Abstract
Objective:
To assess Xiaoyao-san (XYS) preparations’ effectiveness in treating Hashimoto’s thyroiditis.
Methods:
Eight databases were searched for randomized controlled trials (RCTs) comparing XYS preparations to a low-iodine diet (LID), selenium yeast (SY), levothyroxine (LT4), or Ophiocordyceps sinensis (OS) for HT treatment. The datasets from inception to September 2024. Two reviewers independently evaluated literature and research biases. Meta-analysis was done with Revman 5.4. The GRADE technique assessed evidence reliability. Robustness was assessed using sensitivity and trial sequential analysis (TSA).
Results:
This study analyzed seven randomized controlled trials involving 612 patients. Meta-analysis demonstrated that XYS preparations significantly reduced TPOAb levels [SMD = −0.74, 95% CI (−1.02, −0.46), p < 0.00001]. Combining LT4 with XYS preparations resulted in greater TPOAb reduction compared to LT4 alone [SMD = −0.77, 95% CI (−1.06, −0.47), p < 0.00001] and was more effective in lowering TgAb levels [SMD = −0.66, 95% CI (−1.05, −0.26), p = 0.001]. XYSJW outperformed OS in reducing TgAb [SMD = −0.35, 95% CI (−0.58, −0.10), p = 0.005]. Four XYS preparations (XY, HHXY, GQXY, and DZXY) increased FT3 and FT4 levels [SMD = 0.13, 95% CI (0.01, 0.61), p = 0.04; SMD = 0.58, 95% CI (0.12, 1.04), p = 0.01] and decreased TSH [SMD = −0.76, 95% CI (−0.98, −0.54), p < 0.00001]. Subgroup analysis indicated XY significantly improved FT3 and FT4 levels, but XYS preparations combined with LT4 did not enhance FT3/FT4 restoration. XYSJW also did not reduce TSH more effectively than OS. Evidence quality was low or very low. TSA confirmed the pooled effect estimates, with cumulative z-curves for TPOAb, TgAb, and TSH surpassing the benefit threshold.
Conclusion:
Combination therapy with XYS preparations and LT4 may reduce TPOAb, TgAb, and TSH levels in HT patients. XY combined with LID or SY therapy is more effective at restoring FT3 and FT4 levels. While XYSJW outperforms OS preparations in lowering TgAb levels, it may not surpass OS in restoring thyroid hormone levels. Most studies reviewed are of low quality. XYS preparations appear to modulate cytokines by targeting immune markers and reducing inflammation, but their safety profile remains unclear, requiring further robust evidence.
Systematic Review Registration:
clinicaltrials.gov, identifier CRD42023472233.
1 Introduction
Hashimoto’s thyroiditis (HT) is a prevalent autoimmune thyroid condition that frequently leads to hypothyroidism. According to a recent meta-analysis, the worldwide occurrence of HT in adults is around 7.5%. The prevalence of HT in females is roughly four times more than in males (Hu et al., 2022). Viral infections have been linked to the development of HT (Lim et al., 2023). Therefore, in the current neocoronavirus pandemic, the occurrence of HT has been seen to be notably higher in those who are infected (Mohammadi et al., 2023). Studies have shown that HT is associated with an elevated risk of developing systemic lupus erythematosus (Lin et al., 2023), polycystic ovary syndrome (Ho et al., 2020), and malignant tumors (Feldt-Rasmussen, 2020, Hu et al., 2020). The available clinical interventions for HT are somewhat restricted. Low iodine intake and selenium supplementation as common trace element adjuvant therapy, as well as thyroid hormone replacement therapy, have been used to treat patients with hypothyroidism. However, for individuals with raised antibodies and normal thyroid function, it is advised to merely do follow-up observations without any specific treatment.
Extracted from the medical compendium “Taiping Huimin Heji Jufang” of the Song Dynasty. Xiaoyao-san (XYS) is a traditional Chinese medicinal formula listed in the 2020 edition of the Chinese National Pharmacopoeia (Chinese Pharmacopoeia Commission, 2020). It is effective in treating various symptoms associated with the syndrome of liver-depression and spleen-deficiency. The composition has eight botanical ingredients, namely, Bupleuri radix [Chaihu, Bupleurum Chinese DC.], Paeoniae radix alba [Shaoyao, Paeonia lactiflora Pall.], Atractylodis macrocephalae rhizome [Baizhu, Atractylodes macrocephala Koidz.], Angelicae sinensis radix [Danggui, Angelica sinensis (Oliv.) Diels.], Poria cocos [Fuling, Poria cocos (Schw.) Wolf.], Glycyrrhizae radix et rhizome [Gancao, Glycyrrhiza glabra L.], Menthae haplocalycis herba [Bohe, Mentha canadensis L.], and Zingiberis rhizoma recens [Shengjiang, Zingiber officinale Rosc.]. Table 1 displays the botanical names of the botanical drugs together with their primary ingredients.
TABLE 1
| Non-scientific names (Chinese name) | Class of name | Part(s) of plant used | Name as published | Medicinal source | Maior bioactive metabolites |
|---|---|---|---|---|---|
| Bupleuri radix (Chaihu) | Pharmaceutical | Root | Bupleurum Chinese DC. |
Pharmacop. of China (2015)
WHODrug Herbal Substances 2024 (WHO-UMC, 2024) |
Saikosaponins A, B, and D (Lin et al., 2005; Li et al., 2018b) |
| Paeoniae radix alba (Shaoyao) | Pharmaceutical | Root | Paeonia lactiflora Pall |
Pharmacop. of China (2015)
WHODrug Herbal Substances 2024 (WHO-UMC, 2024) |
Total glycoside of paeony (Pae, hydroxyl-paeoniflorin, paeonin, albiflorin and benzoylpaeoniflorin, etc.) (Zhang and Wei, 2020) |
| Atractylodis macrocephalae rhizome (Baizhu) | Pharmaceutical | Rhizome | Atractylodes macrocephala Koidz |
Pharmacop. of China (2015)
WHODrug Herbal Substances 2024 (WHO-UMC, 2024) |
Atractylenolide I, Ⅱ, Ⅲ, Ⅳ and V, etc. (Zhu et al., 2018) |
| Angelicae sinensis radix (Danggui) | Pharmaceutical | Root | Angelica sinensis (Oliv.) Diels | Pharmacop. Of China (2015) WHODrug Herbal Substances 2024 (WHO-UMC, 2024) |
Z-ligustilide, Senkyunolide A and Ferulic acid, etc. (Wei et al., 2016) |
| Poria cocos (Fuling) | Other | Sclerotia |
Poria cocos (Schw.) Wolf Poria cocos F.A.Wolf |
Pharmacop. of China (2015)
WHODrug Herbal Substances 2024 (WHO-UMC, 2024) https://www.gbif.org/ |
Poricoic acid A, B, and dehydrotumulosic acid, etc. (Yang et al., 2022) |
| Glycyrrhizae radix et rhizome (Gancao) | Pharmaceutical | Rhizome; Root | Glycyrrhiza glabra L |
Pharmacop. of China (2015)
WHODrug Herbal Substances 2024 (WHO-UMC, 2024) |
Glycyrrhiza glabra, glycyrrhizin, etc. (Wang et al., 2020) |
| Menthae haplocalycis herba (Bohe) | Pharmaceutical | Aerial parts | Mentha canadensis L |
Pharmacop. of China (2015)
WHODrug Herbal Substances 2024 (WHO-UMC, 2024) |
Hesperidin, rosmarinic acid, diosmin, etc. (Zhao et al., 2018) |
| Zingiberis rhizoma recens (Shengjiang) | Pharmaceutical | Rhizome | Zingiber officinale Rosc |
Pharmacop. of China (2015)
WHODrug Herbal Substances 2024 (WHO-UMC, 2024) |
Diarylheptanoids, linear diarylheptanoids and ring diarylheptanoids, etc. (Lu et al., 2022) |
Composition of Xiaoyao-San.
Traditional Chinese medicine asserts that the thyroid gland is linked to the liver meridian of the foot-jueyin. This meridian is profoundly influenced by emotions, and specific thyroid-related symptoms may manifest when liver qi is impeded and blood stagnation develops in the neck. The five components hypothesis of Traditional Chinese Medicine asserts a substantial connection between the liver and spleen. Liver depression leads to reduced splenic function, resulting in symptoms like dyspepsia, constipation, and other manifestations similar to thyroid hormone deficiency. Traditional Chinese medicine asserts that the spleen governs blood regulation. Given the increased incidence of thyroid diseases in women, patients exhibit a greater vulnerability to menstrual irregularities. XYS is considered a reliable and effective TCM substance, recognized for its capacity to detoxify the liver, strengthen the spleen, and enrich the blood. Following the principles of Traditional Chinese Medicine (TCM), the therapeutic effects are primarily attributed to the five botanical drugs components: Bupleuri radix [Chaihu, Bupleurum Chinese DC.], Paeoniae radix alba [Shaoyao, P. lactiflora Pall.], Atractylodis macrocephalae rhizome [Baizhu, Atractylodes macrocephala Koidz.], Angelicae sinensis radix [Danggui, A. sinensis (Oliv.) Diels.], and Poria cocos [Fuling, P. cocos (Schw.) Wolf.]. These five botanical drugs are also recognized as the main components for the identification of XYS in the Chinese Pharmacopoeia, as detailed in the Supplementary Table S4, S6. It is frequently employed to treat several conditions related to mood, digestion, and menstruation in women, including mixed anxiety-depression (Li et al., 2022), sleep and mood problems (Yang et al., 2022), and functional dyspepsia in perimenopausal depression (Du et al., 2014). The efficacy of XYS preparations has been demonstrated in multiple thyroid disorders, including thyroid nodules (Bai et al., 2019), hyperthyroidism (Shi et al., 2020), thyroid-associated ophthalmopathy (Wang et al., 2014; Huang, 2021), and Hashimoto’s thyroiditis (Du JH. et al., 2020; Zhang et al., 2022).
In clinical practice, the prescription is adjusted based on these five botanical drugs according to the various TCM symptoms presented by the patients. Danzhi Xiaoyao Powder (DZXY) is the most often recommended therapy for hyperthyroidism patients in Taiwan (Chang et al., 2022). Honghua Xiaoyao pill (HHXY) and DZXY are often utilized Chinese polyherbal preparation (CCPP). Both have demonstrated success in treating irregular menstruation (Pei et al., 2016), melasma (Liu et al., 2017), mammary hyperplasia (Meng et al., 2014), and H-type hypertension (Li et al., 2020). It may enhance the efficacy of antithyroid medications (ATDs) in managing hyperthyroidism (Ma et al., 2023). Multiple clinical investigations indicate that XYS drugs, including XY, HHXY, and DZXY, can diminish TPOAb and TgAb levels (Atkins et al., 2004; Zhang and Zhu, 2018), hence improving thyroid function in patients with hypothyroidism produced by Hashimoto’s thyroiditis (Gai et al., 2023; Du J. et al., 2020; Chen et al., 2021).
Ophiocordyceps sinensis (OS, also called Cordyceps sinensis), acknowledged for its varied biological impacts on the circulatory, pulmonary, renal, and urinary systems (Booi et al., 2022), has been employed in China for millennia and signifies a prospective herbal treatment for investigation and application. OS exhibits unique immunological properties (Rong et al., 2021) and has been widely employed in therapeutic investigations for many autoimmune diseases, such as experimental autoimmune thyroiditis (EAT) (Xiao et al., 2018). OS may significantly reduce blood concentrations of TSH, TPOAb, and TgAb, while improving the histological irregularities of the thyroid. Clinically, OS can significantly reduce TPOAb levels in HT patients while altering the balance of helper T cells and cytotoxic T cells (He et al., 2016). The recent meta-analysis demonstrated that Cordyceps sinensis significantly decreased TPOAb and TgAb levels in the treatment of Hashimoto’s thyroiditis (Wei et al., 2023). This study utilizes current research, employing OS preparations in the comparative analysis to provide more robust and comprehensive data for therapeutic applications. The bulk of these studies had a limited participant pool and were conducted at a single institution. This study rigorously evaluated the efficacy of XYS preparations, formulated with the five main botanical drugs, in the treatment of HT, as compared to a LID, SY, LT4 and OS.
2 Materials and methods
The meta-analysis was reported in full adherence to the PRISMA guidelines, which are the recommended reporting standards for systematic reviews and meta-analyses (Supplementary Table S1). The study protocol was registered with the International Prospective Systematic Review Registry (PROSPERO 2023 CRD42023472233) (Moher et al., 2009). All the botanical drugs and CCPP involved are listed in Supplementary Table S4-S10. All general rules and patent contents can be viewed in Supplementary Material S2. The PDF file generated by the evaluation tool of ConPhYMP guidelines can be viewed in Supplementary Material S1. Note: For the parts of the article that do not involve chemical components, the Chinese names of the herbal medicines will be used for a more concise and accurate expression.
2.1 Inclusion criteria
2.1.1 Type of studies
Randomized controlled trials (RCTs).
2.1.2 Participants
The study included adult participants aged 18 years or older who had received a diagnosis of HT based on the criteria of a recognized professional organization, with or without hypothyroidism. The study did not consider factors such as sex, ethnicity, race, or duration of HT.
2.1.3 Interventions and comparisons
The intervention group was administered a low-iodine diet (LID), selenium yeast supplements (SY), or levothyroxine (LT4), alongside oral drugs (e.g., DZXY, HHXY, etc.). The control group was administered LID, SY, LT4, or OS therapy. The types and dosage forms of LID, SY, or LT4 were the same in both groups. The XYS preparation is CCPP with the five main botanical drugs of XYS as the main ingredient, and the specific form, quantity, or duration are not limited. The intervention method employed oral administration.
2.1.4 Outcomes
The principal outcomes of this study were TPOAb and TgAb, while the secondary outcomes included free triiodothyronine (FT3), free thyroxine (FT4), thyroid stimulating hormone (TSH), and traditional Chinese medicine symptom score (TCMS). The additional outcomes included tumor necrosis factor-α (TNF-α), interleukin-2 (IL-2), interleukin-6 (IL-6), and adverse reactions.
2.2 Exclusion criteria
1) Full text is not available. 2) Reviews, case reports, reviews, animal experiments and other non-RCT studies. 3) The language is not Chinese or English. 4) No required outcome data. 5) Missing or erroneous data.
2.3 Search strategy
Eight databases, including PubMed, Web of Science, Cochrane Library, Embase, SinoMed, CNKI (China National Knowledge Infrastructure), Chongqing Chinese Science and Technology Journal Database (VIP), and Wanfang Data, were searched for publications published prior to September 2024. After consulting the MeSH related terms provided by PubMed, the search terms were identified as follows: Disease, Hashimoto, Hashimoto Struma, Hashimoto Thyroiditis, Hashimoto Thyroiditides, Thyroiditides, Hashimoto, Thyroiditis, hashimoto, thyroiditis, Hashimoto, Hashimoto’s Syndrome, Hashimoto’s Syndrome, Hashimoto’s Syndromes, Hashimotos Syndrome, Syndrome, Hashimoto’s syndrome, Hashimoto’s Struma, Hashimoto’s struma, Chronic Lymphocytic Thyroiditis, also known as Hashimoto’s Disease, is a condition characterized by inflammation of the thyroid gland. It is a chronic autoimmune disorder that affects the lymphocytes in the thyroid. The condition is often referred to as Lymphocytic Thyroiditis or simply Thyroiditis. The several names for this substance include xiaoyao, danzhi xiaoyao, kamisyoyo san, XYDN (xiaoyao), xiao-yao, kami-shoyo-san, kami-soyo-san, TJ-24, TJ24, jiawei-xiaoyao-san, jia-wei-xiao-yao-san, and kamisyoyo-san. Systematic retrieval was conducted by selecting various combinations and matches, such as subject words, free words, and abstracts, based on the retrieval characteristics of distinct databases. The Supplementary Table S2 provides a comprehensive overview of the specific retrieval procedures.
