ORIGINAL RESEARCH article
Front. Pharmacol.
Sec. Respiratory Pharmacology
This article is part of the Research TopicExploring Novel In Vitro Models for Cystic Fibrosis ResearchView all 4 articles
Beyond Trikafta: new models to boost tissue dependent rescue of N1303K-CFTR
Provisionally accepted- 1INSERM, CNRS, Institut Necker Enfants Malades, Paris, France
- 2Universite Paris Cite, Paris, France
- 3UOC Genetica Medica, Giannina Gaslini Institute (IRCCS), Genoa, Italy
- 4Department of Neurosciences, Rehabilitation, Ophthalmology, Genetics, Maternal and Child Health (DINOGMI), University of Genoa, Genoa, Italy
- 5UOSD CRR Fibrosi Cistica, P.O. San Liberatore, Atri, Italy
- 6Department of Pediatric Medicine, Meyer Children's Hospital IRCCS, Cystic Fibrosis Regional Reference Center, Florence, Italy
- 7Centro Hub Fibrosi Cistica, Azienda Ospedaliera Universitaria Policlinico G. Martino, Messina, Italy
- 8University Hospital "G Martino", Department of Pediatrics, Messina, Italy
- 9Department of Pediatrics, Cystic Fibrosis Center, Fondazione IRCCS Ca' Granda, Ospedale Maggiore Policlinico, Milano, Italy
- 10Department of Pediatrics, Cystic Fibrosis Regional Support Center, University of Brescia, ASST Spedali Civili Brescia, Brescia, Italy
- 11IRCCS Materno Infantile Burlo Garofolo, Trieste, Italy
- 12Cystic Fibrosis Regional Centre, Unit of Emerging and Immunosuppressed Infectious Diseases, Department of Gastroenterology and Transplantation, Azienda Ospedaliero-Universitaria ‘Ospedali Riuniti’, Ancona, Italy
- 13Cystic Fibrosis Center of Verona, Azienda Ospedaliera Universitaria Integrata, Verona, Italy
- 14Cystic Fibrosis National Pediatric Reference Center, Pneumo-Allergologie Pédiatrique, Hôpital Necker Enfants Malades, AP-HP, Paris, France
- 15Centre de Ressources et de Compétence de la Mucoviscidose Enfants, Hôpital de Clocheville, Tours, France
- 16Centre de Ressources et de Compétence de la Mucoviscidose, CHU Pellegrin, Bordeaux, France
- 17Centre de Ressources et de Compétence de la Mucoviscidose Adulte, Centre de Perharidy, Roscoff, France
- 18Centre de Ressources et de Compétence de la Mucoviscidose Pédiatrique, CHU, Strasbourg, France
- 19Centre de Ressources et de Compétence de la Mucoviscidose, Hôpital Foch, Suresnes, France
- 20Centre de Ressources et de Compétence de la Mucoviscidose Pédiatrique, Hôpital Robert Debré, Paris, France
- 21Centre de Ressources et de Compétence de la Mucoviscidose Mixte, CHIC, Creteil, France
- 22Centre de Ressources et de Compétence de la Mucoviscidose, American Memoral Hospital, Reims, France
- 23Centre de Ressources et de Competences de la Mucoviscidose Adulte, Lille, France
- 24Centre Hospitalier Regional Universitaire de Nancy Hopitaux de Brabois, Vandœuvre-lès-Nancy, France
- 25Centre de Ressources et de Compétence de la Mucoviscidose Adulte, Centre Hospitalier Jean Minjoz, Besancon, France
- 26Centre de Ressources et de Compétence de la Mucoviscidose Enfants, Hôpital d'Enfants de la Timone, Marseille, France
- 27Centre de Ressources et de Compétence de la Mucoviscidose Enfants, Hôpital Trousseau, Paris, France
- 28Centre de Ressources et de Compétence de la Mucoviscidose, CHU Estaing, Clermont-Ferrand, France
- 29Centre de ressources et de compétences pour la mucoviscidose, Hôpital des enfants, CHU Toulouse, Toulouse, France
- 30Centre de Ressources et de Compétence de la Mucoviscidose Pédiatrique, Hospices Civils de Lyon, Bron, France
- 31Centre de Référence Adulte de la Mucoviscidose, Hospices Civils de Lyon, Université de Lyon, Lyon, France
- 32Centre hospitalier régional universitaire Bretonneau, Tours, France
- 33Université de Bordeaux, CRCM pédiatrique, center de Recherche Cardio-thoracique de Bordeaux, INSERM U1045, Bordeaux Imaging Center, Bordeaux, France
- 34Laboratory of Biochemistry, Hôpital Universitaire Necker Enfants Malades AP-HP Centre, Paris, France
- 35Pharmacie Delpech, Paris, France
- 36Institut Cochin, Inserm U1016, Paris, France
- 37Respiratory Medicine and Cystic Fibrosis National Reference Center, Hôpital Cochin, AP-HP. Centre Université Paris Cité, Paris, France
