CLINICAL TRIAL article
Front. Pharmacol.
Sec. Neuropharmacology
Remimazolam Combined with Propofol for Intraoperative Wake-up Testing in Scoliosis Correction Surgery: A Prospective, Blind, Randomized Controlled Trial
Provisionally accepted- 1The First People’s Hospital of Yunnan Province, Kunming, China
- 2Kunming University of Science and Technology School of Life Science and Technology, Kunming, China
- 3Simao District People's Hospital of Pu'er City, Pu'er, China
Select one of your emails
You have multiple emails registered with Frontiers:
Notify me on publication
Please enter your email address:
If you already have an account, please login
You don't have a Frontiers account ? You can register here
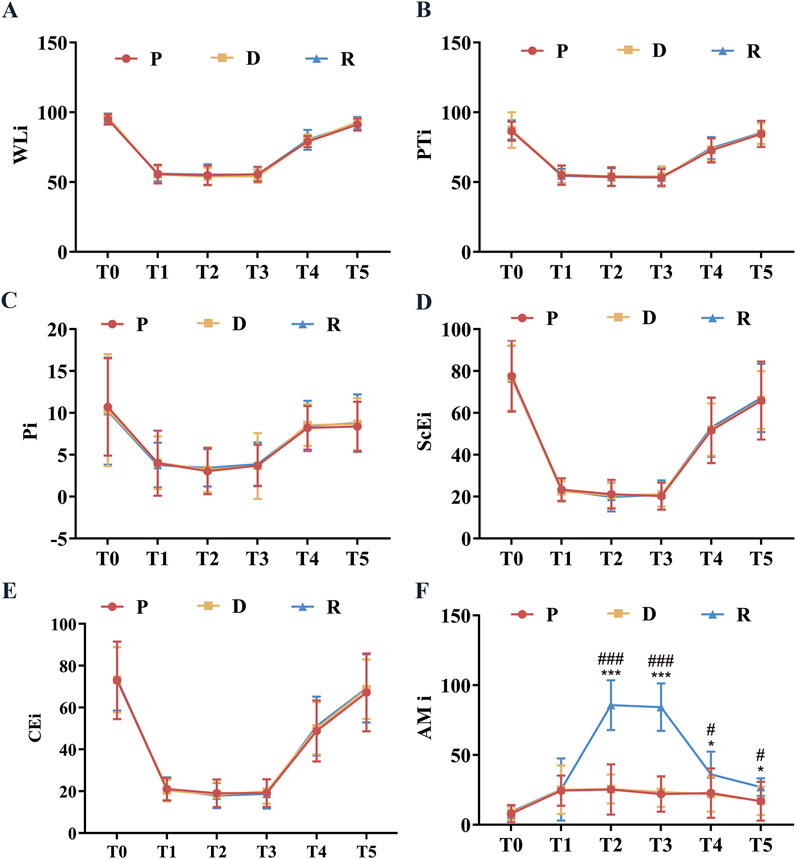
Purpose: Remimazolam is a fast-acting benzodiazepine used for anesthesia and sedation, notable for its quick onset and reversible effects. Its role in wake-up testing during spinal deformity surgery is uncertain. This study assessed the effectiveness and safety of combining remimazolam with propofol during wake-up tests in scoliosis correction surgery. Methods: In this randomized trial, 54 scoliosis surgery patients were assigned to receive either propofol alone (Group P), propofol with dexmedetomidine (Group D), or propofol with remimazolam (Group R). Primary outcomes were wake-up time and quality; secondary outcomes included spinal monitoring, cerebral indices, hemodynamic stability, surgery duration, VAS and BCS scores, satisfaction, and postoperative adverse events. Results: Mean wake-up times varied significantly across groups: 10.58±1.60 minutes (Group P), 16.14±2.64 minutes (Group D), and 6.69±3.85 minutes (Group R) (p=0.001). Post-hoc analysis revealed Group R had significantly shorter wake-up times than Group P (mean difference, 3.9 min; p=0.0005) and Group D (mean difference, 9.4 min; p=0.0001). Excellent wake-up quality was reported in 50% of Group P, 100% of Group D, and 94.4% of Group R (p=0.0002). Group R also had a shorter mean operative duration (256.3±74.4 minutes) compared to Group P (264.4±60.4 minutes) and Group D (310.9±57.9 minutes) (p=0.03). Additionally, Group R showed significantly higher amnesia indices at multiple time points compared to Groups P and D (p<0.05).Hemodynamic assessments revealed that Group D had significantly lower heart rates at T2, T3, and T4 than Groups P and R (p<0.05). Group R also had a higher mean arterial pressure than Group P at T2 (p<0.05). Surgeon satisfaction scores were significantly higher in Group R than in Groups P and D (p=0.0001), and patient satisfaction scores in Group R were higher than in Group P (p=0.0001). No significant differences were observed in other secondary outcomes (p>0.05). Conclusion: The remimazolam-propofol combo for intraoperative wake-up testing in SOSCS shows superior efficacy with quicker wake-up times, better wakefulness quality, and higher satisfaction, without affecting spinal neurophysiological monitoring. This suggests it as a promising sedative option for spinal deformity surgeries. Clinical trial registration: https://www.chictr.org.cn/index.html, ChiCTR2300076802
Keywords: Scoliosis surgery, Wake-up test, Remimazolam, Propofol, Dexmedetomidine, Neurophysiological monitoring
Received: 14 Aug 2025; Accepted: 10 Nov 2025.
Copyright: © 2025 Luo, Chen, Lv, Zhong, Zhao, Li, Li, Chen, Shi, Bo, Lin, Yang, Lu, Li and Jin. This is an open-access article distributed under the terms of the Creative Commons Attribution License (CC BY). The use, distribution or reproduction in other forums is permitted, provided the original author(s) or licensor are credited and that the original publication in this journal is cited, in accordance with accepted academic practice. No use, distribution or reproduction is permitted which does not comply with these terms.
* Correspondence:
Sheng Lu, drlusheng@163.com
Wen-sen Li, puer.lws@163.com
Hua Jin, jinhuakm@163.com
Disclaimer: All claims expressed in this article are solely those of the authors and do not necessarily represent those of their affiliated organizations, or those of the publisher, the editors and the reviewers. Any product that may be evaluated in this article or claim that may be made by its manufacturer is not guaranteed or endorsed by the publisher.
