ORIGINAL RESEARCH article
Front. Pharmacol.
Sec. Predictive Toxicology
Development and Validation of a Predictive Nomogram for Severe Adverse Drug Reactions: A dual-center Pharmacovigilance Study
Provisionally accepted- 1Affiliated Hospital of Zunyi Medical University, Zunyi, China
- 2Yuncheng Central Hospital affiliated to Shanxi medical university, Yuncheng, China
- 3Second Affiliated Hospital of Xi'an Jiaotong University, Xi'an, China
Select one of your emails
You have multiple emails registered with Frontiers:
Notify me on publication
Please enter your email address:
If you already have an account, please login
You don't have a Frontiers account ? You can register here
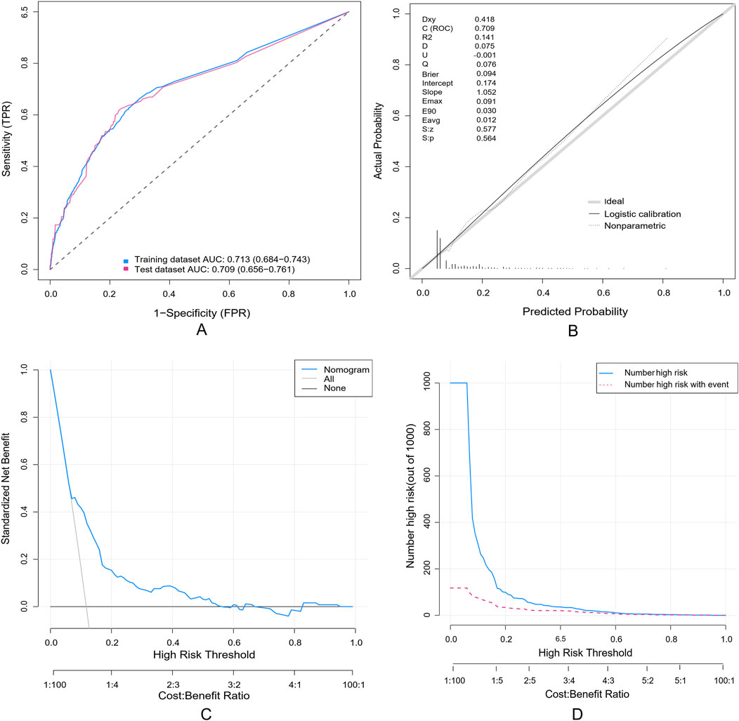
Background: Severe adverse drug reactions (SADRs) pose significant challenges to pharmacotherapy. Machine learning (ML) models hold promise in providing reliable solutions for predicting SADRs. This study is designed to pinpoint the independent risk factors contributing to SADRs through the application of ML techniques, thus constructing a predictive model for SADRs applicable in real-world clinical settings. Methods: This retrospective dual-center cohort study analyzed adverse drug reaction (ADR) cases reported in two Chinese tertiary medical centers from 2014 to 2022. Per the World Health Organization - Uppsala Monitoring Centre severity criteria, cases were classified as SADRs or common ADRs. Independent predictors were identified via univariate and multivariate logistic regression (LR). A random partitioning of the data set resulted in a 75% training set and a 25% test set. The performance of three ML algorithms, including LR, Random Forest and Gradient Boosting Machine, was compared. A nomogram was constructed, model performance was measured by the area under the receiver operating characteristic curve (AUC), concordance index (C index), Hosmer-Lemeshow test (H-L test), Decision Curve Analysis (DCA), and Clinical Impact Curve (CIC). Results: A total of 508 SADRs were identified. The AUC values of LR model demonstrates the highest predictability among the three ML models. The AUC was 0.707 in the test set and the AUC in the training set was 0.689. A nomogram was established based on the LR model and evaluated. The C-index was 0.714 in the test set and the AUC in the training set was 0.713; The H-L test produced a chi-square value of 9.769(p = 0.369), indicating good calibration.The DCA and CIC verify that the LR model possesses significant predictive value. According to the LR model, there were 20 predictors, including age ≥54 years, concurrent diseases ≥3, cardiac insufficiency, hemorrhagic disorders, active malignancies, cerebral infarction, bone fractures, anti-infectives, cytotoxic antineoplastics, proton pump inhibitors, antiepileptics, anticoagulants, diagnostic agents, arterial administration. Conclusion: This study established a predictive nomogram for SADRs based on LR through comparative analysis of three ML approaches. The developed nomogram enables clinically meaningful risk stratification for SADRs, facilitating prophylactic surveillance of high-risk populations.
Keywords: Severe adverse drug reactions, adverse drug reactions, machine learning, nomogram, predictive model
Received: 21 Jul 2025; Accepted: 03 Oct 2025.
Copyright: © 2025 Bu, Wu and Cai. This is an open-access article distributed under the terms of the Creative Commons Attribution License (CC BY). The use, distribution or reproduction in other forums is permitted, provided the original author(s) or licensor are credited and that the original publication in this journal is cited, in accordance with accepted academic practice. No use, distribution or reproduction is permitted which does not comply with these terms.
* Correspondence: Yan Cai, caiyan029@163.com
Disclaimer: All claims expressed in this article are solely those of the authors and do not necessarily represent those of their affiliated organizations, or those of the publisher, the editors and the reviewers. Any product that may be evaluated in this article or claim that may be made by its manufacturer is not guaranteed or endorsed by the publisher.