2.4 Study selection and data extraction
The EndNote 20 software was utilized for the purpose of organizing and categorizing literature. An initial screening was performed by reading the title and abstract. If the necessary information for inclusion and exclusion cannot be obtained, we proceed to download the complete text. Upon completion of reading the entire text, the literature underwent a rigorous rescreening process that adhered strictly to the predetermined criteria for inclusion and exclusion. We utilized Excel tables for the extraction of literature. The pertinent information from the studies included was extracted, including 1) the name and publication year of the primary author; 2) the sample size and age range of both the intervention and control groups; 3) the method used to generate the random sequence; 4) the various intervention methods and duration for both XYS preparations and comparator drugs; 5) the outcome indicators. The systematic review included a summary of the following items from the included studies: 1) The initial author’s name and the year of publication; 2) Modifications in the composition, forms, and dosage of XYS preparations; 3) Indicators used for observation; 4) Factors contributing to efficacy and the underlying mechanisms. The process of selecting and extracting data was carried out by two raters in an independent manner. In case of any disagreements, a third rater resolved them through collaborative conversation.
2.5 Risk of bias assessment
The investigators utilized the Cochrane Risk of Bias tool in RevMan 5.4 software (Higgins et al., 2011) to assess the quality of the included studies in the following dimensions: a) Random sequence generation, b) Concealment of allocation, c) Blinding of participants and personnel, d) Blinding of outcome assessment, e) Incomplete outcome data, f) Selective reporting, and g) Other biases. The risk outcomes were categorized into three levels: low, unclear, and high. Two reviewers conducted separate evaluations to determine the potential for bias in the studies that were included. Any conflicts were resolved through collaborative deliberation involving a third reviewer.
2.6 Statistical analysis and publication bias
Data analysis was conducted using Review Manager software (version 5.4, Copenhagen: Nordic Cochrane Centre, The Cochrane Collaboration, 2014). All outcomes examined in this study were characterized as continuous variables. For the treatment of various units or measurements of continuous variables, study results articulated in interquartile ranges were transformed into means and standard deviations using the method outlined in Section 6.5.2.5 of the Cochrane Handbook. When dealing with various units or measurement methods for continuous variables, the standardized mean difference (SMD) was employed as the combined effect indicator instead of the mean difference (MD). For each effect magnitude, we computed point estimates and 95% confidence intervals (CI).
The Cochrane Q test was employed to examine the heterogeneity among the findings of the studies that were included, while I2 was utilized to measure the extent of heterogeneity (Higgins and Thompson, 2002). When the value of p ≥ 0.1 and the value of I2 < 50%, there was no statistically significant variation in each outcome. Therefore, the fixed effect model was employed for Meta-analysis. When the p < 0.1 and the I2 > 50%, the results exhibit statistical heterogeneity, and the cause of this heterogeneity was further investigated. Only methods such as subgroup analysis or descriptive analysis were employed to identify the causes of considerable clinical heterogeneity. Following the clarification of the impact of substantial clinical heterogeneity, a random-effects model was employed for the meta-analysis. A meta-analysis was conducted using a significance threshold α = 0.05. The robustness of the pooled results was assessed using TSA and sensitivity analysis (leave-one-out approach). The objective of this study was to investigate XYS preparations with different treatment regimens (including combinations with LT4, SY, etc.) and formulation compositions (such as variations in the original formula, additives, and subtractions). The Egger’s test was used to evaluate the presence of publication bias in the meta-analysis when there were 10 or more papers included. If the value of p < 0.05, it suggests that the study exhibited publication bias. Sensitivity analyses and Egger’s test were conducted using Stata software (version 18, Stata Corporation, College Station, Texas, United States). Finally, for results that cannot be enhanced by the above methods, the Rosenthal fail-safe N is employed to measure the number of non-significant studies that need to be published to invalidate the meta-analysis findings (Becker, 2005), thereby increasing the certainty of the results. The calculation of Rosenthal fail-safe N is conducted using R software (version 4.3.0; R Core Team, 2023).
2.7 Trial sequential analysis
To determine whether the meta-analysis contained the necessary data and to address potential problems that could have led to false positive (type I error) or false negative (type II error) results due to insufficient power to detect an intervention effect, TSA software (0.9.5.10 Beta, Copenhagen Trial Unit, Denmark) was used (Brok et al., 2008). The continuous data type was chosen, and the cumulative z-curve was built using a random effects model. The hypothesis test was conducted using a two-sided test. The type I error was determined to be 5%, and the penalty value was set at 2. The aggregated sample size was chosen as the information axis, and the statistical power was set at 80%. The necessary information size to detect or reject the impact of the intervention was determined by utilizing estimations for the quantity of information, which was derived from empirical data for both the mean difference and variance, and model-based variance for correcting heterogeneity.
2.8 Certainty assessment
The quality of evidence for outcomes was assessed using the Grading of Recommendations, Assessment, Development, and Evaluation (GRADE) approach (Atkins et al., 2004). The evidence was assessed based on criteria such as bias, inconsistency, indirectness, imprecision, and publication bias. The evidentiary quality was categorized into four tiers: high, medium, low, and very low.
3 Results
3.1 Study selection
A total of 97 articles were included, all written in Chinese. Employing EndNote 20 software to systematically eliminate duplicates from 47 documents. Fourteen elements were manually eliminated, resulting in thirty-six remaining for further study. Seventeen papers were rejected for various reasons following the evaluation of titles and abstracts: Two studies were network pharmacology analyses, one was animal research, one was a review, one was a retrospective study, and twelve were non-randomized controlled trials. A study was retracted due to its inaccessibility for download. Eighteen articles were retrieved, of which eight satisfied the inclusion criteria. Ten publications were discarded for several reasons: insufficient explanation of significant outcomes (n = 2), inappropriate intervention (n = 5), ambiguous formulation of intervention drugs (n = 2), and vague evaluation of intervention pharmaceuticals (n = 1). A total of eight articles were incorporated for systematic review and meta-analysis. Figure 1 illustrates the literature screening process, while Supplementary Table S3 offers detailed annotations of the publications excluded following the removal of duplicate data.
FIGURE 1

PRISMA Flow diagram of the record selection process.
3.2 Study characteristics in the meta-analysis
This meta-analysis encompassed seven studies with a total of 612 participants with HT. 420 cases of normal thyroid function and 192 cases of hypothyroidism. The trials were conducted in mainland China from 2018 to 2023 and subsequently published in Chinese. Intervention group: 307 patients; control group: 305 cases. The experiment requires a minimum sample size of 60 patients and a maximum of 162 persons. Enumerate five types of CCPP: Xiaoyao Pills (XY), Danzhi-Xiaoyao Granules (DZXY), Honghua-Xiaoyao Tablets (HHXY), Guiqi-Xiaoyao Mixture (GQXY), and Xiaoyao-San-Jiawei (XYSJW). Consult Supplementary Table S4-S10 for further details on these preparations. In four trials, the XYS preparations were solely used with the LID intervention, whereas all other studies utilized LT4 or SY combinations as the intervention drugs. Six studies had a duration of 3 months, one research had a duration of 6 months, and another study had a duration of 1 month. Consult Table 2 for further information.
TABLE 2
| Study ID | Sample size (E/C) | Age (year) | Male/Female | Intervention(s) | Comparators | Treatment duration (week) | With hypothyroidism | Outcomes | ||
|---|---|---|---|---|---|---|---|---|---|---|
| E | C | E | C | |||||||
| Chen et al. (2021) | 34/34 | 37.8 ± 3.95 | 38.4 ± 4.57 | 6/28 | 5/29 | XY 1.6 g tid + SY | SY | 24 | no | 1,2,3,4,5 |
| Cheng, J. (2021) | 30/30 | 36.03 ± 9.94 | 36.87 ± 11.36 | 5/25 | 4/26 | GQXY 0.2 g bid + LT4 | LT4 | 12 | yes | 1,2,3,4,5,6 |
| Du et al. (2020) | 30/30 | 39.29 ± 11.68 | 37.54 ± 12.11 | 2/28 | 3/27 | (DZXY 9 g + XKC 9 g) bid + LT4 | LT4 | 12 | yes | 1,2,3,4,5,10 |
| Gai et al. (2023) | 36/36 | 40.14 ± 10.01 | 41.92 ± 7.66 | 11/25 | 14/22 | HHXY 0.78 g tid + LT4 | LT4 | 12 | yes | 1,2,3,4,5,6,9 10 |
| Zhang et al. (2019) | 40/40 | 36.2 ± 6.4 | 35.6 ± 6.8 | 0/40 | 0/40 | XY 2.4 g tid + LID | LID | 12 | no | 1,2,3,4,5,10 |
| Li (2021b) | 55/55 | 43.56 ± 11.41 | 42.82 ± 12.34 | 7/48 | 5/50 | XYSJW 30 g tid + LID | OS 1.68 g tid | 12 | no | 1,2,3,4,5,6 |
| Zhang et al. (2022) | 82/80 | 38.18 ± 10.41 | 40.28 ± 10.519 | 24/58 | 21/59 | XYSJW 30 g tid + LID | OS 1.68 g tid | 12 | no | 1,2,3,4,5,6,9 |
Basic characteristics of the included studies.
E, experimental group; C, control group; XY, xiaoyao pill; GQXY, guiqi xiaoyao mixture; DZXY, danzhi xiaoyao granules; XKC, xiakucao gao; HHXY, honghua xiaoyao tablet; XYSJW, xiaoyao san jiawei granules; LID, low-iodine diet; SY, selenium yeast tablets; OS, Ophiocordyceps sinensis (Jinshuibao tablets); LT4, levothyroxine; 1: thyroid peroxidase antibody (TPOAb); 2: thyroglobulin antibody (TgAb); 3: free triiodothyronine (FT3); 4: free thyroxine (FT4); 5: thyroid stimulating hormone (TSH); 6: TCM, symptom score (TCMS); 7: tumor necrosis factor alpha (TNF-α); 8: interleukin-2 (IL-2); 9: interleukin-6 (IL-6); 10: adverse events.
3.3 Quality assessment of included studies
Of the seven studies analyzed, all of them employed the random number table method for group allocation (Gai et al., 2023; Du JH. et al., 2020; Zhang and Zhu, 2018; Chen et al., 2021; Cheng, 2021; Zhang et al., 2022; Li Yinan., 2021), Hence, the generation of random sequences is considered low risk. Only one study was deemed to have a low operational risk (Li YN., 2021), while the rest of the studies that did not mention blinding were considered to have a high risk of concealment bias (Cheng, 2021; Du J. et al., 2020; Zhang et al., 2022). Three studies that only described physiological indicators were considered to have an unclear operational risk, while the detection bias was considered low (Cheng, 2021; Gai et al., 2023; Zhang and Zhu, 2018). The detection bias was unclear in the remaining studies. All study data has been finalized, and the attrition rate is below 10%. The absence of pre-registration for the study protocols introduces an ambiguous risk of first-reporting bias for all examined investigations. Consequently, it is unfeasible to ascertain if all anticipated effects have been documented. In two investigations, the gender distribution of male and female patients diverged from the actual clinical demographics (Gai et al., 2023; Zhang et al., 2022), indicating the potential presence of additional biases. Figure 2 depicts the evaluation of probable bias in the reviewed literature.
FIGURE 2

Risk of bias summary.
3.4 Effectiveness of interventions
3.4.1 Primary outcomes and subgroup analysis
As shown in Figure 3, thyroid autoantibodies were detected in all evaluations. Since OS is an extract of CCPP, to ensure more rigorous control of intergroup differences, we conducted separate comparisons between XYSJW and OS trials. Compared to the control group, XYS preparations exhibited a greater impact on TPOAb levels [SMD = −0.74, 95% CI (−1.02, −0.46), p < 0.00001]. The overall difference across the entire investigation was not significant (p < 0.16, I2 = 39%). A subgroup analysis was conducted to investigate potential reasons for the discrepancies. The subgroup analysis of combination therapy with XYS preparations indicated that the combination of XYS and LT4 was significantly more effective in reducing TPOAb levels compared to LT4 monotherapy [SMD = −0.77, 95% CI (−1.06, −0.47), p < 0.00001], without heterogeneity. Due to the availability of only one study on the combination of XY with LID and SY, their results were described: XY combined with LID could reduce TPOAb levels, while the combination of XY and SY showed no statistical significance in reducing TPOAb levels. Significant statistical differences were observed among subgroups with different treatment regimens (p = 0.05, I2 = 65.5%), suggesting that variations in treatment regimens might be the primary source of heterogeneity (Supplementary Table S11). Additionally, there was no statistically significant difference in the reduction of TPOAb levels between XYSJW and OS preparations [SMD = 0.13, 95% CI (−0.41, −0.67), p = 0.64]. (Figure 4).
FIGURE 3

Forest plots of the effectiveness comparison of autoantibodies (XYS preparations vs LT4, LID, and SY): (A) TPOAb; (B) TgAb.
FIGURE 4

Forest plots of the effectiveness comparison of autoantibodies (XYSJW vs OS): (A) TPOAb; (B) TgAb.
The XYS preparations intervention group was superior to the control group in reducing TgAb levels, showing a significant statistical difference [SMD = −0.66, 95% CI (−1.05, −0.26), p = 0.001], while exhibiting considerable heterogeneity (p = 0.01, I2 = 69%). Subgroup analysis indicated that the combination of XYS preparations and LT4 was more effective than LT4 monotherapy [SMD = −0.92, 95% CI (−1.37, −0.47), p < 0.0001], without demonstrating significant heterogeneity (p = 0.11, I2 = 55%). Whether XY was used in combination with LID or SY, it did not show a better effect in reducing TgAb compared to LID or SY monotherapy. Significant statistical differences were observed among subgroups with different treatment regimens, which may be the primary source of heterogeneity (p = 0.05, I2 = 66.1%) (Figure 3; Supplementary Table S11). Additionally, there was a significant statistical difference between XYSJW and OS preparations in reducing TgAb levels [SMD = −0.35, 95% CI (−0.58, −0.10), p = 0.005], with no significant heterogeneity observed between groups (p = 0.23, I2 = 31%). (Figure 4).
3.4.2 Secondary outcomes and subgroup analysis
All seven studies evaluated thyroid function (Figure 5). The studies demonstrated a statistically significant difference between the two groups in terms of elevated FT3 levels [SMD = 0.13, 95% CI (0.01, 0.61), p = 0.04]. The heterogeneity was not significantly altered (p = 0.10, I2 = 49%). Subgroup analysis revealed significant differences among groups receiving different treatment methods (p = 0.03, I2 = 72%). Combination therapy with XYS preparations and LT4 did not show a significant difference compared to LT4 monotherapy in elevating FT3 levels [SMD = 0.22, 95% CI (−0.07, 0.50), p = 0.13], and no heterogeneity was detected (p = 0.71, I2 = 0%). Combination therapy of XY and LID did not demonstrate a better ability to elevate serum FT3 levels compared to LID intervention alone. However, combination therapy of XY and SY showed significantly better efficacy in elevating FT3 levels compared to SY monotherapy, suggesting that this treatment regimen may be the primary source of heterogeneity among subgroups (p = 0.03, I2 = 72%). (Supplementary Table S11). Additionally, combination therapy with XYSJW and OS preparations did not exhibit a better ability to restore FT3 levels compared to OS monotherapy. (Figure 6).
FIGURE 5

Forest plots of the effectiveness comparisons for thyroid function (XYS preparations vs LT4, LID, and SY): (A) FT3, (B) FT4, and (C) TSH.
