ORIGINAL RESEARCH article
Front. Pharmacol.
Sec. Experimental Pharmacology and Drug Discovery
A Single-Center, Randomized, Open-Label, Two-Period, Crossover, Fasted Bioequivalence Study: Comparing Recombinant Human Follicle-Stimulating Hormone for Injection (JZB30) with Gonal-f® in Healthy Chinese Female Participants
Provisionally accepted- 1West China Second University Hospital, Sichuan University, Chengdu, China
- 2Jingze Pharmaceutical Co Ltd, Chengdu, China
Select one of your emails
You have multiple emails registered with Frontiers:
Notify me on publication
Please enter your email address:
If you already have an account, please login
You don't have a Frontiers account ? You can register here
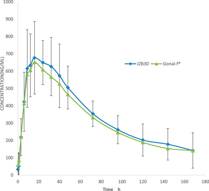
Objective: This study aimed to evaluate the pharmacokinetic (PK) bioequivalence, safety, and immunogenicity of recombinant human follicle-stimulating hormone (rhFSH) for injection (code name: JZB30), developed by Chengdu Jingze Biopharmaceutical Co., Ltd., in comparison with Gonal-f® developed by Merck Serono in healthy adult Chinese female participants. Methods: This single-center, randomized, open-label, two-period crossover study for bioequivalence assessment enrolled 48 healthy adult female participants, who were equally and randomly assigned to two treatment sequences. Each participant received a single subcutaneous injection of either JZB30 or Gonal-f® at a dose of 225 IU on Day 1 and again on Day 11 as part of the crossover design. Blood concentrations of FSH were measured using a validated electrochemiluminescence immunoassay, followed by non-compartmental PK analysis. Safety and immunogenicity were systematically monitored throughout the study period, including adverse events and anti-FSH antibody testing. Results: The geometric mean ratios (GMRs) of the primary PK parameters—Cmax, AUC0-t, and AUC0-∞–after baseline correction were 106.12%, 108.04%, and 115.32%, respectively. The 90% confidence intervals for these parameters (Cmax:101.92–110.49%; AUC0-t:104.13–112.09%; AUC0-∞,: 106.47–124.90%) all fell within the predefined bioequivalence range of 80%–125%. All adverse events (AEs) were mild (Grade 1) and resolved spontaneously without requiring medical intervention. One participant tested positive for anti-FSH antibodies following administration of the reference formulation; however, the antibody response reverted to negative without any intervention, indicating a low risk of immunogenicity. Conclusion: JZB30 was demonstrated to be pharmacokinetically bioequivalent to Gonal-f® in healthy adult Chinese female participants, with comparable safety profiles and a low risk of immunogenicity. These findings provide evidence to support the clinical application of JZB30 as a biosimilar to Gonal-f® . The trial was registered on ClinicalTrials.gov under identifier NCT06778304.
Keywords: Recombinant human follicle-stimulating hormone, pharmacokinetics, Bioequivalence, Safety, biosimilar
Received: 03 Aug 2025; Accepted: 27 Oct 2025.
Copyright: © 2025 Chen, Yu, Feng, Mo, Cai, Du, Du and Zou. This is an open-access article distributed under the terms of the Creative Commons Attribution License (CC BY). The use, distribution or reproduction in other forums is permitted, provided the original author(s) or licensor are credited and that the original publication in this journal is cited, in accordance with accepted academic practice. No use, distribution or reproduction is permitted which does not comply with these terms.
* Correspondence:
Qin Yu, yuqin@scu.edu.cn
Shiyin Feng, fengshiyin@163.com
Disclaimer: All claims expressed in this article are solely those of the authors and do not necessarily represent those of their affiliated organizations, or those of the publisher, the editors and the reviewers. Any product that may be evaluated in this article or claim that may be made by its manufacturer is not guaranteed or endorsed by the publisher.
