ORIGINAL RESEARCH article
Front. Oncol.
Sec. Thoracic Oncology
This article is part of the Research TopicArtificial Intelligence Advancing Lung Cancer Screening and TreatmentView all 6 articles
Machine learning model for predicting neuropathic pain following thoracic oncology surgery
Provisionally accepted- Sichuan Cancer Hospital, Chengdu, China
Select one of your emails
You have multiple emails registered with Frontiers:
Notify me on publication
Please enter your email address:
If you already have an account, please login
You don't have a Frontiers account ? You can register here
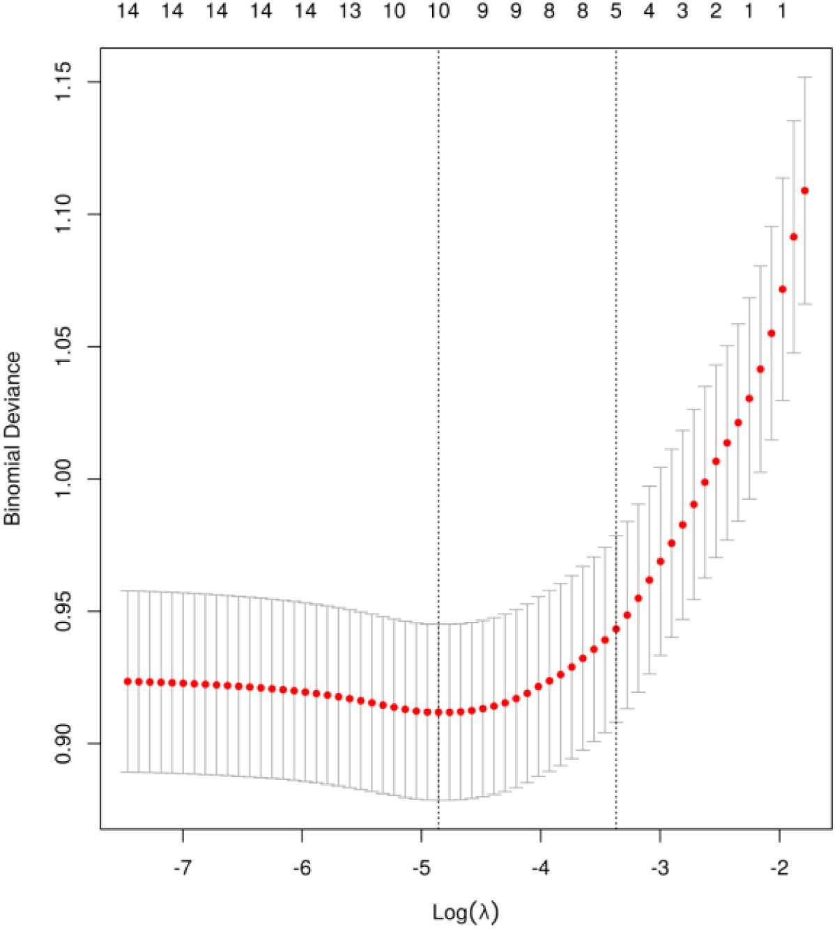
Objectives Neuropathic pain (NP) is a common and challenging complication following thoracic oncology surgery, characterized by complex etiological factors. However, effective predictive models for identifying high-risk patients are currently lacking. This study aims to determine the incidence and key risk factors associated with neuropathic pain following thoracic oncology surgery, and to construct and validate a series of machine learning-based risk prediction models, providing a scientific foundation for clinical decision-making. Methods This study involved 647 patients who underwent thoracic oncology surgery at a specialized cancer hospital in Sichuan Province, China (November 2022 to December 2023). An information survey was designed to collect general demographic data and influencing factors. Outcome indicators were assessed using the Numeric Rating Scale (NRS) for postoperative acute pain and the Douleur Neuropathique 4 Questionnaire (DN4) for neuropathic pain evaluation. Using stratified sampling, the patients were divided into training (80%) and testing (20%) datasets. Univariate analysis and LASSO regression were employed to identify independent risk factors for postoperative neuropathic pain, resulting in the selection of seven factors for model inclusion. Subsequently, six machine learning models were developed using Python 3.11: logistic regression (LR), K-nearest neighbors (K-NN), random forest (RF), support vector machine (SVM), XGBoost, and LightGBM (LGBM). To enhance model accuracy, parameter tuning and ten-fold cross-validation were employed, and performance was evaluated using the testing set with the Area Under the Curve (AUC) metric. A visualization analysis of the model's variable features was conducted, and the Shapley Additive Explanations (SHAP) values of the predictive models were calculated to identify the significant influencing factors and their respective impact levels on postoperative neuropathic pain in thoracic oncology. Results The incidence of postoperative NP was 24.26%. The random forest model demonstrated the highest predictive performance (AUC = 0.86). SHAP value analysis revealed that the primary determinants for the onset of neuropathic pain include the surgical approach, the surgeon's expertise, the quantity of thoracic drainage tubes, the duration of thoracic drainage tube placement, postoperative acute pain, and C-reactive protein (CRP). Conclusions The random forest model effectively predicts neuropathic pain following thoracic oncology surgery, facilitating early screening and targeted interventions to improve outcomes.
Keywords: machine learning, neuropathic pain, oncology, predictive model, Surgery, thoracic
Received: 15 Oct 2025; Accepted: 28 Nov 2025.
Copyright: © 2025 Zhang, Wu, Zhou, Pan, Fan, Xie, Xiao, Zhang, Shu, Luo, Ma and Yang. This is an open-access article distributed under the terms of the Creative Commons Attribution License (CC BY). The use, distribution or reproduction in other forums is permitted, provided the original author(s) or licensor are credited and that the original publication in this journal is cited, in accordance with accepted academic practice. No use, distribution or reproduction is permitted which does not comply with these terms.
* Correspondence: Qing Yang
Disclaimer: All claims expressed in this article are solely those of the authors and do not necessarily represent those of their affiliated organizations, or those of the publisher, the editors and the reviewers. Any product that may be evaluated in this article or claim that may be made by its manufacturer is not guaranteed or endorsed by the publisher.