FIGURE 6

Forest plots of the effectiveness comparisons for thyroid function (XYSJW vs OS): (A) FT3, (B) FT4, and (C) TSH.
The results showed a statistically significant difference in FT4 levels between the two groups [SMD = 0.58, 95% CI (0.12, 1.04), p = 0.01], accompanied by considerable heterogeneity (p = 0.002, I2 = 77%). In the subgroup analysis, the combination of XYS preparations with LT4 did not demonstrate a superior ability to restore FT4 levels compared to LT4 alone [SMD = 0.24, 95% CI (−0.08, 0.55), p = 0.14], and the heterogeneity was not significant (p = 0.30, I2 = 18%). However, when XY was combined with LID or SY, it showed a better ability to restore FT4 levels than LID or SY monotherapy, which may be the main reason for the heterogeneity. Significant heterogeneity among subgroup analyses supported this view (p = 0.001, I2 = 85.6%). (Supplementary Table S4, S11). Additionally, there was no statistically significant difference between XYSJW and OS preparations in restoring serum FT4 levels. (Figure 6).
The results of the study demonstrate that XYS preparations has statistically significant effects on reducing TSH levels [SMD = −0.76, 95% CI (−0.98, −0.54), p < 0.00001], and the findings are robust in terms of heterogeneity (p = 0.57, I2 = 0%). Subgroup analysis reveals that combinations of XYS preparations with LT4 therapy, XY with LID treatment, and XY with SY treatment all exhibit significant abilities to restore TSH levels, and the results are relatively consistent across groups (p = 0.48, I2 = 0%). (Supplementary Table S11). Compared to OS, XYSJW shows a statistically significant increase in TSH levels [SMD = 0.79, 95% CI (0.54, 1.04), p < 0.00001], with minimal heterogeneity (p = 0.65, I2 = 0%) (Figure 6).
Four studies evaluated the effect of XYS preparations on TCMs (Gai et al., 2023; Cheng, 2021; Li Yinan., 2021; Zhang et al., 2022). The results indicated no evidence that the involvement of XYS preparations in treatment significantly reduced TCMs [SMD = −2.54, 95% CI (−6.26, 1.19), p = 0.18]. The same conclusion was reached in the comparison between XYSJW and OS. [SMD = −2.62, 95% CI (−6.43, 1.19), p = 0.18]. However, both comparisons showed considerable heterogeneity (p < 0.00001, I2 = 98%; p < 0.00001, I2 = 99%). The source of this heterogeneity could not be determined through subgroup analysis. Upon reviewing the studies, we believe this heterogeneity was primarily due to the gender ratio in two studies not aligning with the clinical characteristics of HT (Gai et al., 2023; Zhang et al., 2022) (Figure 7).
FIGURE 7

Forest plots of the effectiveness comparison of TCMs: (A) XYS preparations vs LT4 and SY, (B) XYSJW vs OS.
3.4.3 Additional outcomes
A descriptive evaluation of serum IL-6 levels in two experiments revealed a more significant decrease in blood IL-6 levels in the HHXY combined with LT4 intervention group compared to the LT4 group [SMD = −0.64, 95% CI (−1.09, −0.19), p = 0.005]. When comparing XYSJW with OS preparations, no statistically significant difference was observed [SMD = −0.06, 95% CI (−0.37, 0.25), p = 0.71] (Figure 8). However, no studies measured serum IL-2 and TNF-α concentrations. Three studies documented negative reactions (Gai et al., 2023; Du JH. et al., 2020; Zhang and Zhu, 2018), although no adverse effects were identified.
FIGURE 8

Forest plots of the effectiveness comparison of IL-6: (A) HHXY + LT4 vs LT4, (B) XYSJW vs OS.
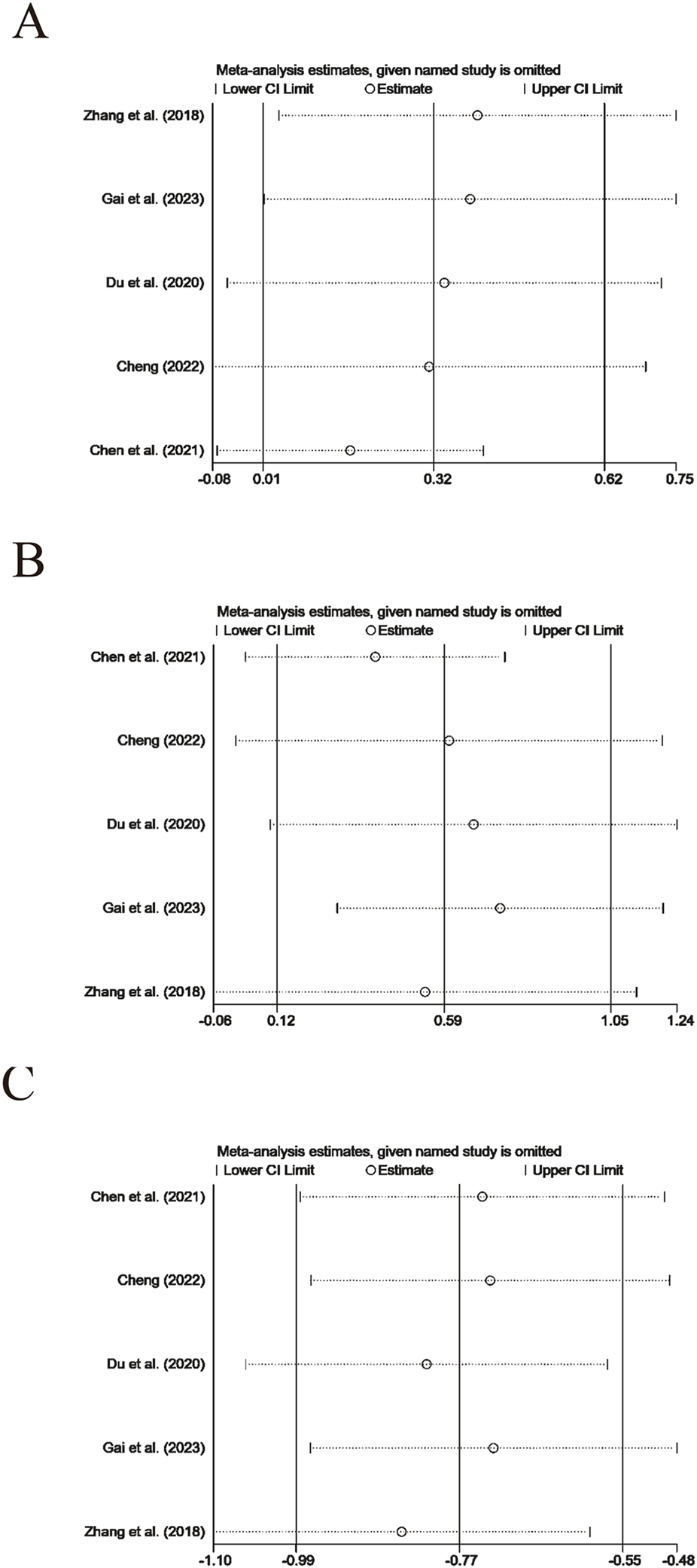
3.4.4 Sensitivity analysis
Systematic exclusion for sensitivity analysis of each trial indicated that, when comparing the intervention group receiving XYS preparations with the control group, apart from TCMs, and the comparison between XYSJW and OS preparations which involved only two trials and could not undergo leave-one-out analysis, the test results for other primary and secondary outcomes were mainly reliable (Figures 9, 10).
FIGURE 9

Sensitivity tests of primary outcomes: (A) TPOAb, (B) TgAb.
FIGURE 10

Sensitivity tests of secondary outcomes: (A) FT3, (B) FT4, and (C) TSH.
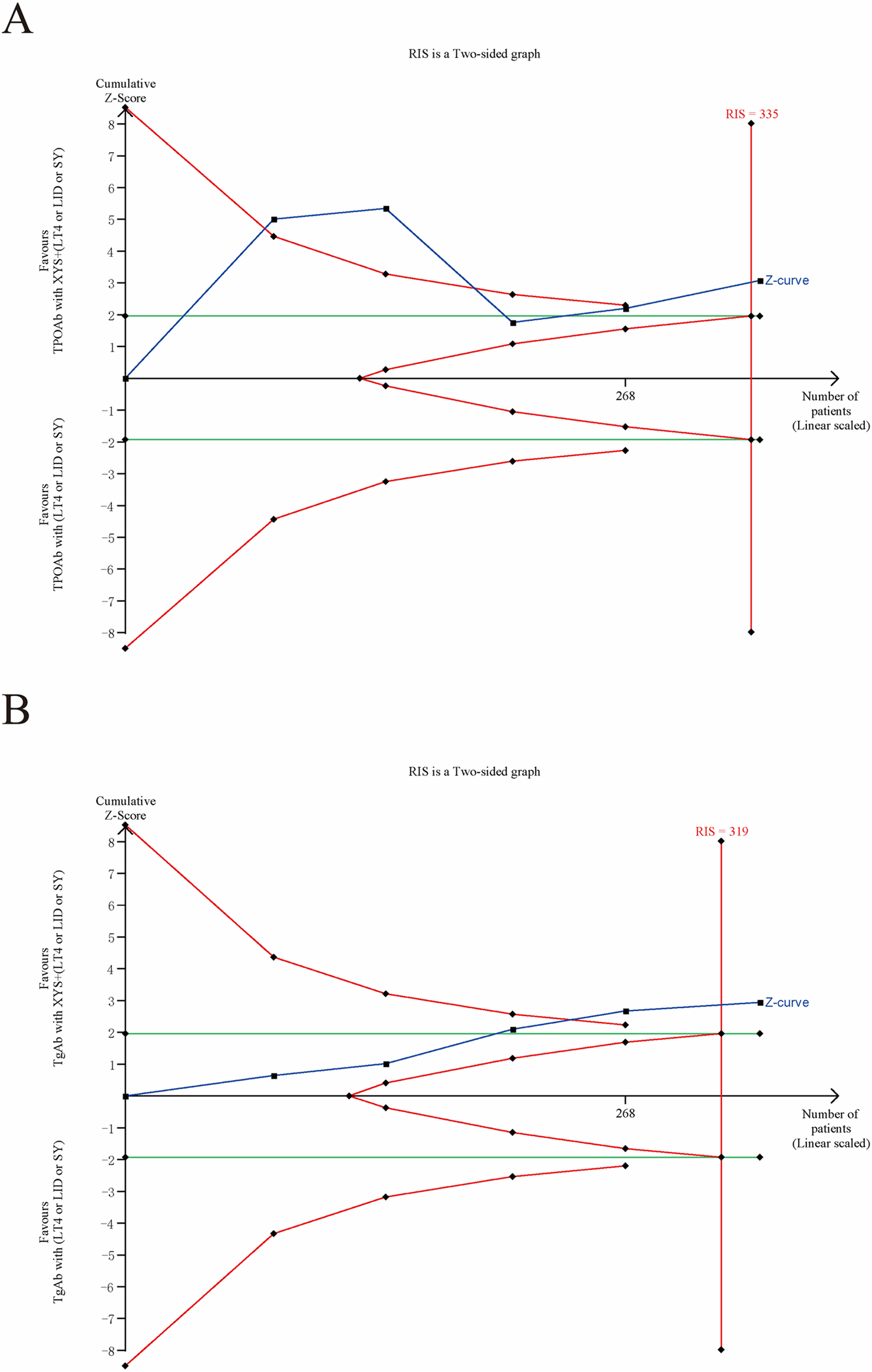
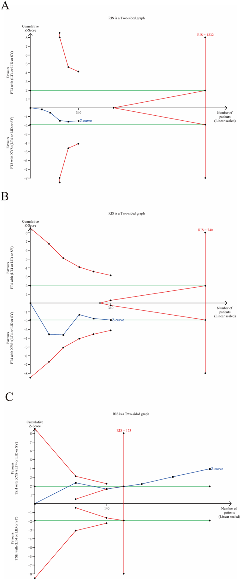
3.5 Trial sequential analysis
The TSA of the primary and secondary outcomes in this study indicated that the efficacy of TPOAb, TgAb, and TSH exceeded the established thresholds for benefit and harm, reaching the required information size (Figure 11). This provides reliable evidence of the treatment’s impact. The cumulative z-curve for FT4 corresponded with alpha-spending and standard testing thresholds, approaching but not reaching the required information size, while the cumulative z-curve for FT3 did not reach the required information size (Figure 12).
FIGURE 11

Trial Sequential Analysis of primary outcomes: (A) TPOAb, (B) TgAb.
FIGURE 12

Trial Sequential Analysis of secondary outcomes: (A) FT3, (B) FT4 and (C) TSH.
3.6 Publication bias assessment
Due to the limited number of trials, which was fewer than 10, Egger’s test was not employed to evaluate publication bias in the meta-analysis. This study conducted a thorough and exhaustive search in both Chinese and English databases to reduce the likelihood of overlooking any tests. However, it is important to note that unpublished studies with negative results may not have been included. Due to the high heterogeneity within the TgAb subgroup (I2 = 55), a further Rosenthal fail-safe number N analysis was conducted on the TgAb results. The analysis indicated that 57 non-significant studies would need to be published to negate the meta-analysis findings (N/5k+10 > 1, N = 57, k = 5). This suggests that the weight of evidence for TgAb appears to be sufficiently robust to accommodate future results (Becker, 2005), and it is unlikely to be altered by publication bias.
3.7 Certainty of evidence
We evaluated the comprehensive evidence for primary and secondary outcomes using the GRADE system. The quality of evidence for all outcomes was rated as low or very low. Due to methodological flaws in the study results and the limited number of studies, the quality of evidence for all outcomes was downgraded by two levels. Additionally, considerable heterogeneity contributed to the downgrade of the quality of evidence for the outcomes. Please refer to Supplementary Table S12 for more information.
4 Discussion
4.1 Summary of evidence
XYS preparations (HHXY, DZXY, and GQXY) combined with LT4 significantly reduced TPOAb and TgAb levels in patients with HT, demonstrating superior efficacy compared to LT4 monotherapy. The combination of XY and LID therapy was beneficial in reducing TPOAb levels. However, the study did not observe a significant effect of XY combined with SY treatment on the recovery of TgAb. Compared to the novel OS preparations, XYSJW showed significantly enhanced efficacy in reducing TgAb levels, making it a potential therapeutic agent for HT patients with elevated TgAb. Treatments with XY, HHXY, GQXY, and DZXY facilitated the recovery of thyroid function in HT patients, primarily by reducing TSH levels, which is beneficial for patients with subclinical hypothyroidism characterized by elevated TSH. The study indicated that XY might be a superior choice for restoring thyroid hormone levels, particularly when combined with SY, which simultaneously aided in the recovery of serum FT3, FT4, and TSH. The combination of XY and LID also facilitated the recovery of serum FT4 and TSH. Interestingly, the combination therapy of the three XYS preparations with LT4 did not significantly increase FT3 and FT4 levels, suggesting that exogenous thyroid hormone supplementation may not be conducive to the natural recovery of thyroid function in HT patients. A noteworthy finding was that XYSJW was less effective in restoring TSH levels in HT patients compared to the OS preparations. Additionally, XYS preparations did not demonstrate significant effects in improving the symptoms of HT patients from the perspective of traditional Chinese medicine, which may be related to the disproportionate male-to-female ratio in the study population compared to the clinical characteristics of HT. HHXY was effective in reducing serum IL-6 levels, while XYSJW did not show significant benefits in reducing IL-6 when compared to the OS preparations.
