACE, tyrosine kinase inhibitors, immune checkpoint inhibitors, Meta-analysis
Received: 17 Sep 2025; Accepted: 25 Nov 2025.
Copyright: © 2025 Ye, Zhou, Lin, Li, Luo and Xie. This is an open-access article distributed under the terms of the Creative Commons Attribution License (CC BY). The use, distribution or reproduction in other forums is permitted, provided the original author(s) or licensor are credited and that the original publication in this journal is cited, in accordance with accepted academic practice. No use, distribution or reproduction is permitted which does not comply with these terms.
* Correspondence: Fei Xie
Disclaimer: All claims expressed in this article are solely those of the authors and do not necessarily represent those of their affiliated organizations, or those of the publisher, the editors and the reviewers. Any product that may be evaluated in this article or claim that may be made by its manufacturer is not guaranteed or endorsed by the publisher.
