ORIGINAL RESEARCH article
Front. Oncol.
Sec. Breast Cancer
This article is part of the Research TopicComprehensive Management and Risk Assessment of Breast Cancer-Related Lymphedema: A Multidisciplinary ApproachView all articles
Machine Learning-Based Personalized Risk Prediction Model for Breast Cancer-Related Lymphedema After Surgery
Provisionally accepted- Jiangxi Cancer Hospital, Nanchang, China
Select one of your emails
You have multiple emails registered with Frontiers:
Notify me on publication
Please enter your email address:
If you already have an account, please login
You don't have a Frontiers account ? You can register here
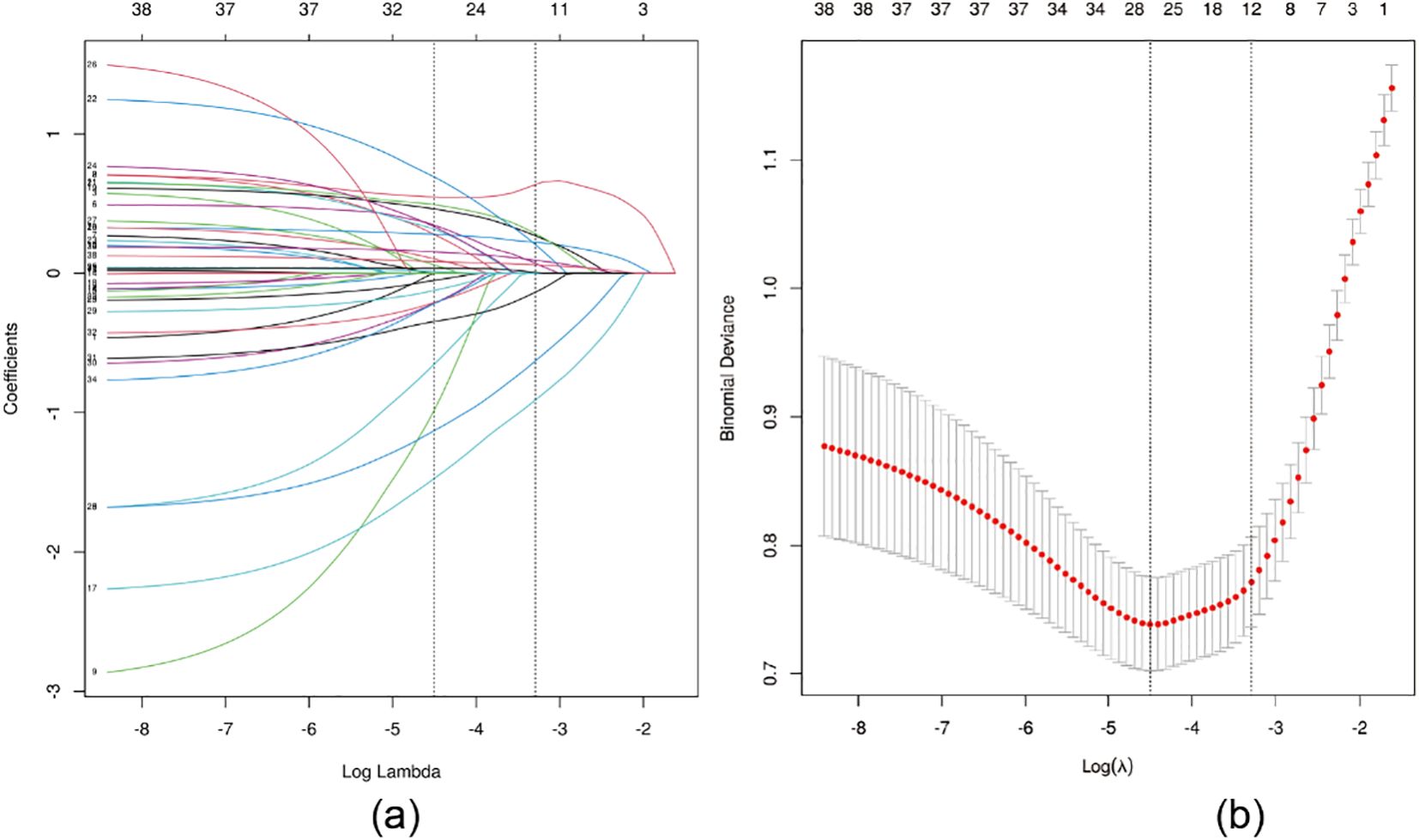
Objective Breast cancer-related lymphedema (BCRL) is a common postoperative complication that significantly impairs patients' quality of life. This study aims to develop a machine learning-based personalized risk prediction model for BCRL by integrating multimodal clinical and behavioral data, thereby providing scientific support for early identification and intervention in high-risk individuals. Methods Clinical and follow-up data were collected from patients who underwent breast cancer surgery between June 2020 and June 2025. A total of 38 variables were analyzed using the Least Absolute Shrinkage and Selection Operator (LASSO) method for feature selection. Nine machine learning algorithms were developed, and their performance was evaluated using metrics including accuracy, sensitivity, specificity, positive predictive value, negative predictive value, F1-score, and the area under the receiver operating characteristic curve (AUC). The optimal model was further interpreted using Shapley Additive Explanations (SHAP) to enable individualized risk assessment. Results A total of 368 eligible patients were included and randomly divided into a training set (n = 257) and a validation set (n = 111) at a 7:3 ratio. Among them, 98 patients (26.63%) developed BCRL. LASSO regression identified 12 features most predictive of BCRL. Among all models, logistic regression demonstrated the best performance, with an AUC of 0.937, accuracy of 0.793, sensitivity of 0.937, and specificity of 0.740 in the validation set. BMI, lymph node dissection level, and lymph node status were identified as the most influential predictors contributing to model performance. Conclusion A logistic regression model, combined with SHAP-based interpretation, enables personalized risk prediction of BCRL in postoperative breast cancer patients. This approach may provide robust support for clinical risk stratification and intervention planning.
Keywords: breast cancer, Lymphedema, machine learning, Prediction model, Cancer
Received: 21 Oct 2025; Accepted: 20 Nov 2025.
Copyright: © 2025 Peng, Ai, Xu, Hong, Li and Liu. This is an open-access article distributed under the terms of the Creative Commons Attribution License (CC BY). The use, distribution or reproduction in other forums is permitted, provided the original author(s) or licensor are credited and that the original publication in this journal is cited, in accordance with accepted academic practice. No use, distribution or reproduction is permitted which does not comply with these terms.
* Correspondence: Weiying Xu, 2250365585@qq.com
Disclaimer: All claims expressed in this article are solely those of the authors and do not necessarily represent those of their affiliated organizations, or those of the publisher, the editors and the reviewers. Any product that may be evaluated in this article or claim that may be made by its manufacturer is not guaranteed or endorsed by the publisher.