4.2 Autoantibodies and thyroid function in Hashimoto’s thyroiditis patients
Hashimoto’s thyroiditis (HT) is an autoimmune disease characterized by thyroid-specific damage. The immune response targeting the thyroid gland utilizes thyroid peroxidase (TPO) and thyroglobulin (Tg) as the primary antigens for humoral and cytotoxic reactions (Ehlers and Schott, 2014). The concentrations of TPOAb and TgAb in the bloodstream are crucial to disease progression. Previous studies have indicated that elevated levels of TPOAb and TgAb in patients with HT are associated with a poorer quality of life (Djurovic et al., 2018). Hypothyroidism is a subsequent outcome of thyroid degeneration. The immune response in HT leads to the destruction of normal thyroid cell structure and impairs the stroma surrounding the affected thyroid follicles. In typical HT patients, the stroma is infiltrated by hematopoietic mononuclear cells, including lymphocytes, plasma cells, and macrophages. This group of lymphocytes continuously damages thyroid cells through direct contact (Caturegli et al., 2014). Consequently, hypothyroidism and subclinical hypothyroidism, characterized by elevated TSH levels, are often documented as responses to HT disease and may be associated with more harmful outcomes. Studies have shown that elevated TSH levels are correlated with increased risks of fatal stroke, heart failure, coronary events, and coronary mortality (Rodondi et al., 2010; Gencer et al., 2012; Chaker et al., 2015; Baumgartner et al., 2017). Pregnant women with subclinical hypothyroidism or hypothyroxinemia have an increased risk of premature birth (Korevaar et al., 2019). Additionally, infants born to these mothers have a significant association with reduced IQ, language impairments, or overall developmental abnormalities (Thompson et al., 2018). Research suggests that selenium supplementation and metformin may successfully reduce TPOAb and TgAb levels. However, reliable studies indicate that various treatment methods have drawbacks, including a significantly increased possibility of negative side effects (Wichman et al., 2016; Jia et al., 2020).
Thyroid hormone replacement therapy (THR) is an economically effective treatment for hypothyroidism caused by HT. However, it has specific limitations, including the inability of HT patients to fully restore physical activity (Lankhaar et al., 2021), the risk of overtreatment (Somwaru et al., 2009; Taylor et al., 2014), and the increased likelihood of atrial fibrillation, osteoporosis, and fractures due to overtreatment (Flynn et al., 2010). Therefore, it is imperative to explore innovative methods to reduce autoantibodies and restore thyroid function in patients with Hashimoto’s thyroiditis. The evaluation of this meta-analysis also includes the development of OS preparations. The results of this study indicate that XYS preparations, as adjunctive therapy for HT patients, may reduce TPOAb, TgAb, and TSH levels while potentially increasing FT3 and FT4 levels. Combination therapy with XYS preparations and LT4 may be more beneficial for reducing serum TPOAb and TgAb levels but less favorable for restoring thyroid function. Combination therapy with XY and LID or SY is more adept at restoring thyroid function but weaker in reducing thyroid autoantibodies compared to combination therapy with LT4. Compared to OS, XYSJW enhances the efficacy of reducing TgAb in HT patients but may be less effective in restoring TSH. However, currently, only XYSJW has been compared to OS, and more high-quality randomized controlled studies are needed to confirm these findings.
4.3 Cytokines in Hashimoto’s thyroiditis
The etiology of HT remains ambiguous. Autoreactive lymphocytes or external stimuli may potentially induce the premature demise of thyroid cells. Researchers have identified that the cytokines implicated in this pathway facilitate the advancement of HT. Research indicates that the dysregulation of chemokines and cytokines in the thyroid tissue and peripheral blood of individuals with Hashimoto’s thyroiditis, including pro-inflammatory agents such as interferon-gamma (IFN-g), interferon-alpha (IFN-a), and tumor necrosis factor-alpha (TNF-α), can aggravate thyroid damage and sustain chronic inflammation (Kemp et al., 2003; Domberg et al., 2008; Akeno et al., 2011; Rebuffat et al., 2013; Salzano et al., 2012). Individuals with autoimmune thyroiditis (AIT) and hypothyroidism demonstrate increased concentrations of IFN-γ-dependent chemokines, along with significant lympho-mononuclear cell infiltration, indicating that these chemokines may serve as more reliable indicators of severe thyroid inflammation (Antonelli et al., 2011a; Antonelli et al., 2011b). Research indicates that many cytokines, such as IL-1α, IL-1β, IL-2, IL-4, IL-6, IL-8, IL-10, IL-12, IL-13, IL-14, TNF-α, and IFN-γ, are found in thyroid follicular cells, enhancing the inflammatory response to nitric oxide and prostaglandins (Khan et al., 2015). Additionally, increased concentrations of IFN-γ and IL-2 in hypertensive pregnant women correlate with poorer pregnancy outcomes (Zhong et al., 2023).
The incidence of HT among COVID-19 patients has sparked renewed interest among researchers, as these patients produce an excess of inflammatory cytokines (IL-6, IL-1β, IFN-γ, TNF-α) (Mohammadi et al., 2023). Our meta-analysis uncovered limited but suggestive evidence of XYS preparations modulating cytokines. For instance, HHXY can reduce IL-6 levels, while XYSJW demonstrates a comparable ability to lower IL-6 levels as OS preparations. Results based on real-world studies also indicate that XYSJW can decrease the levels of proinflammatory cytokines IFN-γ, IL-2, and IL-6, while simultaneously increasing the concentration of the anti-inflammatory cytokine IL-10 in the serum of HT patients (Wu, 2023). This aligns with preclinical studies showing that XYS can inhibit IL-6 and TNF-α (Tan et al., 2015; Wan et al., 2020; Fang et al., 2020), DZXY can suppress IL-6 and TNF-α (Zhu et al., 2015), and HHXY can reduce IL-6, TNF-α, and IL-1β (Chen et al., 2024). Animal models further suggest that XYS can restore the Th1/Th2 balance through the upregulation of IL-10 and downregulation of IFN-γ/IL-2, thereby exerting an immunomodulatory effect (Zhang Y. et al., 2021). Regrettably, only two included studies reported IL-6 data, and none measured key cytokines such as TNF-α, IL-1β, or IFN-γ. This gap prevents a definitive conclusion on the immune mechanism of XYS. Existing evidence indicates that different XYS preparations do not significantly exhibit distinct effects on cytokines, possibly due to their shared five main herbal ingredients. However, variations in auxiliary components are bound to lead to differences in active metabolites, which is a worthy area for further exploration. Standardized cytokine analysis, including measurements at multiple time points, is necessary in future trials to capture dynamic immune responses. Integrating transcriptomic or proteomic analyses could further elucidate the specific pathways of the preparations.
4.4 Xiaoyao-san preparations: active metabolites and mechanism of action
4.4.1 Inflammatory mechanisms in autoimmune thyroid disorders
The inflammatory immune response significantly influences the advancement of autoimmune thyroid disorders. Upon activation by inflammatory stimuli, CD4+ T cells, which are significant immune cells, differentiate into many Th cell subtypes, including Th1, Th2, Th17, follicular helper T (Tfh) cells, and regulatory T (Treg) cells. The disparity between Th1/Th2 and Trg17/Treg influences the pathogenesis of thyroid disorders and regulates immune inflammatory responses (Zhang L. et al., 2021). XYSJW may enhance the synthesis of the target protein ADAM17 by suppressing miR-326 expression in the thyroid tissue of rats with experimental autoimmune thyroiditis, hence hindering Th17 cell development and diminishing IL-17 mRNA expression (Li YN. et al., 2023). In clinical studies, XYSJW has demonstrated a significant ability to reduce the levels of IFN-γ, IL-2, and IL-6 while increasing IL-10 levels in patients with Hashimoto’s thyroiditis and chronic lymphocytic thyroiditis, thereby regulating the Th1/Th2 balance (Zhang Y. et al., 2021). This mechanism may underlie the immunomodulatory effects of XYSJW; however, it does not encompass all XYS preparations. This highlights a critical challenge in the research of traditional Chinese medicine: although all formulations share common core herbs (Chaihu, Shaoyao, Baizhu, Danggui and Fuling), variations in auxiliary ingredients and processing methods lead to distinct metabolite profiles.
4.4.2 Core active metabolites in XYS preparations
Pharmacological investigations indicate that ferulic acid, atractylodin III (Geng et al., 2013), paeoniflorin (C23H28O11), glycyrrhizic acid (C21H22O9), glycyrrhizin (C42H62O16), and imperatorin (C12H14O2) (Shi et al., 2019) are the principal bioactive metabolites present in XYS. The HPLC-MS/MS study determined the principal active metabolites of DZXY as geniposide, ginsenoside Rg1, paeoniflorin, glycyrrhizin, saikosaponin a, saikosaponin d, saikosaponin b2, paeonol, and atractyloside III (Zhu et al., 2020; Lin, 2021). Volatile metabolites like menthone, menthol, 2-methoxy-4-vinylphenol, n-butylphenylpeptide, atractylodes, and costunolide have been recognized as possible active metabolites of HHXY (Huang et al., 2023). The chemical components mentioned above primarily originate from the herbal medicines commonly found in XYS preparations. Considering the addition of auxiliary components, in the in vitro component study of HHXY, 17 chemical components from Honghua and nine chemical components from Zaojiaoci were identified (Chen et al., 2024). Among the blood components of DZXY, six chemical components derived from Zhizi and one from Mudanpi were also discovered (Li M. et al., 2023).
4.4.3 Mechanistic insights from metabolomics and proteomics
Moreover, metabolomics research indicates that XYS may mitigate liver damage by neutralizing free radicals, diminishing lipid peroxidation, and restoring metabolic pathways, including amino acid metabolism, the tricarboxylic acid cycle, and the urea cycle (Zhang et al., 2014). DZXY may augment excitability and demonstrate antidepressant effects by modulating several metabolic pathways, including phenylalanine, arachidonic acid, porphyrin, d-arginine, d-ornithine metabolism, steroid hormone biosynthesis, unsaturated fatty acid biosynthesis, and steroid biosynthesis (Chen, 2019). Proteomic analyses demonstrate that DZXY modulates the β-arr2-mediated signaling cascade by enhancing β-arr2 expression, hence contributing to the prevention and management of polycystic ovarian syndrome (Zhang et al., 2013). Both XYS and DZXY can exert their effects by modulating amino acid metabolism and lipid metabolism-related pathways. However, based on XYS’s regulation of amino acid metabolism, DZXY extends its regulatory scope to include aromatic amino acids (phenylalanine) and precursors of steroid hormones. This expansion potentially explains its functional evolution from basic metabolism towards neuroendocrine regulation. DZXY’s unique ability to regulate β-arr2 (Zhang et al., 2013) suggests that it may achieve multi-system regulation through GPCR signal reprogramming, a level of protein regulation that has not been reported in XYS research. In addition to restoring basic metabolic cycles (such as the TCA cycle and urea cycle), XYS also possesses the ability to neutralize free radicals, exerting a direct antioxidant effect that may benefit the treatment of organic metabolic injuries (such as chemical liver damage). Due to its dual functions in metabolic regulation and signal transduction modulation, DZXY may have advantages in the treatment of psychosomatic comorbidities (such as metabolic abnormalities concomitant with depression). However, the existing fingerprint evidence cannot cover all XYS preparations, and there is a lack of omics evidence related to the immunomodulatory effects of treating HT. Therefore, it is practically meaningful to continue exploring the mechanisms through which the common and specific components of XYS preparations may play a role in the treatment of HT.
4.4.4 Mechanistic studies on shared active metabolites
We have observed that there are significantly more mechanistic studies on the monomeric active metabolites shared among different XYS preparations for the treatment of HT than there are on compound formulations.
Total glucosides of paeony (TGP) can regulate the expression of SOCS1 in rats with autoimmune thyroiditis, enhance the expression of JAK1, JAK2, STAT3, and STAT5, thereby affecting the JAK/STAT signaling pathway. This inhibits excessive inflammatory responses, reduces the levels of TGAb and TPOAb in rat serum, and alleviates inflammatory damage to thyroid tissue (Yu et al., 2023). Simultaneously, TGP can regulate the composition and species of intestinal microbiota in AIT rats, enhance the integrity of the intestinal mucosal barrier, perform intestinal-immune axis regulation (Mu et al., 2021), reduce the expression of Fas and FasL in rat thyroid tissue (inhibiting apoptosis), and regulate the immunological balance of Treg/Th17 (Tong, 2018; Tong et al., 2019; Mu, 2018). This may be achieved by promoting the differentiation of Treg cells and increasing the proportion of CD4+ CD25+ Foxp3+ Treg cells (Yu et al., 2017).
The active ingredient of Chaihu, saikosaponin-D, can regulate the imbalance of M1/M2 (promoting M2 macrophage polarization) in the spleen of mice with Hashimoto’s thyroiditis. It inhibits the expression of Th1-type cytokine IFN-γ and local Th17-type cytokine IL-17, corrects the imbalance of Th1/Th2 and Th17/Treg, and reduces the severity of Hashimoto’s thyroiditis in mice (Du et al., 2022). Saikosaponin-A can significantly reduce the levels of TgAb, TPOAb, TSH, and T3 in the blood of AIT rats, as well as the protein concentration of TNF-α and IL-6 in thyroid tissue. It inhibits the NLRP3 inflammasome, reduces the expression of NLRP3, ASC, and Cleaved-Caspase-1, and blocks the mature release of IL-1β (Pan et al., 2022). The flavonoid compound quercetin in Bupleurum can enhance the AP-1 activity of rat thyroid follicular epithelial cells (FRTL-5 cells) in vitro (Giuliani, 2019), possibly reducing oxidative damage through antioxidant mechanisms, thereby playing a protective role in thyroid tissue. In vivo, it can significantly reduce the absorption of radioactive iodine by Sprague-Dawley rats (Giuliani et al., 2014).
Ferulic acid, a biologically active component of Dangui, exerts a regulatory effect on propylthiouracil-induced hypothyroidism in rats by reducing IL-6 levels, inhibiting inflammatory cascade reactions, improving thyroid function (increasing T3 and T4 while decreasing TSH), and modulating lipid metabolism (levels of total cholesterol, triglycerides, high-density lipoprotein/low-density lipoprotein). Simultaneously, ferulic acid has been found to lower aspartate aminotransferase (AST), alanine aminotransferase (ALT), uric acid, and creatinine levels, demonstrating its ability to improve liver and kidney function as well as metabolic disorders (Rongala S et al., 2024).
On the other hand, Beta-elemene, an active ingredient in Baizhu, exhibits antitumor and immune microenvironment-modulating properties. It enhances the cleaved expression of Caspase-9, reduces the production of bcl-2, induces tumor cell apoptosis, and decreases the expression of vascular endothelial growth factor to reduce tumor angiogenesis. Beta-elemene significantly inhibits the proliferation of DTC (differentiated thyroid cancer) cells, lowers OCR, ECAR, maximal glycolytic capacity, maximal respiratory capacity, and ATP production, restricts the invasive capacity of DTC cells, indirectly suppresses the immunosuppressive microenvironment, and reduces immune evasion (Zhao et al., 2020).
The water-soluble polysaccharide from Poria cocos (PCP) has demonstrated significant effects in reducing the levels of proinflammatory cytokines such as TNF-α, IL-1β, IL-6, and IL-8 in animal models of prostatic inflammation. It also inhibits the expression of nitric oxide synthase (iNOS) and malondialdehyde (MDA), thereby mitigating oxidative stress damage and protecting the rat prostate from oxidative-inflammatory cascade disruption (Liu et al., 2020). Interestingly, in vitro experiments using macrophages (RAW264.7) have shown that PCP-2, a component of Poria cocos polysaccharides, activates innate immunity via the TLR4/MyD88/NF-κB pathway, promoting the secretion of NO, TNF-α, IL-6, and IL-17A, and enhancing immune surveillance function. In an immunosuppression model induced by cyclophosphamide, PCP-2 supports the recovery of systemic immune homeostasis by enhancing humoral immunity (increasing serum IgG, IgA, and IgM levels), regulating adaptive immunity (increasing the proportion of CD3+ CD4+ T cells), and promoting thymic/spleen development (Lv et al., 2024). Current research indicates that PCP possesses a multi-target immunomodulatory mechanism and contradictory bidirectional immunomodulatory properties. However, the direction and specific role of its dynamic regulation in the treatment of HT remain unclear.
