ORIGINAL RESEARCH article
Front. Pharmacol.
Sec. Pharmacogenetics and Pharmacogenomics
Persistent benefit of pharmacogenomic testing on initial remission and response rates in patients with major depressive disorder
Provisionally accepted- 1Myriad (United States), Salt Lake City, United States
- 2Corporal Michael J Crescenz VA Medical Center, Philadelphia, United States
- 3Department of Psychiatry, University of Pennsylvania, Philadelphia, United States
Select one of your emails
You have multiple emails registered with Frontiers:
Notify me on publication
Please enter your email address:
If you already have an account, please login
You don't have a Frontiers account ? You can register here
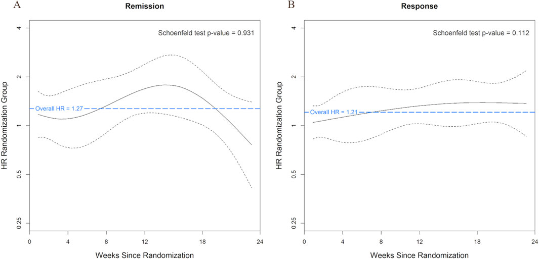
Background: In patients with major depressive disorder (MDD), achieving remission and/or response may take many months because of the lengthy trial-and-error process often needed to identify effective medication. Pharmacogenomic testing is a prescribing tool that has been shown to improve remission and response rates for MDD patients, but data describing its impact over time is limited. The objective of this study was to determine whether pharmacogenomic-guided treatment increases the rate of remission and response over time in patients with MDD, and if so, to assess the persistence of that effect. Methods: This study was a prespecified post hoc analysis of the PRIME Care (Precision Medicine in Mental Health Care) randomized clinical trial, a pragmatic trial that compared pharmacogenomic-guided treatment with usual care among veterans with depression. Participants were recruited at 22 Department of Veterans Affairs medical centers by 676 clinicians and were randomized to the pharmacogenomic-guided arm or the usual care arm. Multivariate Cox proportional hazards models were used to estimate hazard ratios (HR) and 95% confidence intervals (CI) for associations between study arm (pharmacogenomic-guided treatment or usual care) and the first instance of response or remission as assessed by the Patient Health Questionnaire-9 (PHQ-9) scale. Results: 1,764 (90.7%) of the 1,944 veterans who participated in the PRIME Care trial had sufficient visit data to be included in this analysis. Patients who received pharmacogenomic-guided treatment had higher rates of remission (HR [95% CI] = 1.27 [1.05, 1.53]; p = 0.015) and response (HR [95% CI] = 1.21 [1.05, 1.40]; p = 0.010) at any time relative to patients receiving usual care. Schoenfeld residuals tests were not statistically significant for remission (p = 0.931) or response (p = 0.112), providing no evidence that the benefit due to pharmacogenomic-guided treatment changed over the 24-week period. Conclusion: Pharmacogenomic-guided treatment led to faster initial remission and response in patients with MDD, and this benefit persisted over six months with no evidence of changing over time.
Keywords: Pharmacogenetics, drug response, Antidepressive Agents, precision medicine, Depression, pharmacogenomics
Received: 02 Jul 2025; Accepted: 29 Sep 2025.
Copyright: © 2025 Hain, Del Tredici, Griggs, Law, Mabey, Johnson, Johansen Taber, Lynch, Gutin and Oslin. This is an open-access article distributed under the terms of the Creative Commons Attribution License (CC BY). The use, distribution or reproduction in other forums is permitted, provided the original author(s) or licensor are credited and that the original publication in this journal is cited, in accordance with accepted academic practice. No use, distribution or reproduction is permitted which does not comply with these terms.
* Correspondence: Andria L Del Tredici, andria.deltredici@myriad.com
Disclaimer: All claims expressed in this article are solely those of the authors and do not necessarily represent those of their affiliated organizations, or those of the publisher, the editors and the reviewers. Any product that may be evaluated in this article or claim that may be made by its manufacturer is not guaranteed or endorsed by the publisher.