- 38ERN-Lung CF Network, Frankfurt, Germany
- 39Association Vaincre la Mucoviscidose, Paris, France
- 40UOSD Fibrosi Cistica, Giannina Gaslini Institute (IRCCS), Genoa, Italy
- 41Telethon Institute of Genetics and Medicine, Pozzuoli, Italy
- 42Centre de ressources et de compétences pour la mucoviscidose Adultes, Centre hospitalier régional universitaire de Nancy, Vandœuvre-Lès-Nancy, France
- 43Service de Médecine Génomique des Maladies de Système et d'Organe, Hôpital Cochin, Paris, France
- 44Laboratory of Respiratory Diseases and Thoracic Surgery, KU Leuven, Leuven, Belgium
- 45Department of Physics and Biophysics, Institute of Biology, Warsaw University of Life Sciences, Warsaw, Poland
- 46ERN-Lung CF network, Frankfurt, France
Select one of your emails
You have multiple emails registered with Frontiers:
Notify me on publication
Please enter your email address:
If you already have an account, please login
You don't have a Frontiers account ? You can register here
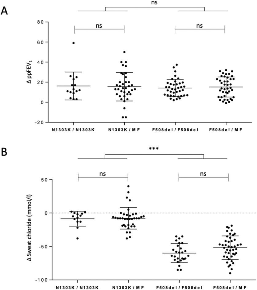
Rationale Respiratory status of people with Cystic Fibrosis (pwCF) carrying N1303K is improved by Elexacaftor/Tezacaftor/Ivacaftor (ETI) but, contrary to other mutations, the impact on sweat test results is limited. Methods To explore this discrepancy, we implemented new sweat gland and respiratory cell lines stably expressing Wild type (WT)-, F508del- and N1303K-CFTR. CFTR dependent chloride (Cl-) and bicarbonate (HCO3-) transport was measured by short circuit current in these new models and in primary Human Nasal Epithelial Cells (HNECs). CFTR expression was evaluated by Western blot. Results In the airway and the sweat gland cells expressing F508del-CFTR, ETI induced maturation of CFTR and increased Cl- transport. In the respiratory cell lines and HNECs, N1303K-CFTR generated both immature and mature forms of CFTR. Correction by ETI increased CFTR amounts without promoting its maturation and improved Cl- secretion. N1303K-CFTR channel activity was markedly increased by co-potentiation of IVA with Apigenin. In the sweat gland, N1303K-CFTR was expressed as a globally misfolded protein, non-rescuable by ETI. API treatment to 2 patients improved FEV1 without lowering sweat Cl- content. Conclusion N1303K-CFTR shows tissue specific correction and suboptimal response to ETI which can be improved by API.
Keywords: cystic fibrosis - CF, CFTR (cystic fibrosis transmembrane conductance regulator), N1303K-CFTR, Sweat gland, CFTR modulator, elexacaftor/tezacaftor/ivacaftor (ETI), Airway epithelium
Received: 07 Jul 2025; Accepted: 29 Sep 2025.
Copyright: © 2025 Pranke, Capurro, Chevalier, Pesce, Tomati, Pastorino, Aubert, Hatton, Dreano, Lena, Bocciardi, Zara, Pantano, Terlizzi, Lucanto, Costa, Claut, Daccò, Poli, Maschio, Fabrizzi, Caporelli, Cipolli, Volpi, Chedevergne, Cosson, Macey, Ramel, Weiss, Grenet, LE CLAINCHE, Douvry, Ravoninjatovo, Audousset, Tatopoulos, Richaud-Thiriez, Baravalle, Thouvenin, Labbé, Mittaine, Reix, Durieu, Mankikian, Bui, Nguyen-Khoa, Khoukh, Martin, Da Silva, De Carli, Castellani, Cresta, Galietta, Guillemaut, Girodon, Remus, Bulcaen, Ensinck, Zajac, Carlon, Lebihan, Régis Burgel, Sermet-Gaudelus, Hinzpeter and Pedemonte. This is an open-access article distributed under the terms of the Creative Commons Attribution License (CC BY). The use, distribution or reproduction in other forums is permitted, provided the original author(s) or licensor are credited and that the original publication in this journal is cited, in accordance with accepted academic practice. No use, distribution or reproduction is permitted which does not comply with these terms.
* Correspondence:
Isabelle Sermet-Gaudelus, isabelle.sermet@aphp.fr
Nicoletta Pedemonte, nicolettapedemonte@gaslini.org
Disclaimer: All claims expressed in this article are solely those of the authors and do not necessarily represent those of their affiliated organizations, or those of the publisher, the editors and the reviewers. Any product that may be evaluated in this article or claim that may be made by its manufacturer is not guaranteed or endorsed by the publisher.