4.4.5 Specific components and mechanisms in different XYS preparations
In addition to shared components, various XYS preparations contain specific ingredients optimized for treating other symptoms that patients may experience. Under the guidance of traditional Chinese medicine theory, HHXY is effective for HT patients with thyroid nodules, DZXY is more suitable for HT patients with transient hypermetabolism and psychiatric symptoms, GQXY is beneficial for HT patients with hypometabolism and psychiatric symptoms, and XYSJW is adept at treating HT patients with thyroid enlargement. Due to a lack of evidence, this study was unable to verify differences in these concomitant symptoms, and fingerprint or omics methods were not feasible. Therefore, we attempt to explain such differences by reviewing representative specific active ingredients in different XYS preparations.
4.4.5.1 DZXY-specific components
Mudanpi is a key specific component in DZXY, and its active ingredient, paeonol (PAE), has been proven to promote the Th17/Treg balance in AIT rats by inhibiting the HMGB1/RAGE pathway, thereby protecting against pathological damage in autoimmune thyroid rats (Zhang et al., 2025). Zhizi is another specific herbal ingredient in DZXY. Its main components, geniposide and crocin, can reduce levels of proinflammatory factors (TNF-α, IL-1β, IL-6, IL-18) and alleviate inflammatory damage by inhibiting the NF-κB pathway and NLRP3 inflammasome (Bu and Fan, 2019; Tang and Shen, 2019; Sun et al., 2019; Zhang L. et al., 2021). Simultaneously, geniposide activates the AMPK pathway, inhibits hepatic gluconeogenesis (via FOXO1), lowers blood glucose levels, and regulates energy metabolism pathways to improve abnormal metabolic hyperactivity (Guo et al., 2016; Yang et al., 2018). Furthermore, the iridoid glycosides in Gardenia jasminoides enhance synaptic plasticity by regulating the AMPAR-mTOR pathway, promote hippocampal neuron regeneration, downregulate excessive activation of the glutamate receptor (GluA1), reduce neuronal excitability toxicity, protect nerve function, and thereby improve depressive symptoms (Xiao et al., 2018).
4.4.5.2 HHXY-specific components
Honghua is the primary specific plant component of HHXY, and its main active ingredient, hydroxyl safflor yellow A (HSYA), significantly reduces TNF-α and IL-17 levels in experimental autoimmune hepatitis mouse models (Peng et al., 2024), thereby alleviating autoimmune attacks. In animal models of alcoholic liver disease, HSYA regulates the STAT3/NF-κB signaling pathway, inhibits inflammatory cascade reactions, reduces lymphocyte infiltration and inflammatory damage, activates the Keap1/Nrf2 pathway, and reduces oxidative damage (Wang et al., 2024). Additionally, safflower extracts (including HSYA, HSYB, etc.) can inhibit the proliferation pathway (p38 MAPK), reducing cancer cell proliferation (Zhang et al., 2019). They also downregulate the expression of VEGF and MMP-9 (Kaçaroğlu et al., 2023; Chen et al., 2020), inhibiting angiogenesis and tumor metastasis. By inhibiting the PD-1/PD-L1 axis and chemokine secretion (Ji et al., 2024), these extracts restore CD8+T cell function and enhance immune surveillance, thereby modulating the tumor microenvironment. Activation of Caspase-3/9 and upregulation of the Bax/Bcl-2 ratio (Wang et al., 2022) promote mitochondrial-dependent cancer cell apoptosis. Finally, inhibition of the HIF-1α/SLC7A11 pathway (Zhu et al., 2024) blocks the Warburg effect and iron metabolism imbalance, inducing ferroptosis in cancer cells.
Zaojiaoci is another specific herbal component in HHXY. Studies have demonstrated that the water extract of Gleditsia Spina significantly reduces the production of inflammatory cytokines such as TNF-α, IL-1β, and IL-6, and inhibits their mRNA expression (Li et al., 2016). Relevant mechanistic studies have shown that it indirectly alleviates inflammatory responses by blocking the STAT3/STAT6 signaling pathway and reducing the generation of IL-4/IL-13-induced mucin protein MUC5AC (Jung et al., 2023). Simultaneously, evidence suggests that the water extract of Gleditsia Spina can significantly inhibit tumor size in prostate cancer (PC-3 cell xenografts) (Ryu et al., 2016), block the AGE-RAGE signaling pathway, and induce apoptosis in pancreatic cancer cells (Duan et al., 2023). The ethanol extract of Gleditsia Spina exhibits inhibitory effects on breast cancer (MCF7) and gastric cancer (SNU-5) cell lines (Yu et al., 2019; Lee et al., 2013). In animal experiments, it can induce cancer cell apoptosis and significantly protect the liver morphology in rat hepatocellular carcinoma (Cai et al., 2019). Among them, the monomeric compounds p-hydroxyl cinnamicaldehyde, trans-coniferyl aldehyde, and sinapaldehyde may be the main components inhibiting the growth of hepatoma cell line (SK-hep1) (Yu et al., 2015). Due to the specific efficacy of Honghua and Zaojiaoci, HHXY is also commonly used in the treatment of various cancers.
4.4.5.3 GQXY-specific components
Huangqi is the main specific ingredient of GQXY. Its active component, Astragalus polysaccharides (APS), significantly reduces the levels of serum proinflammatory cytokines IL-6, IL-12, and IL-17, while enhancing the expression of anti-inflammatory cytokines IL-10 and TGF-β1. This helps to inhibit thyroid lymphocyte infiltration and alleviate pathological damage in autoimmune thyroiditis (AIT) (Qiu et al., 2024). Astragaloside IV, on the other hand, can suppress the NLRP3 inflammasome and Caspase-1 pathway, reducing the release of inflammatory cytokines and mitigating the occurrence of chronic inflammation (Yuan et al., 2022). Furthermore, APS can activate the AMPK/mTOR pathway, enhancing insulin sensitivity, improving glucose and lipid metabolism, and relieving symptoms of hypometabolism (Ye et al., 2022).
Roucongrong is another specific component of GQXY, whose active ingredient, Cistanche deserticola polysaccharide, reduces inflammatory responses by inhibiting the release of proinflammatory factors such as IL-6 and TNF-α from macrophages, while simultaneously promoting the proliferation of macrophages (RAW264.7) and enhancing immune regulatory capabilities (Ailadan et al., 2021). Additionally, echinacoside decreases the release of neuroinflammatory factors by inhibiting the NLRP3/Caspase-1/IL-1β pathway (Gao et al., 2020). Both Cistanche deserticola polysaccharide and total glycosides upregulate the expression of synapsin, growth-associated protein 43 (GAP43), PSD-95, and BDNF, enhancing synaptic plasticity in the hippocampal region and improving learning and memory impairments (Yin et al., 2014; Xing et al., 2019; Liu et al., 2022). Together, these components exert neuroprotective effects, enhance synaptic plasticity, and alleviate psychiatric symptoms. As such, Cistanche deserticola has also been proven effective in ameliorating symptoms associated with neurodegenerative diseases, such as AD (Qiu and Liu, 2022) and PD (Gao et al., 2020).
4.4.5.4 XYSJW-specific components
Kunbu and Haizao are specific auxiliary components in XYSJW, and these two traditional Chinese medicines have a history of treating goiter that can be traced back to the Ming Dynasty’s specialized book on surgical medicine, “Wai Ke Zheng Zong.” Components in kunbu, such as squalene, δ-tocopherol, and phytol, alleviate inflammatory responses by inhibiting the release of proinflammatory factors like NO, PGE2, IL-6, IL-1β, and TNF-α from LPS-induced RAW264.7 macrophages (Shao, 2024). Kombu polysaccharide (LJP61A) suppresses macrophage foam cell formation and reduces the release of inflammatory mediators by regulating lipid metabolism and inflammatory signaling pathways (Li Q. M. et al., 2018). Additionally, various kombu polysaccharide components, including fucoidan, WPS-two to one, and others, exhibit inhibitory effects on abnormal cell proliferation (Peng et al., 2013; Teruya et al., 2019; Niyonizigiye et al., 2019; Lu et al., 2018; Xue et al., 2018).
Trehalose, a component found in haizao, can activate the nuclear translocation of Transcription Factor EB (TFEB) by slightly increasing lysosomal pH. This process promotes autophagosome biogenesis and facilitates the clearance of damaged organelles and inflammatory mediators (Jeong et al., 2021). In a model of viral myocarditis, trehalose was observed to induce autophagy in B-cells through the AMPK/ULK1 signaling pathway, thereby reducing inflammatory damage (Wei et al., 2023). Additionally, trehalose promotes the polarization of macrophages towards the anti-inflammatory M2 phenotype through energy metabolism reprogramming, restoring immune homeostasis (Yu et al., 2023). Furthermore, in a model of silicosis, trehalose alleviated lysosomal dysfunction and reduced tissue structural damage by activating the TFEB-mediated autophagy-lysosome system (He et al., 2016; Tan et al., 2015).
Presently, numerous papers examine the active metabolites of individual formulations; however, there is a deficiency in research about the synergistic effects between each botanical drug metabolite in XYS preparations. Assessing whether these botanical drug metabolites exhibit identical mechanisms of anti-immunoinflammatory effects as evidenced by their combined application is challenging. The investigation on the inconsistencies of active metabolites among various XYS preparations is insufficient. Omics research primarily concentrates on specific dose forms; however, there is a significant deficiency of papers regarding the treatment of thyroid disorders with XYS preparations. This domain warrants additional scrutiny.
4.5 Strengths and limitations
This study represents a preliminary evaluation and meta-analysis of the efficacy of XYS preparations in the treatment of Hashimoto’s thyroiditis. We conducted a comprehensive search across eight databases to ensure the inclusion of all relevant randomized controlled trials (RCTs). A comprehensive report detailing our methodology has been provided to enable others to reproduce our results. We evaluated thyroid function (FT3, FT4, and TSH) and thyroid autoantibodies (TPOAb and TgAb) in patients with Hashimoto’s thyroiditis. This may offer a unique alternative treatment option for patients diagnosed with HT, regardless of their hypothyroid status, particularly for those with elevated TSH levels. Additionally, we examined the effects of XYS preparations on cytokines. We summarized and analyzed the potential pharmacological effects of XYS on HT and its associated inflammatory markers. This study aims to provide new and effective treatment options for HT through traditional Chinese medicine.
However, our study is subject to several specific limitations. Initially, language constraints of the researchers limited our search to Chinese and English databases. All studies included in the analysis were conducted in China and published in Chinese. Therefore, the findings cannot be extrapolated to the global population. Secondly, it must be emphasized that all studies included in this analysis have limited sample sizes, with participant numbers ranging from a minimum of 60 to a maximum of 162 in single-center randomized controlled trials. Only one study elucidated the criteria for determining the sample size (Li YN., 2021). The methodological rigor of the publications included in the study is somewhat lacking. Only one trial employed a double-blind strategy, and none of the studies adequately disclosed trial registration, conflicts of interest, or other relevant information. The internal validity of the study results may be influenced by potential biases and confounding variables related to participant selection. Due to the limited number of studies included in the meta-analysis (only seven studies), the use of Egger’s test to evaluate publication bias was not feasible, and the fail-safe number N could only serve as an auxiliary analysis, thus complicating the identification of publication bias. TSA was used to evaluate the effectiveness of primary and secondary outcomes. However, it does not acknowledge the scientific rigor deficiencies of the experiments and does not address errors that may arise from reporting biases.
Three trials aimed at identifying adverse events failed to assess the safety of the XYS preparations. The duration of medication administration in this trial ranged from 12 to 24 weeks. Without long-term post-treatment monitoring, it will be impossible to determine whether the XYS preparations have a lasting impact on HT after discontinuation. In numerous RCTs, XYS preparations, as part of combination therapy, have demonstrated a significant reduction in the incidence of adverse reactions. The “Clinical Application Guidelines for Chinese Patent Medicines in the Treatment of Depressive Disorders,” published in 2022, recommends the use of XY in combination with antidepressants (such as venlafaxine and paroxetine) for the treatment of mild to moderate depressive disorders to improve depressive and anxiety symptoms (recommendation evidence level: 1C) (Standardization Project Team, 2023). For patients with depressive disorders, compared to antidepressants alone, the combination of XY and antidepressants can reduce adverse reactions in the central and peripheral nervous systems (including dizziness, headache, insomnia, and lethargy) as well as the sympathetic/parasympathetic nervous system (including dry mouth and excessive sweating). However, this does not aid in evaluating the adverse reactions caused by the use of XYS preparations alone. No adverse reactions were reported in this study, leading to an extended discussion. We found that in the treatment of hyperplasia of mammary glands (HMG), HHXY has a lower incidence of adverse reactions compared to tamoxifen. It is recommended by the standardized project team of the “Clinical Application Guidelines for Chinese Patent Medicines in the Treatment of Dominant Diseases” and included in the “Guidelines for the Application of Chinese Patent Medicines in the Treatment of Hyperplasia of Mammary Glands (2021)” as “Level C” evidence. The adverse reactions mainly involve gastrointestinal discomfort and increased menstrual flow (Standardization Project Team, 2022). XY is also recommended by the guidelines as “Level D″ evidence, and no authoritative reports of adverse reactions have been found in expert consensus opinions. However, we discovered three case reports of adverse reactions caused by XY. All patients were female and took XY for gynecological diseases, gastrointestinal discomfort, and gastrointestinal discomfort after a cold. After taking XY, they experienced reactions such as dizziness, nausea, vomiting, palpitations, profuse sweating, and elevated blood pressure. No abnormalities were found during hospital visits and examinations, and they recovered after anti-allergic treatment (Li and Zhu, 2000). From the perspective of traditional Chinese medicine, these three patients may have experienced adverse reactions due to medication inconsistency and individual physical differences. Therefore, despite the preliminary safety data of XYS preparations in the treatment of HT being favorable, existing studies have not incorporated an active reporting mechanism for adverse events, and the follow-up period has been relatively short. Systematic long-term evaluation is still needed to support clinical promotion. It must be acknowledged that only two studies evaluated cytokines (such as IL-6), which limited our ability to delve deeper into the immune mechanism. There was significant heterogeneity among XYS preparations, and the limited number of included studies precluded more meaningful subgroup analyses. Therefore, caution is advised when evaluating the outcomes derived from these meta-analyses.
4.6 Implications
Since its discovery by Japanese researchers, Hashimoto’s thyroiditis (HT) has remained a significant therapeutic challenge in thyroid diseases. The primary clinical approaches to managing hypothyroidism include adhering to a low-iodine diet and using levothyroxine (LT4) replacement therapy. Additionally, selenium supplementation has recently emerged as a potentially beneficial strategy. However, these methods have limitations in treatment efficacy and may be associated with certain side effects. Prolonged LT4 replacement therapy may lead to persistent cognitive impairment and decreased overall wellbeing in HT patients (Djurovic et al., 2018). Furthermore, selenium supplementation might increase the incidence of adverse reactions (Korevaar et al., 2019).
Our comprehensive survey and meta-analysis indicate that compared to a low-iodine diet, selenium supplementation, and LT4 replacement therapy, the concomitant administration of XYS preparations can more effectively reduce TPOAb and TgAb levels in individuals with HT. When compared to the novel OS preparation, XYS maintains its efficacy in lowering TgAb levels in patients with Hashimoto’s thyroiditis. Apart from the comparison with OS, all treatment regimens using XYS preparations significantly reduced blood TSH levels. The results of this study suggest that XYS preparations have a certain restorative effect on thyroid function in patients with Hashimoto’s thyroiditis. The TSA results demonstrate that XYS preparations can significantly reduce TPOAb, TgAb, and TSH, providing strong evidence for its efficacy. This can serve as a reference for treatment plans; however, clinicians must exercise caution based on the specific conditions of the patients, considering the low methodological quality of the studies, insufficient internal validity of the data, and unclear safety impacts. Follow-up studies should employ randomized and double-blind methods to confirm these findings. The structure of the randomized controlled trial (RCT) must align with the CONSORT guidelines (Schulz et al., 2010). Furthermore, further research is needed to investigate the effects of XYS preparations on FT3, FT4, and cytokines and to increase the sample size to evaluate adverse reactions. Analyzing differences in botanical drug metabolites is crucial for future pharmacological process research.
5 Conclusion
Recent studies have suggested that the combination of XYS preparations and LT4 in the treatment of HT may be beneficial in reducing TPOAb, TgAb, and TSH levels, while XY combined with LID or SY therapy is more adept at restoring thyroid function in HT patients. XYSJW has demonstrated greater efficacy compared to OS preparations in addressing elevated TgAb levels. However, the benefits of XYSJW in restoring thyroid hormone levels in HT patients may not exceed those of OS preparations. It is important to note that our analysis is constrained by the limited number of included studies and their methodological quality. To further validate the findings of this study, it is necessary to conduct large-sample, multi-center, high-quality RCT research.
Statements
Data availability statement
The original contributions presented in the study are included in the article/Supplementary Material, further inquiries can be directed to the corresponding author.
Author contributions
CW: Conceptualization, Data curation, Formal Analysis, Investigation, Methodology, Project administration, Software, Supervision, Validation, Visualization, Writing – original draft, Writing – review and editing. WM: Conceptualization, Data curation, Formal Analysis, Investigation, Methodology, Project administration, Software, Supervision, Validation, Writing – review and editing. LQ: Data curation, Formal Analysis, Funding acquisition, Investigation, Resources, Validation, Writing – review and editing. LW: Data curation, Formal Analysis, Funding acquisition, Investigation, Methodology, Project administration, Resources, Supervision, Validation, Writing – review and editing. TL: Formal Analysis, Funding acquisition, Investigation, Methodology, Project administration, Resources, Supervision, Writing – review and editing.
Funding
The author(s) declare that financial support was received for the research and/or publication of this article. This study was funded by the Key Laboratory of Health Cultivation of Traditional Chinese Medicine, the Ministry of Education, Beijing University of Chinese Medicine and the Beijing Key Laboratory of Health Cultivation of Traditional Chinese Medicine, Beijing University of Chinese Medicine (Grant Number: Nos 201212, BZ0259); National Natural Science Foundation of China (Grant No. 82305182); China Postdoctoral Science Foundation (Grant Number: 2023M740347).
Acknowledgments
We express our gratitude to all the lead study authors who participated in this systematic review.
Conflict of interest
The authors declare that the research was conducted in the absence of any commercial or financial relationships that could be construed as a potential conflict of interest.
Generative AI statement
The author(s) declare that no Generative AI was used in the creation of this manuscript.
Publisher’s note
All claims expressed in this article are solely those of the authors and do not necessarily represent those of their affiliated organizations, or those of the publisher, the editors and the reviewers. Any product that may be evaluated in this article, or claim that may be made by its manufacturer, is not guaranteed or endorsed by the publisher.
Supplementary material
The Supplementary Material for this article can be found online at: https://www.frontiersin.org/articles/10.3389/fphar.2025.1528506/full#supplementary-material
References
1
Akeno N. Smith E. P. Stefan M. Huber A. K. Zhang W. Keddache M. et al (2011). IFN-α mediates the development of autoimmunity both by direct tissue toxicity and through immune cell recruitment mechanisms. J. Immunol.186 (8), 4693–4706. 10.4049/jimmunol.1002631
2
Antonelli A. Ferrari S. M. Frascerra S. Di Domenicantonio A. Nicolini A. Ferrari P. et al (2011b). Increase of circulating CXCL9 and CXCL11 associated with euthyroid or subclinically hypothyroid autoimmune thyroiditis. J. Clin. Endocrinol. Metab.96 (6), 1859–1863. 10.1210/jc.2010-2905
3
Antonelli A. Ferrari S. M. Frascerra S. Galetta F. Franzoni F. Corrado A. et al (2011a). Circulating chemokine (CXC motif) ligand (CXCL)9 is increased in aggressive chronic autoimmune thyroiditis, in association with CXCL10. Cytokine55 (2), 288–293. 10.1016/j.cyto.2011.04.022
4
Atkins D. Best D. Briss P. A. Eccles M. Falck-Ytter Y. Flottorp S. et al (2004). Grading quality of evidence and strength of recommendations. BMJ328 (7454), 1490. 10.1136/bmj.328.7454.1490
5
Ailadan M. Li Y. Yao J. Yuan J. (2021). Isolation and immune activity study of polysaccharide water extract from Cistanche tubulosa. China Pharm.32 (12), 1479–1484.
6
Bai L. Wang G. Yang Y. (2019). Clinical study on the treatment of postoperative thyroid tumour by adding and subtracting XYS combined with Haizao Yuhu Tang. Chin. Med. Her.25 (22), 66–69. 10.13862/j.cnki.cn43-1446/r.2019.22.020
7
Baumgartner C. da Costa B. R. Collet T. H. Feller M. Floriani C. Bauer D. C. et al (2017). Thyroid function within the normal range, subclinical hypothyroidism, and the risk of atrial fibrillation. Circulation136 (22), 2100–2116. 10.1161/CIRCULATIONAHA.117.028753
8
Becker B. J. (2005). “The failsafe N or file-drawer number,” in Publication bias in meta-analysis: prevention, assessment and adjustments. Editors RothsteinH. R.SuttonA. J.BorensteinM. (John Wiley and Sons), 111–126.
9
Booi H. N. Lee M. K. Fung S. Y. Ng S. T. Tan C. S. Lim K. H. et al (2022). Medicinal mushrooms and their use to strengthen respiratory Health during and post-COVID-19 pandemic. Int. J. Med. mushrooms24 (10), 1–14. 10.1615/IntJMedMushrooms.2022045068
10
Brok J. Thorlund K. Gluud C. Wetterslev J. (2008). Trial sequential analysis reveals insufficient information size and potentially false positive results in many meta-analyses. J. Clin. Epidemiol.61 (8), 763–769. 10.1016/j.jclinepi.2007.10.007
11
Bu N. Fan Y. (2019). Therapeutic effect of geniposide on ulcerative colitis model rats and its mechanism. Shanghai Med. J.42 (11), 662–668. 10.19842/j.cnki.issn.0253-9934.2019.11.005
12
Cai Y. Zhang C. Zhan L. Cheng L. Lu D. Wang X. et al (2019). Anticancer effects of Gleditsia sinensis extract in rats transplanted with hepatocellular carcinoma cells. Oncol. Res.27 (8), 889–899. 10.3727/096504018X15482423944678
13
Caturegli P. De Remigis A. Rose N. R. (2014). Hashimoto thyroiditis: clinical and diagnostic criteria. Autoimmun. Rev.13 (4-5), 391–397. 10.1016/j.autrev.2014.01.007
14
Chaker L. Baumgartner C. Blum M. R. Collet T. H. et al (2015). Subclinical hypothyroidism and the risk of stroke events and fatal stroke: an individual participant data analysis. J. Clin. Endocrinol. Metab.100 (6), 2181–2191. 10.1210/jc.2015-1438
15
Chaker L. Baumgartner C. den Elzen W. P. Ikram M. A. Blum M. R. Collet T. H. et al (2012). Subclinical thyroid dysfunction and the risk of heart failure events: an individual participant data analysis from 6 prospective cohorts. Circulation126 (9), 1040–1049. 10.1161/CIRCULATIONAHA.112.096024
16
Chang C. C. Wu S. Y. Lai Y. R. Hung Y. C. Hsu C. Y. Chen H. J. et al (2022). The utilization of Chinese herbal products for hyperthyroidism in national Health insurance system (nhird) of taiwan: a population-based study. Evidence-based complementary Altern. Med. eCAM2022, 5500604. 10.1155/2022/5500604
17
Chen K. Chen W. Liu X. Lin N. Zhang Y. (2024). Chemical profile identification of Honghua Xiaoyao Tablets and its efficacy connotation analysis in intervening premenstrual syndrome “disease-syndrome-symptom-prescription” association. Pharm. J.59 (05), 1245–1260. 10.16438/j.0513-4870.2023-1310
18
Chen K. L. (2019). Antidepressant metabolomics study of DZXY and its effect on venlafaxine metabolism. Luoyang, China: Henan University of Science and Technology.
19
Chen M. Ke G. Niu H. (2021). Clinical efficacy analysis on Hashimoto's thyroiditis with selenium supplementation therapy. J. Logist. - U. PAP (Med. Sci.)30 (06), 82–83+86. 10.16548/j.2095-3720.2021.06.010
20
Chen X. Wang Y. Zhang L. Gao Y. (2020). Hydroxysafflor yellow A of carthamus tinctorius L., represses the malignant development of esophageal cancer cells via regulating NF-κB signaling pathway. Cell Biochem. biophysics78 (4), 511–520. 10.1007/s12013-020-00934-1
21
Cheng J. (2021). Evaluation study on the emotional status of hypothyroidism patients with Hashimoto's thyroiditis and the efficacy of the intervention of Guiqi Yuqi Combination. Hefei, China: Anhui University of Traditional Chinese Medicine. 10.26922/d.cnki.ganzc.2021.000110
22
Chinese Pharmacopoeia Commission (2020). Chinese Pharmacopoeia, 1461. Beijing: China Medical Science Press.
23
Djurovic M. Pereira A. M. Smit J. W. A. Vasovic O. Damjanovic S. Jemuovic Z. et al (2018). Cognitive functioning and quality of life in patients with Hashimoto thyroiditis on long-term levothyroxine replacement. Endocrine62 (1), 136–143. 10.1007/s12020-018-1649-6
24
Domberg J. Liu C. Papewalis C. Pfleger C. Xu K. Willenberg H. S. et al (2008). Circulating chemokines in patients with autoimmune thyroid diseases. Horm. Metab. Res.40 (6), 416–421. 10.1055/s-2008-1073151
25
Du H. G. Ming L. Chen S. J. Li C. D. (2014). Xiaoyao pill for treatment of functional dyspepsia in perimenopausal women with depression. World J. Gastroenterol.20 (44), 16739–16744. 10.3748/wjg.v20.i44.16739
26
Du J. Bing L. Xie Y. Yu W. (2020). Observations on the efficacy of XKC combined with DZXY granules combined with western medicines in the treatment of Hashimoto's thyroiditis with hypothyroidism. Beijing Tradit. Chin. Med. 39(07):738–741.
27
Du P. Xu J. Jiang Y. Zhao J. Gao C. Fang Y. et al (2022). Saikosaponin-d attenuates hashimoto's thyroiditis by regulating macrophage polarization. J. Immunol. Res.2022, 7455494. 10.1155/2022/7455494
28
Duan H. Zhang R. Yuan L. Liu Y. Asikaer A. Liu Y. et al (2023). Exploring the therapeutic mechanisms of Gleditsiae Spina acting on pancreatic cancer via network pharmacology, molecular docking and molecular dynamics simulation. RSC Adv.13 (20), 13971–13984. 10.1039/d3ra01761c
29
Ehlers M. Schott M. (2014). Hashimoto's thyroiditis and papillary thyroid cancer: are they immunologically linked?Trends Endocrinol. Metab.25 (12), 656–664. 10.1016/j.tem.2014.09.001
30
Fang Y. Shi B. Liu X. Luo J. Rao Z. Liu R. et al (2020). Xiaoyao pills attenuate inflammation and nerve injury induced by lipopolysaccharide in hippocampal neurons in vitro. Neural Plast.2020, 8841332. 10.1155/2020/8841332
31
Feldt-Rasmussen U. (2020). Hashimoto's thyroiditis as a risk factor for thyroid cancer. Curr. Opin. Endocrinol. Diabetes Obes.27 (5), 364–371. 10.1097/MED.0000000000000570
32
Flynn R. W. Bonellie S. R. Jung R. T. MacDonald T. M. Morris A. D. Leese G. P. (2010). Serum thyroid-stimulating hormone concentration and morbidity from cardiovascular disease and fractures in patients on long-term thyroxine therapy. J. Clin. Endocrinol. Metab.95 (1), 186–193. 10.1210/jc.2009-1625
33
Gai L. Ning R. Zhang Q. Li S. Bai J. (2023). Clinical observation on the treatment of Hashimoto's thyroiditis with nodules by Safflower Easy Tablet. Chin. Med. J.29 (02), 91–95. 10.13862/j.cn43-1446/r.2023.02.019
34
Gao M. R. Wang M. Jia Y. Y. Tian D. D. Liu A. Wang W. J. et al (2020). Echinacoside protects dopaminergic neurons by inhibiting NLRP3/Caspase-1/IL-1β signaling pathway in MPTP-induced Parkinson's disease model. Brain Res. Bull.164, 55–64. 10.1016/j.brainresbull.2020.08.015
35
Geng F. Zou T. Wang Y. Li J. Zhang N. Ren Y. et al (2013). UPLC‒MS fingerprinting study of XYS. J. Pharm. Analysis33 (07), 1250–1253. 10.16155/j.0254-1793.2013.07.010
36
Giuliani C. (2019). The flavonoid quercetin induces AP-1 activation in FRTL-5 thyroid cells. Antioxidants Basel, Switz.8 (5), 112. 10.3390/antiox8050112
37
Giuliani C. Bucci I. Di Santo S. Rossi C. Grassadonia A. Piantelli M. et al (2014). The flavonoid quercetin inhibits thyroid-restricted genes expression and thyroid function. Food Chem. Toxicol. Int. J. Publ. Br. Industrial Biol. Res. Assoc.66, 23–29. 10.1016/j.fct.2014.01.016
38
Guo L. Zheng X. Liu J. Yin Z. (2016). Geniposide suppresses hepatic glucose production via AMPK in HepG2 cells. Biol. and Pharm. Bull.39 (4), 484–491. 10.1248/bpb.b15-00591
39
He T. Zhao R. Lu Y. Li W. Hou X. Sun Y. et al (2016). Dual-directional immunomodulatory effects of Corbrin capsule on autoimmune thyroid diseases. Evidence-based Complement. Altern. Med.2016, 1360386. 10.1155/2016/1360386
40
Higgins J. P. Altman D. G. Gøtzsche P. C. Jüni P. Moher D. Oxman A. D. et al (2011). The cochrane collaboration’s tool for assessing risk of bias in randomised trials. BMJ343, d5928. 10.1136/bmj.d5928
41
Higgins J. P. Thompson S. G. (2002). Quantifying heterogeneity in a meta-analysis. Stat. Med.21 (11), 1539–1558. 10.1002/sim.1186
42
Ho C. W. Chen H. H. Hsieh M. C. Chen C. C. Hsu S. P. Yip H. T. et al (2020). Hashimoto's thyroiditis might increase polycystic ovary syndrome and associated comorbidities risks in Asia. Ann. Transl. Med.8 (11), 684. 10.21037/atm-19-4763
43
Hu X. Chen Y. Shen Y. Tian R. Sheng Y. Que H. (2022). Global prevalence and epidemiological trends of Hashimoto's thyroiditis in adults: a systematic review and meta-analysis. Front. Public Health10, 1020709. 10.3389/fpubh.2022.1020709
44
Hu X. Wang X. Liang Y. Chen X. Zhou S. Fei W. et al (2020). Cancer risk in hashimoto's thyroiditis: a systematic review and meta-analysis. Front. Endocrinol. (Lausanne)13, 937871. 10.3389/fendo.2022.937871
45
Huang H. Jiang M. Hu W. Chai X. Shao L. Xu H. (2023). Simultaneous determination of six volatile components in HHXY by GC. China Mod. Appl. Pharmacol.40 (23), 3245–3250. 10.13748/j.cnki.issn1007-7693.20230329
46
Huang X. (2021). Clinical observation on the treatment of active moderate and severe thyroid-related ophthalmopathy with the addition and subtraction of DZXY combined with hormone therapy. J. Pract. Chin. Med.37 (10), 1715–1716.
47
Ji H. F. Yang Z. Q. Han J. J. Li H. F. Jin Z. Q. Chen W. Q. et al (2024). Safflower yellow inhibits progression of hepatocellular carcinoma by modulating immunological tolerance via FAK pathway. Chin. J. Integr. Med.30 (4), 339–347. 10.1007/s11655-023-3705-1
48
Jia X. Zhai T. Zhang J. A. (2020). Metformin reduces autoimmune antibody levels in patients with Hashimoto's thyroiditis: a systematic review and meta-analysis. Autoimmunity53 (6), 353–361. 10.1080/08916934.2020.1789969
49
Jung M. A. Song H. K. Jo K. Lee A. Hwang Y. H. Ji K. Y. et al (2023). Gleditsia sinensis Lam. aqueous extract attenuates nasal inflammation in allergic rhinitis by inhibiting MUC5AC production through suppression of the STAT3/STAT6 pathway. Biomed. and Pharmacother. = Biomedecine and Pharmacother.161, 114482. 10.1016/j.biopha.2023.114482
50
Kaçaroğlu D. Kalaycıoğlu G. D. Özden A. K. (2023). Carthamus Tınctorius L. (Safflower) extracts inhibit expression of metastatic genes of MDA-MB-231 breast cancer cells. Cell. Mol. Biol. (Noisy-le-Grand, France)69 (12), 19–25. 10.14715/cmb/2023.69.12.4
51
Kemp E. H. Metcalfe R. A. Smith K. A. Woodroofe M. N. Watson P. F. Weetman A. P. (2003). Detection and localization of chemokine gene expression in autoimmune thyroid disease. Clin. Endocrinol. (Oxf)59 (2), 207–213. 10.1046/j.1365-2265.2003.01824.x
52
Khan F. A. Al-Jameil N. Khan M. F. Al-Rashid M. Tabassum H. (2015). Thyroid dysfunction: an autoimmune aspect. Int. J. Clin. Exp. Med.8 (5), 6677–6681.
53
Korevaar T. I. M. Derakhshan A. Taylor P. N. Meima M. Chen L. Bliddal S. et al (2019). Association of thyroid function test abnormalities and thyroid autoimmunity with preterm birth: a systematic review and meta-analysis. JAMA322, 632–641. 10.1001/jama.2019.10931
54
Lankhaar J. A. C. Kemler E. Hofstetter H. Collard D. C. M. Zelissen P. M. J. Stubbe J. H. et al (2021). Physical activity, sports participation and exercise-related constraints in adult women with primary hypothyroidism treated with thyroid hormone replacement therapy. J. Sports Sci.39 (21), 2493–2502. 10.1080/02640414.2021.1940696
55
Lee S. J. Ryu D. H. Jang L. C. Cho S. C. Kim W. J. Moon S. K. (2013). Suppressive effects of an ethanol extract of Gleditsia sinensis thorns on human SNU-5 gastric cancer cells. Oncol. Rep.29 (4), 1609–1616. 10.3892/or.2013.2271
56
Li K. K. Zhou X. Wong H. L. Ng C. F. Fu W. M. Leung P. C. et al (2016). In vivo and in vitro anti-inflammatory effects of Zao-Jiao-Ci (the spine of Gleditsia sinensis Lam.) aqueous extract and its mechanisms of action. J. Ethnopharmacol.192, 192–200. 10.1016/j.jep.2016.07.020
57
Li M. Liu Z. Li Y. Quan J. Nie Y. Zhang H. et al (2023b). Study on the blood components of Danzhi Xiaoyao Formula and its mechanism of action in treating perimenopausal depression using UPLC-Q-TOF-MSE integrated with network pharmacology. China J. Chin. Materia Medica48 (24), 6765–6777. 10.19540/j.cnki.cjcmm.20230810.201
58
Li P. Zhu C. (2000). Three case reports of adverse reactions to Xiaoyao Pill. Shizhen Med. Materia Medica Res.11 (3), 247.
59
Li Q. Hu Z. Han S. (2020). Clinical observation on the treatment of H-type hypertension with yin deficiency and yang hyperactivity evidence by adding and subtracting Liuwei DiHuang Wan combined with DZXY. Chin. J. Exp. Formulas.26 (03), 90–95. 10.13422/j.cnki.syfjx.20192334
60
Li Q. M. Teng H. Zha X. Q. Pan L. H. Luo J. P. (2018a). Sulfated Laminaria japonica polysaccharides inhibit macrophage foam cell formation. Int. J. Biol. Macromol.111, 857–861. 10.1016/j.ijbiomac.2018.01.103
61
Li X. Li X. Huang N. Liu R. Sun R. (2018b). A comprehensive review and perspectives on pharmacology and toxicology of saikosaponins. Phytomedicine50, 73–87. 10.1016/j.phymed.2018.09.174
62
Li Y. (2021). Exploring the clinical efficacy and mechanism of XYSJW in the treatment of Hashimoto's disease based on the “unification of spirit and form” perspective. Doctoral thesis, Shenyang, China: Liaoning University of Traditional Chinese Medicine. 10.27213/d.cnki.glnzc.2021.000018
63
Li Y. Li L. Guo R. Yu H. Wang X. Wang B. et al (2022). Clinical efficacy of Shugan granule in the treatment of mixed anxiety-depressive disorder: a multicenter, randomised, double-blind, placebo-controlled trial. J. Ethnopharmacol.290, 115032. 10.1016/j.jep.2023.117370
64
Li Y. N. Shen J. X. Shi Z. H. Xu H. P. Feng Y. L. Ma Y. et al (2023a). The study on the anti-inflammatory mechanism of Xiaoyao Powder with added ingredients in treating autoimmune thyroiditis with liver qi stagnation and spleen deficiency in rats through the targeted regulation of ADAM17 by miRNA326. Sichuan Tradit. Chin. Med.11, 67–74.
65
Lim D. W. Choi M. S. Kim S. M. (2023). Bioinformatics and connectivity map analysis suggest viral infection as a critical causative factor of hashimoto's thyroiditis. Int. J. Mol. Sci.24 (2), 1157. 10.3390/ijms24021157
66
Lin H. C. Chang H. M. Hung Y. M. Chang R. Chen H. H. Wei J. C. (2023). Hashimoto's thyroiditis increases the risk of new-onset systemic lupus erythematosus: a nationwide population-based cohort study. Arthritis Res. Ther.25 (1), 20. 10.1186/s13075-023-02999-8
67
Lin M. (2021). Simultaneous determination of six components in DZXY by HPLC‒MS/MS. Straits Pharmacol.33 (12), 74–78.
68
Lin X. Xue L. Zhang H. Zhu C. (2005). Determination of saikosaponins a, c, and d in Bupleurum Chinese DC from different areas by capillary zone electrophoresis. Anal. Bioanal. Chem.382 (7), 1610–1615. 10.1007/s00216-005-3371-5
69
Liu J. Yu J. Peng X. (2020). Poria cocos polysaccharides alleviates chronic nonbacterial prostatitis by preventing oxidative stress, regulating hormone production, modifying gut microbiota, and remodeling the DNA methylome. J. Agric. food Chem.68 (45), 12661–12670. 10.1021/acs.jafc.0c05943
70
Liu X. Zhou L. Yang Z. Jia J. (2022). Effects of total glycosides from Cistanche deserticola on learning and memory ability and synaptic plasticity in SAMP8 mice. Chin. Archives Traditional Chin. Med.40 (01), 110-115+276–277. 10.13193/j.issn.1673-7717.2022.01.027
71
Liu Y. Sun M. Wang T. Qu S. Wang Q. Luo F. (2017). Clinical observation of HHXY in treating chloasma of liver depression and qi stagnation type. China Mod. Drug Appl.11 (15), 13–15. 10.14164/j.cnki.cn11-5581/r.2017.15.006
72
Lu F. Cai H. Li S. Xie W. Sun R. (2022). The chemical signatures of water extract of zingiber officinale Rosc. Molecules27 (22), 7818. 10.3390/molecules27227818
73
Lu J. Shi K. K. Chen S. Wang J. Hassouna A. White L. N. et al (2018). Fucoidan extracted from the New Zealand Undaria pinnatifida - physicochemical comparison against five other fucoidans: unique low molecular weight fraction bioactivity in breast cancer cell lines. Mar. Drugs16 (12), 461. 10.3390/md16120461
74
Lv Y. Yang Y. Chen Y. Wang D. Lei Y. Pan M. et al (2024). Structural characterization and immunomodulatory activity of a water-soluble polysaccharide from Poria cocos. Int. J. Biol. Macromol.261 (Pt 2), 129878. 10.1016/j.ijbiomac.2024.129878
75
Ma W. Zhang X. Zhao R. Tang Y. Zhu X. Liu L. et al (2023). Effectiveness and potential mechanism of Jiawei-Xiaoyao-San for hyperthyroidism: a systematic review. Front. Endocrinol.14, 1241962. 10.3389/fendo.2023.1241962
76
Meng Q. Liu S. Wu X. (2014). Clinical observation on 215 cases of breast hyperplasia treated with HHXY. Hebei Tradit. Chin. Med.36 (10), 1536–1537.
77
Mohammadi B. Dua K. Saghafi M. Singh S. K. Heydarifard Z. Zandi M. (2023). COVID-19-induced autoimmune thyroiditis: exploring molecular mechanisms. J. Med. Virol.95 (8), e29001. 10.1002/jmv.29001
78
Moher D. Liberati A. Tetzlaff J. Altman D. G. PRISMA Group (2009). Preferred reporting items for systematic reviews and meta-analyses: the PRISMA statement. PLoS Med.6, e1000097. 10.1371/journal.pmed.1000097
79
Mu Y. F. (2018). Study on the immunomodulatory mechanism of total glycosides of paeony in rats with autoimmune thyroiditis master's thesis. Wuhan, China: Hubei University of Chinese Medicine.
80
Mu Y. F. Xiang N. Zuo X. H. Yu X. R. Zhao Y. Chen J. D. (2021). The effect of total paeony glycosides on the intestinal mucosal barrier and gut microbiota in rats with autoimmune thyroiditis. Chin. Herb. Med. (11), 3269–3277. 10.7501/j.issn.0253-2670.2021.11.014
81
Niyonizigiye I. Ngabire D. Patil M. P. Singh A. A. Kim G. D. (2019). In vitro induction of endoplasmic reticulum stress in human cervical adenocarcinoma HeLa cells by fucoidan. Int. J. Biol. Macromol.137, 844–852. 10.1016/j.ijbiomac.2019.07.043
82
Pan A. Chen J. Lai S. (2022). Saikosaponin A reduces autoimmune thyroiditis in rats by inhibiting the activation of the NLRP3 inflammasome. Chin. J. Histochem. Cytochem.31 (03), 267–272. 10.16705/j.cnki.1004-1850.2022.03.007
83
Pei S. Zhang Q. Yang J. (2016). Clinical observation of HHXY in the treatment of liver depression, Qi stagnation and blood stasis type of late menstruation. China Pharm.27 (02), 245–247.
84
Peng X. Wang Y. Chen Z. Zhang J. Li H. Zhang J. et al (2024). Protective effect of hydroxyl safflor yellow A on experimental autoimmune hepatitis in mice. Med. Res. Educ.41 (03), 1–7.
85
Peng Z. Liu M. Fang Z. Chen L. Wu J. Zhang Q. (2013). In vitro antiproliferative effect of a water-soluble Laminaria japonica polysaccharide on human melanoma cell line A375. Food Chem. Toxicol.58, 56–60. 10.1016/j.fct.2013.04.026
86
Qiu H. Liu X. (2022). Echinacoside improves cognitive impairment by inhibiting Aβ deposition through the PI3K/AKT/Nrf2/PPARγ signaling pathways in APP/PS1 mice. Mol. Neurobiol.59 (8), 4987–4999. 10.1007/s12035-022-02885-5
87
Qiu Z. Wen Y. Gao T. (2024). Effects of Astragalus polysaccharides on serum inflammatory cytokines and thyroid tissue in NOD.2h4 mice with autoimmune thyroiditis. Shizhen Med. Materia Medica Res.35 (10), 2362–2368.
88
Rebuffat S. A. Kammoun-Krichen M. Charfeddine I. Ayadi H. Bougacha-Elleuch N. Peraldi-Roux S. (2013). IL-1β and TSH disturb thyroid epithelium integrity in autoimmune thyroid diseases. Immunobiology218 (3), 285–291. 10.1016/j.imbio.2012.05.016
89
Rodondi N. den Elzen W. P. Bauer D. C. Cappola A. R. Razvi S. Walsh J. P. et al (2010). Subclinical hypothyroidism and the risk of coronary heart disease and mortality. JAMA304 (12), 1365–1374. 10.1001/jama.2010.1361
90
Rong L. Li G. Zhang Y. Xiao Y. Qiao Y. Yang M. et al (2021). Structure and immunomodulatory activity of a water-soluble α-glucan from Hirsutella sinensis mycelia. Int. J. Biol. Macromol.189, 857–868. 10.1016/j.ijbiomac.2021.08.185
91
Rongala S. Kolusu A. S. Jakkamsetti M. S. Mohanty S. K. Samudrala P. K. Arakareddy B. P. (2024). Ameliorative effect of ferulic acid on thyroid dysfunction against propyl-thiouracil induced hypothyroid rats. Endocrine86 (1), 215–232. 10.1007/s12020-024-03818-z
92
Ryu S. Park K. M. Lee S. H. (2016). Gleditsia sinensis thorn attenuates the collagen-based migration of PC3 prostate cancer cells through the suppression of α2β1 integrin expression. Int. J. Mol. Sci.17 (3), 328. 10.3390/ijms17030328
93
Salzano M. Russo E. Postiglione L. Guerra A. Marotta V. Esposito S. et al (2012). Interferon-γ inhibits integrin-mediated adhesion to fibronectin and survival signaling in thyroid cells. J. Endocrinol.215 (3), 439–444. 10.1530/JOE-12-0335
94
Schulz K. F. Altman D. G. Moher D. (2010). Consort 2010 statement: updated guidelines for reporting parallel group randomised trials. BMJ340, 100–107. 10.4103/0976-500X.72352
95
Shao X. (2024). Study on the chemical constituents and anti-inflammatory activity of kombu Master's thesis. Changchun, China: Changchun University of Chinese Medicine. Available online at: https://link.cnki.net/doi/10.26980/d.cnki.gcczc.2024.000766.
96
Shi B. Luo J. Fang Y. Liu X. Rao Z. Liu R. et al (2019). Xiaoyao pills prevent lipopolysaccharide-induced depression by inhibiting inflammation and protecting nerves. Front. Pharmacol.10, 1324. 10.3389/fphar.2019.01324
97
Shi L. Liu J. Zhang X. Ren X. Zhao L. Li Q. (2020). Clinical study on the treatment of hyperthyroidism with DZXY combined with methimazole. Shaanxi Tradit. Chin. Med.41 (09), 1276–1278+1300.
98
Somwaru L. L. Arnold A. M. Joshi N. Fried L. P. Cappola A. R. (2009). High frequency of and factors associated with thyroid hormone overreplacement and underreplacement in men and women aged 65 and over. J. Clin. Endocrinol. Metab.94 (4), 1342–1345. 10.1210/jc.2008-1696
99
Standardization Project Team of Clinical Application Guidelines for Chinese Patent Medicines in the Treatment of Dominant Diseases (2022). Clinical application guidelines for Chinese patent medicines in the treatment of hyperplasia of mammary glands (2021). Chin. J. Integr. Traditional West. Med.42 (05), 517–524.
100
Standardization Project Team of Clinical Application Guidelines for Chinese Patent Medicines in the Treatment of Dominant Diseases (2023). Clinical application guidelines for Chinese patent medicines in the treatment of depressive disorders (2022). Chin. J. Integr. Traditional West. Med.43 (05), 527–541.
101
Sun Y. Guiqin Li Sun L. Wang Y. Guan L. Zhu M. et al (2019). Study on the mechanism of geniposide in resisting renal interstitial fibrosis. China J. Mod. Med.29 (11), 8–13.
102
Tan Z. H. Shen S. X. Jin L. L. Diao J. X. Sun X. G. Zhu X. X. et al (2015). Mechanism study of Xiaoyaosan in improving depression-like behavior of rats by regulation of hepatic sinusoidal endothelial function. J. Guangzhou Univ. Tradit. Chin. Med., 705–710. 10.13359/j.cnki.gzxbtcm.2015.04.028
103
Tang J. Shen Y. (2019). Inhibitory effect of geniposide on airway inflammatory response in juvenile mice with bronchial asthma. Chin. J. Clin. Pharmacol.35 (20), 2581–2583+2588. 10.13699/j.cnki.1001-6821.2019.20.014
104
Taylor P. N. Iqbal A. Minassian C. Sayers A. Draman M. S. Greenwood R. et al (2014). Falling threshold for treatment of borderline elevated thyrotropin levels-balancing benefits and risks: evidence from a large community-based study. JAMA Intern Med.174 (1), 32–39. 10.1001/jamainternmed.2013.11312
105
Teruya K. Kusumoto Y. Eto H. Nakamichi N. Shirahata S. (2019). Selective suppression of cell growth and programmed cell death-ligand 1 expression in HT1080 fibrosarcoma cells by low molecular weight fucoidan extract. Mar. Drugs17 (7), 421. 10.3390/md17070421
106
Thompson W. Russell G. Baragwanath G. Matthews J. Vaidya B. Thompson-Coon J. (2018). Maternal thyroid hormone insufficiency during pregnancy and risk of neurodevelopmental disorders in offspring: a systematic review and meta-analysis. Clin. Endocrinol.88, 575–584. 10.1111/cen.13550
107
Tong F. (2018). The effect of total glycosides of peony on the Treg/Th17 immune balance in EAT mice (Master's thesis, Wuhan, China: Wannan Medical College). Master's
108
Tong F. Liu H. Dong Q. Wang P. (2019). The effect of total glycosides of Paeonia lactiflora on the Treg/Th17 immune balance in EAT mice. Basic and Clin. Med. (08), 1157–1162. 10.16352/j.issn.1001-6325.2019.08.023
109
Wan X. M. Zhou R. Huang X. T. Kou M. J. Zou X. J. (2020). Effect of Xiaoyao powder on IL-6 and TNF-α in hippocampus of depression rats with chronic unpredictable mild stress. J. Liaoning Univ. Tradit. Chin. Med.22, 47–51. 10.13194/j.issn.1673-842x.2020.02.014
110
Wang C. Chen L. Xu C. Shi J. Chen S. Tan M. et al (2020). A comprehensive review for phytochemical, pharmacological, and biosynthesis studies on Glycyrrhiza spp. Am. J. Chin. Med.48 (1), 17–45. 10.1142/S0192415X20500020
111
Wang D. Wang S. Liu W. Li M. Zheng Q. Li D. (2022). Hydroxysafflor yellow B induces apoptosis via mitochondrial pathway in human gastric cancer cells. J. Pharm. Pharmacol.rgac044, 1320–1329. 10.1093/jpp/rgac044
112
Wang W. Chen Y. Qin W. Liu C. Wang X. Zhai N. et al (2014). Clinical study on 40 cases of active thyroid-related ophthalmopathy treated with glucocorticoid combined with danjia yuanshan plus flavour. Sichuan Tradit. Chin. Med.32 (08), 92–93.
113
Wang W. Fu X. Qi M. Fan F. Zhu F. Wang Y. et al (2024). Study on the mechanism of safflower extract in the treatment of alcoholic liver disease by regulating Nrf2/STAT3/NF-κB signaling pathway. Traditional Chin. Drug Res. Clin. Pharmacol.35 (08), 1132–1141. 10.19378/j.issn.1003-9783.2024.08.004
114
Wei M. Ma W. Zhang W. Yin D. Tang Y. Jia W. et al (2023). Efficacy and safety of Ophiocordyceps sinensis in the treatment of Hashimoto's thyroiditis: a systematic review and meta-analysis. Front. Pharmacol.14, 1272124. 10.3389/fphar.2023.1272124
115
Wei W. L. Zeng R. Gu C. M. Qu Y. Huang L. F. (2016). Angelica sinensis in China-A review of botanical profile, ethnopharmacology, phytochemistry and chemical analysis. J. Ethnopharmacol.190, 116–141. 10.1016/j.jep.2016.05.023
116
Wichman J. Winther K. H. Bonnema S. J. Hegedüs L. (2016). Selenium supplementation significantly reduces thyroid autoantibody levels in patients with chronic autoimmune thyroiditis: a systematic review and meta-analysis. Thyroid26 (12), 1681–1692. 10.1089/thy.2016.0256
117
Wu D. (2023). Observation on the therapeutic effect of JWXY in treating Hashimoto's thyroiditis with liver depression and spleen deficiency and its effect on IFN-γ, IL-2. Master's thesis. Shenyang, China: Liaoning University of Traditional Chinese Medicine, 6–10.
118
Xiao C. Xiao P. Li X. Li X. Li H. Chen Y. et al (2018). Cordyceps sinensis may inhibit Th22 cell chemotaxis to improve kidney function in lgA nephropathy. Am. J. Transl. Res.10 (3), 857–865.
119
Xing H. Lulu Z. Shengnan W. Gang Li (2019). Effects of Cistanche deserticola polysaccharide on learning and memory during aging in vitro and in vivo. Chin. J. Pharmacol. Toxicol.33 (06), 453.
120
Xue M. Ji X. Liang H. Liu Y. Wang B. Sun L. et al (2018). The effect of fucoidan on intestinal flora and intestinal barrier function in rats with breast cancer. Food and Funct.9 (2), 1214–1223. 10.1039/c7fo01677h
121
Yang C. Lian F. Yang G. Huang Y. Zhang S. Wang J. et al (2023). Effectiveness of Xiaoyao capsule on sleep disorders and mood disturbance in patients in recovery from coronavirus disease 2019: a randomized controlled trial. J. Tradit. Chin. Med.43 (2), 343–351. 10.19852/j.cnki.jtcm.2023.02.005
122
Yang S. Q. Chen Y. D. Li H. Hui X. Gao W. Y. (2018). Geniposide and gentiopicroside suppress hepatic gluconeogenesis via regulation of AKT-FOXO1 pathway. Archives Med. Res.49 (5), 314–322. 10.1016/j.arcmed.2018.10.005
123
Yang Y. Huang X. L. Jiang Z. M. Li X. F. Qi Y. Yu J. et al (2022). Quantification of chemical groups and quantitative HPLC fingerprint of Poria cocos (schw.) Wolf. Molecules27 (19), 6383. 10.3390/molecules27196383
124
Ye T. Ma G. Wei M. Chen J. (2022). Regulatory mechanism of Astragalus polysaccharides on AMPK-mTOR pathway in diabetic cardiomyopathy rats. World J. Traditional Chin. Med.17 (07), 977–982.
125
Yin R. Gang Li Tengfei Yu Hui Ma Ma T. Guo M. (2014). Protective effect of Cistanche deserticola polysaccharide on synaptic plasticity in a mouse model of learning and memory impairment induced by scopolamine. Chin. Pharmacol. Bull.30 (06), 801–807.
126
Yu J. Li G. Mu Y. Zhou H. Wang X. Yang P. (2019). Anti-breast cancer triterpenoid saponins from the thorns of Gleditsia sinensis. Nat. Prod. Res.33 (16), 2308–2313. 10.1080/14786419.2018.1443092
127
Yu J. Q. Xian Y. X. Geng Y. L. Wang D. J. Zhou H. L. Wang X. (2015). Anti-liver cancer constituents from the thorns of Gleditsia sinensis. Phytochem. Lett.13, 343–347. 10.1016/j.phytol.2015.07.018
128
Yu X. R. Chen Y. Z. Mu Y. F. (2023). The immunomodulatory effect of total paeony glycosides on rats with autoimmune thyroiditis. Tradit. Chin. Med. (05), 1666–1669.
129
Yu X. R. Xiang N. Li J. Y. Li Z. Q. (2017). The effect of Paeoniflorin Capsules on Treg cells in a rat model of autoimmune thyroiditis. J. Yunnan Univ. Traditional Chin. Med. (06), 5–8. 10.19288/j.cnki.issn.1000-2723.2017.06.002
130
Yuan J. Duan L. Zang X. Guo Y. Liu W. Liao L. et al (2022). Study on the expression of NLRP and Caspase-1 in renal interstitial fibrosis of diabetic nephropathy rats treated with Astragaloside IV. Chin. J. Integr. Traditional West. Nephrol.23 (11), 998–1001+1036.
131
Zhang J. Li J. Song H. Xiong Y. Liu D. et al (2019). Hydroxysafflor yellow A suppresses angiogenesis of hepatocellular carcinoma through inhibition of p38 MAPK phosphorylation. Biomed. and Pharmacother. = Biomedecine and Pharmacother.109, 806–814. 10.1016/j.biopha.2018.09.086
132
Zhang L. Jing L. Huang J Sun X. Liu Y. (2013). Proteomic study on the prevention and treatment of polycystic ovary syndrome in rats by DZXY. Pharmacol. Clin. Traditional Chin. Med.29 (01), 1–4. 10.13412/j.cnki.zyyl.2013.01.045
133
Zhang L. Jing M. Liu Q. (2021b). Crocin alleviates the inflammation and oxidative stress responses associated with diabetic nephropathy in rats via NLRP3 inflammasomes. Life Sci.278, 119542. 10.1016/j.lfs.2021.119542
134
Zhang L. Liu J. Li Y. Dong J. Yao Q. Wang J. et al (2022). Clinical study on the treatment of chronic lymphocytic thyroiditis with modified Xiao Yao San. J. Shizhen Traditional Chin. Med. (09), 2182–2185.
135
Zhang L. Wei W. (2020). Anti-inflammatory and immunoregulatory effects of paeoniflorin and total glucosides of paeony. Pharmacol. Ther.207, 107452. 10.1016/j.pharmthera.2019.107452
136
Zhang N. Yang Y. Liu H. Wang Y. Li J. Geng F. (2014). Metabolomics study on the intervention of XYS in liver-injured mice. Propr. Chin. Med.36 (01), 171–175.
137
Zhang N. Yi M. Peng X. (2025). Effects of paeonol on regulating the HMGB1/RAGE signaling axis and the balance of Th17/Treg cells in rats with autoimmune thyroiditis. Chin. J. Immunol.41 (01), 50–56.
138
Zhang X. Zhu Y. (2018). The effect of Xiaoyao Pill on antibodies associated with asymptomatic Hashimoto's thyroiditis in young women. Tianjin Tradit. Chin. Med.35 (02), 105–106.
139
Zhang Y. Xie M. Zuo X. H. Zhao Y. Hua C. H. (2021a). Research progress on the intervention of traditional Chinese medicine in the Th17/treg balance of autoimmune thyroid diseases. Chin. J. Exp. Formulas (10), 231–238.
140
Zhao B. T. Kim T. I. Kim Y. H. Kang J. S. Min B. S. Son J. K. et al (2018). A comparative study of Mentha arvensis L. and Mentha haplocalyx Briq. by HPLC. Nat. Prod. Res.32 (2), 239–242. 10.1080/14786419.2017.1343325
141
Zhao L. Wei J. Wang S. Lang T. Shi X. Shan Z. et al (2020). Beta-elemene inhibits differentiated thyroid carcinoma metastasis by reducing cellular proliferation, metabolism and invasion ability. Ann. Transl. Med.8 (19), 1232. 10.21037/atm-20-4460
142
Zhong M. Chen H. Lan J. Lan C. Liang L. Yu J. et al (2023). Th1 or Th2 cytokines are correlated with Tregs and T-cell subsets and pregnancy outcomes in patients with autoimmune thyroid disease during early, middle, late pregnancy, and postpartum period. Hum. Immunol.84 (10), 525–533. 10.1016/j.humimm.2023.07.002
143
Zhu B. Zhang Q. L. Hua J. W. Cheng W. L. Qin L. P. (2018). The traditional uses, phytochemistry, and pharmacology of Atractylodes macrocephala Koidz.: a review. J. Ethnopharmacol.226, 143–167. 10.1016/j.jep.2018.08.023
144
Zhu X. Jing L. Chen C. Shao M. Fan Q. Diao J. et al (2015). Danzhi Xiaoyao San ameliorates depressive-like behavior by shifting toward serotonin via the downregulation of hippocampal indoleamine 2,3-dioxygenase. J. Ethnopharmacol.160, 86–93. 10.1016/j.jep.2014.11.031
145
Zhu Y. Yang L. Yu Y. Xiong Y. Xiao P. Fu X. et al (2024). Hydroxysafflor yellow A induced ferroptosis of Osteosarcoma cancer cells by HIF-1α/HK2 and SLC7A11 pathway. Oncol. Res.32 (5), 899–910. 10.32604/or.2023.042604
146
Zhu Y. L. Li S. L. Jin J. L. Fang J. A. Wang X. D. Chen L. Y. et al (2020). Simultaneous determination of six components of Danzhi Xiaoyao Pill in beagle plasma by HPLC-MS/MS and a study of pharmacokinetic of paeoniflorin and geniposide after single-dose administration. J. Pharm. Biomed. analysis186, 113269. 10.1016/j.jpba.2020.113269
Summary
Keywords
Hashimoto’s thyroiditis, Xiaoyao-san, randomized controlled trial, systematic review, meta-analysis
Citation
Wang C, Ma W, Qin L, Wu L and Liu T (2025) Efficacy of Xiaoyao-san preparations in treating Hashimoto’s thyroiditis: a meta-analysis and systematic review. Front. Pharmacol. 16:1528506. doi: 10.3389/fphar.2025.1528506
Received
14 November 2024
Accepted
21 May 2025
Published
13 June 2025
Volume
16 - 2025
Edited by
Yuanyuan Wu, Nanjing University of Chinese Medicine, China
Reviewed by
Bangjiang Fang, Shanghai University of Traditional Chinese Medicine, China
Jian Cao, Central South University, China
Updates
Copyright
© 2025 Wang, Ma, Qin, Wu and Liu.
This is an open-access article distributed under the terms of the Creative Commons Attribution License (CC BY). The use, distribution or reproduction in other forums is permitted, provided the original author(s) and the copyright owner(s) are credited and that the original publication in this journal is cited, in accordance with accepted academic practice. No use, distribution or reproduction is permitted which does not comply with these terms.
*Correspondence: Tonghua Liu, thliu@vip.163.com
Disclaimer
All claims expressed in this article are solely those of the authors and do not necessarily represent those of their affiliated organizations, or those of the publisher, the editors and the reviewers. Any product that may be evaluated in this article or claim that may be made by its manufacturer is not guaranteed or endorsed by the publisher.